搜索
      上传资料 赚现金
      独家版权

      [精] 2025湘教版版教材初中数学八年级上册 2.1分式的概念及基本性质第4课时课件+教案

      • 17.73 MB
      • 2025-07-10 12:21:23
      • 61
      • 4
      • 拥慌.
      加入资料篮
      立即下载
      查看完整配套(共2份)
      包含资料(2份) 收起列表
      课件
      2025湘教版版教材初中数学八年级上册 2.1分式的概念及基本性质第4课时课件.pptx
      预览
      教案
      2025湘教版版教材初中数学八年级上册 2.1分式的概念及基本性质第4课时教案.docx
      预览
      正在预览:2025湘教版版教材初中数学八年级上册 2.1分式的概念及基本性质第4课时课件.pptx
      2025湘教版版教材初中数学八年级上册 2.1分式的概念及基本性质第4课时课件第1页
      1/14
      2025湘教版版教材初中数学八年级上册 2.1分式的概念及基本性质第4课时课件第2页
      2/14
      2025湘教版版教材初中数学八年级上册 2.1分式的概念及基本性质第4课时课件第3页
      3/14
      2025湘教版版教材初中数学八年级上册 2.1分式的概念及基本性质第4课时课件第4页
      4/14
      2025湘教版版教材初中数学八年级上册 2.1分式的概念及基本性质第4课时课件第5页
      5/14
      2025湘教版版教材初中数学八年级上册 2.1分式的概念及基本性质第4课时课件第6页
      6/14
      2025湘教版版教材初中数学八年级上册 2.1分式的概念及基本性质第4课时课件第7页
      7/14
      2025湘教版版教材初中数学八年级上册 2.1分式的概念及基本性质第4课时教案第1页
      1/3
      还剩7页未读, 继续阅读

      湘教版(2024)2.1 分式的概念及基本性质优秀ppt课件

      展开

      这是一份湘教版(2024)2.1 分式的概念及基本性质优秀ppt课件,文件包含2025湘教版版教材初中数学八年级上册21分式的概念及基本性质第4课时课件pptx、2025湘教版版教材初中数学八年级上册21分式的概念及基本性质第4课时教案docx等2份课件配套教学资源,其中PPT共14页, 欢迎下载使用。
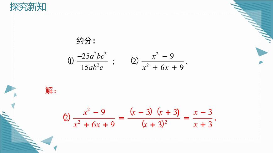
      想一想:联想分数的约分,你能想出如何对分式进行约分?
      与分数约分类似,关键是要找出分式的分子与分母的最简公分母.
        像这样,根据分式的基本性质,把一个分式的分子与分母的公因式约去,叫做分式的约分.
      分式的约分,一般要约去分子和分母所有的公因式,使所得的结果成为最简分式或整式.
      在化简分式 时,小颖和小明的做法出现了分歧:小颖:小明:
      你对他们俩的解法有何看法?说说看!
      一般约分要彻底, 使分子、分母没有公因式.
      分析:约分的前提是要先找出分子与分母的公因式.
      先分解因式,找出分子与分母的公因式,再约分.
      (1)若分子﹑分母都是单项式,则约去系数的最大公约数,并约去相同字母的最低次幂;(2)若分子﹑分母含有多项式,则先将多项式分解因式,然后约去分子﹑分母所有的公因式.
      注意事项:(1)约分前后分式的值要相等.(2)约分的关键是确定分式的分子和分母的公因式.(3)约分是对分子、分母的整体进行的,也就是分子的整体和分母的整体都除以同一个因式.
      当x=5, y=3时,
      【方法总结】约分一般是将一个分式化成最简分式.约分可以使求分式的值比较简便.
      2.下列各式中是最简分式的( )
      1.下列各式成立的是( )
        A.扩大两倍  B.不变   C.缩小两倍  D.缩小四倍
      的 x 和y 都扩大两倍,则分式的值( )
      4.若把分式 中的 和 都扩大3倍,那么分式 的值( )
        A.扩大3倍  B.扩大9倍  C.扩大4倍  D.不变
      6. 先约分,再求值: ,其中x=2,y= 3.

      相关课件 更多

      资料下载及使用帮助
      版权申诉
      • 1.电子资料成功下载后不支持退换,如发现资料有内容错误问题请联系客服,如若属实,我们会补偿您的损失
      • 2.压缩包下载后请先用软件解压,再使用对应软件打开;软件版本较低时请及时更新
      • 3.资料下载成功后可在60天以内免费重复下载
      版权申诉
      若您为此资料的原创作者,认为该资料内容侵犯了您的知识产权,请扫码添加我们的相关工作人员,我们尽可能的保护您的合法权益。
      入驻教习网,可获得资源免费推广曝光,还可获得多重现金奖励,申请 精品资源制作, 工作室入驻。
      版权申诉二维码
      初中数学湘教版(2024)八年级上册(2024)电子课本 新教材

      2.1 分式的概念及基本性质

      版本: 湘教版(2024)

      年级: 八年级上册(2024)

      切换课文
      • 同课精品
      • 所属专辑54份
      欢迎来到教习网
      • 900万优选资源,让备课更轻松
      • 600万优选试题,支持自由组卷
      • 高质量可编辑,日均更新2000+
      • 百万教师选择,专业更值得信赖
      微信扫码注册
      手机号注册
      手机号码

      手机号格式错误

      手机验证码 获取验证码 获取验证码

      手机验证码已经成功发送,5分钟内有效

      设置密码

      6-20个字符,数字、字母或符号

      注册即视为同意教习网「注册协议」「隐私条款」
      QQ注册
      手机号注册
      微信注册

      注册成功

      返回
      顶部
      中考一轮 精选专题 初中月考 教师福利
      添加客服微信 获取1对1服务
      微信扫描添加客服
      Baidu
      map