搜索
      上传资料 赚现金

      北京市朝阳区2025届高三下学期质量检测二数学试题(解析版)

      • 1.62 MB
      • 2025-05-24 11:29:13
      • 56
      • 0
      •  
      加入资料篮
      立即下载
      北京市朝阳区2025届高三下学期质量检测二数学试题(解析版)第1页
      高清全屏预览
      1/21
      北京市朝阳区2025届高三下学期质量检测二数学试题(解析版)第2页
      高清全屏预览
      2/21
      北京市朝阳区2025届高三下学期质量检测二数学试题(解析版)第3页
      高清全屏预览
      3/21
      还剩18页未读, 继续阅读

      北京市朝阳区2025届高三下学期质量检测二数学试题(解析版)

      展开

      这是一份北京市朝阳区2025届高三下学期质量检测二数学试题(解析版),共21页。
      A. B. C. D.
      【答案】A
      【解析】对于集合,,化简得,所以.
      所以集合.
      对于集合,,根据指数函数的性质可得.
      所以集合.
      所以.
      故选:A.
      2. 若抛物线的焦点坐标为,则抛物线C的准线方程为( )
      A. B. C. D.
      【答案】D
      【解析】因为抛物线的焦点坐标为,
      所以抛物线方程为,
      准线方程为.
      故选:D
      3. 已知,则( )
      A. B. C. D.
      【答案】D
      【解析】,
      又在上为增函数,
      所以,
      综上,,
      故选:D
      4. 已知的展开式中,第4项和第6项的系数相等,则( )
      A. 7B. 8C. 9D. 10
      【答案】B
      【解析】由,根据题意有,由组合数的性质有.
      故选:B.
      5. 已知函数,则对任意实数x,有( )
      A. B.
      C. D.
      【答案】A
      【解析】因为,
      作出函数图象,如图,
      由图象可知,函数图象关于点中心对称,故A正确;
      图象不关于点对称,故B错误;
      当时,,故C错误;
      令,则,故D错误.
      故选:A
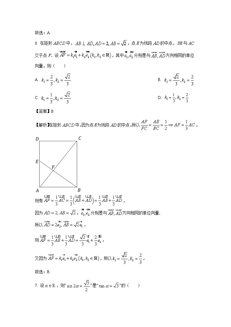
      6. 在矩形中,,点E为线段的中点,与交于点F.设,其中分别是与方向相同的单位向量,则( )
      A. B.
      C. D.
      【答案】B
      【解析】在矩形中,因为点E为线段的中点,所以,
      则有,
      因为,分别是与方向相同的单位向量,
      所以,
      则,
      又因为,所以,
      故选:B.
      7. 设,则“”是“”的( )
      A. 充分不必要条件B. 必要不充分条件C. 充要条件 D. 既不充分也不必要条件
      【答案】B
      【解析】由,
      得,解得或,
      由,得,
      所以“”是“”的必要不充分条件.
      故选:B.
      8. 已知函数,曲线在点处的切线方程为,设函数,则( )
      A. 当时,B. 当时,
      C. 当时,D. 当时,
      【答案】C
      【解析】由函数,可得,可得,
      所以曲线在点处的切线方程为:,
      又由,
      因为,其中,
      若时,,其中,
      当时,,函数单调递增;
      当时,,函数单调递减,
      所以,所以,
      又由,且,即不恒成立,
      所以C正确,A不正确;
      若时,,其中,
      当时,,函数单调递减,
      当时,,函数单调递增,
      所以,所以不恒成立,
      又由,,此时,所以不恒成立,
      所以B、D均不正确.
      故选:C.
      9. 金刚石是由碳元素组成的单质,具有极高的硬度,在工业中有广泛的应用,如图1所示,组成金刚石的每个碳原子都与其相邻的4个碳原子以完全相同的方式连接.从立体几何的角度,可以认为4个碳原子分布在一个正四面体的4个顶点A,B,C,D处,中间的碳原子处于与这4个碳原子距离都相等的位置(点E处),如图2所示,设,则E到平面的距离为( )
      A. B. C. D.
      【答案】C
      【解析】沿四面体的两条侧棱和高,切出一块几何体如下图,
      O是顶点A在下底面的射影,E是正四面外接球的球心,AO是正四面体的高,OB是下底面的外接圆半径,是球的半径,
      则,解得,
      在中,,
      在中,,
      即,即,
      解得,
      所以,
      由于到正四面体各面的距离相等,则E到平面的距离为.
      故选:C
      10. 设无穷数列的前n项和为,定义,则( )
      A 当时,
      B. 当时,
      C. 当时,则
      D. 当时,
      【答案】D
      【解析】对于A选项:当时,,不正确;
      对于B选项:当时,在为奇数时为1,偶数时为0,故,不正确;
      对于C选项:当时,,
      又,所以
      ,不正确;
      对于D选项:当时,,
      ,正确,
      故选:D.
      二、填空题共5小题,每小题5分,共25分.
      11. 若复数z满足,则__________.
      【答案】
      【解析】因为,所以,
      所以.
      故答案为:
      12. 已知等差数列满足,则__________;设为的前项和,则使的的最小值为__________.
      【答案】 ①. 0 ②. 7
      【解析】设等差数列的公差为,由,
      得到,解得,所以,
      则,
      又,得到或(舍),
      又,所以使的的最小值为,
      故答案为:,.
      13. 在中,,且,则__________;面积的最大值为__________.
      【答案】 ①. ②.
      【解析】在中,由,得,而,所以;
      的面积,当且仅当时取等号,
      所以面积的最大值为.
      故答案为:;
      14. 若直线与双曲线没有公共点,则双曲线C的离心率的一个取值为__________.
      【答案】3(答案不唯一)
      【解析】的渐近线为,且焦点在轴上,
      由题知:,因,解得,
      所以离心率,
      故离心率的一个取值可以为3.
      故答案为:3(答案不唯一).
      15. 设,过原点的直线(不与轴重合)与圆交于点P与直线交于点.过点作轴的平行线,过点作轴的垂线,这两条直线交于点,称为的箕舌线函数,记作,给出下列四个结论:
      ①函数的图象关于y轴对称;
      ②若,则;
      ③设函数,则的最大值为;
      ④设函数,则的最小值为.
      其中所有正确结论的序号是__________.
      【答案】①③
      【解析】圆的圆心在轴上,设圆与的另一个交点为,设,当点不与点重合时,直线的方程为,
      联立,解得,所以点纵坐标为,此时点,
      当点与点重合时,点的纵坐标也满足,所以,
      对任意的,,所以的定义域为,
      对于命题①,因为,所以是偶函数,故①正确;
      对于命题②,因为,当时,,即在区间上单调递增,
      所以当时,若,则,所以②错误,
      对于命题③,,因为,当时,,
      当时,,又,当且仅当,即时取等号,
      所以,故③正确,
      对于命题④,,令,
      则,易知在区间上单调递减,在区间上单调递增,
      若,即时,,
      即当时,的最小值为,所以④错误,
      故答案为:①③.
      三、解答题共6小题,共85分.解答应写出文字说明,演算步骤或证明过程.
      16. 已知函数.
      (1)求的最小正周期和单调递增区间;
      (2)设函数,再从条件①、条件②,条件③这三个条件中选择一个作为已知,使函数存在且唯一,求在区间上的最大值和最小值.
      条件①:在区间上单调递增;
      条件②:的最大值为;
      条件③:为偶函数.
      注:如果选择的条件不符合要求,第(2)问得0分;如果选择多个符合要求的条件分别解答,按第一个解答计分.
      解:(1)由题意得,
      所以的最小正周期,
      由,
      得.
      所以的单调递增区间为.
      (2)选择条件①:
      由题意得.
      由(1)可知的单调递增区间为.
      由在区间上单调递增,得
      解得.
      又因为,所以.
      从而存在且唯一,
      当时,,
      所以当,即时,取得最大值;
      当,即时,取得最小值.
      选择条件②:
      由题意得,
      函数最大值为,则只需,
      由于,故的取值不唯一,故不符合题意,即不能选择条件②;
      选择条件③:
      由题意得.
      由为偶函数可知,
      解得.
      又因为,所以.
      从而存在且唯一.
      当时,,
      所以当,即时,取得最小值;
      当,即时,取得最大值.
      17. 如图,在三棱柱中,底面侧面,侧面是边长为4的菱形,.
      (1)求证:侧面为矩形;
      (2)求直线与平面所成角的正弦值.
      (1)证明:连接,因为四边形为菱形,且,
      所以为正三角形,从而.
      因为,所以.
      设中点为D,连接,则.
      又,
      所以.
      因为底面侧面,
      底面侧面,
      侧面,所以底面,而平面.
      所以.
      又,平面,平面,
      所以平面,而平面,
      所以
      又因为侧面为平行四边形,
      所以侧面为矩形.
      (2)解:由(1)可知平面,所以.
      所以两两垂直.
      如图,以A为坐标原点,建立空间直角坐标系,
      则.
      所以.
      设平面的法向量为,则

      令,则.所以.
      设直线与平面所成角为,
      所以
      因此,直线与平面所成角的正弦值为.
      18. 某电商平台为了解用户对配送服务的满意度,分别从A地区和B地区随机抽取了500名和100名用户进行问卷评分调查,将评分数据按,,…,分组整理得到如下频率分布直方图:
      (1)从A地区抽取的500名用户中随机抽取一名,求该用户评分不低于60分的概率;
      (2)从B地区评分为的样本中随机抽取两名,记评分不低于90分的用户人数为X,求X的分布列和数学期望;
      (3)根据图中的样本数据,假设同组中每个数据用该组区间的中点值代替,设A地区评分的平均值估计为,A,B两地区评分的平均值估计为,比较与的大小关系.(直接写出结论)
      解:(1)设事件M:从A地区抽取500名用户中随机抽取一名,该用户评分不低于.由频率分布直方图可知A地区抽取的500名用户中评分不低于的人数为,
      所以.
      (2)B地区评分为的样本用户共有人,
      其中评分不低于的人数为5人.
      由题意可知,X的所有可能取值为0,1,2.



      所以X的分布列为:
      则X的数学期望
      (3).
      19. 已知椭圆的焦距为2,且过点.
      (1)求椭圆E的方程;
      (2)设直线与椭圆E交于不同的两点A,B,直线与直线交于点N,若(O是坐标原点),求k的值.
      解:(1)由题意得解得
      所以椭圆E的方程为.
      (2)由得.
      由得.
      又,所以.
      设,则.
      不妨设点A在点B上方,
      因为,又,
      此时,直线的倾斜角为,
      直线的倾斜角为,所以.
      由题可知直线和的斜率都存在,分别设为和,则.
      因为,
      所以,即.
      由得.
      所以.整理得,
      又,所以
      20. 已知函数.
      (1)若,求函数在区间上的最大值;
      (2)若在区间上存在单调递减区间,求的取值范围;
      (3)若存在极值点,且,求的值.
      解:(1)若,则,,
      当时,,所以在单调递减,
      所以当时,取得最大值.
      (2)的定义域为,
      当时,易知在区间上单调递减,符合题意;
      当时,,设,
      则,当时,,所以在区间上单调递减,
      ①若,即时,当时,,即,
      此时在区间上单调递增,不符合题意;
      ②若,即时,,
      所以存在唯一的使得,
      当时,,即,
      此时在区间上单调递减,符合题意;
      综上,的取值范围为.
      (3)由题意可得即,
      所以,即(*),
      设函数,

      当时,,所以在区间上单调递增,
      当时,,所以在区间上单调递减,
      所以当时,取得最大值,
      又,所以,当且仅当时取等号,
      又(*)等价于,所以,
      所以.
      经检验,当时,存在极大值点且,符合题意,
      所以.
      21. 已知是无穷正整数数列,且对任意的,其中表示有穷集合S的元素个数.
      (1)若,求所有可能取值;
      (2)求证:数列中存在等于1的项;
      (3)求证:存在,使得集合为无穷集合.
      (1)解:因为,则中与相等的数有且仅有2个,除去本身,中与相等的数有且只有1个,
      ∴或.
      当时,;当时,.
      所以的所有可能取值为2,3.
      (2)证明:假设中不存在等于1的项,则.
      又,所以.
      当时,由,则存在,使得.
      所以,与假设矛盾.
      当时,由,则存在,使得,且中有且只有一项与相等.
      ①若中有两项为2,一项为3,
      则,与假设矛盾.
      ②若中有两项为2,一项为,
      则,与假设矛盾.
      ③若中有一项为2,两项为3,
      则,与假设矛盾.
      ④若中有一项为2,两项为,
      则,矛盾.
      综上,假设不成立,所以中存在等于1的项.
      (3)证明:假设均为有限集合,
      当时,,
      则当时,(*)
      令,下证当时,.
      否则假设n0=minn∈N*|an>M,n>k0,则,与(*)矛盾.
      ∴当时,,
      ∵已知数列是无穷正整数数列,
      所以存在,使得集合为无穷集合,矛盾,
      ∴假设错误,∴存在,使得集合为无穷集合.X
      0
      1
      2
      P

      相关试卷 更多

      资料下载及使用帮助
      版权申诉
      • 1.电子资料成功下载后不支持退换,如发现资料有内容错误问题请联系客服,如若属实,我们会补偿您的损失
      • 2.压缩包下载后请先用软件解压,再使用对应软件打开;软件版本较低时请及时更新
      • 3.资料下载成功后可在60天以内免费重复下载
      版权申诉
      若您为此资料的原创作者,认为该资料内容侵犯了您的知识产权,请扫码添加我们的相关工作人员,我们尽可能的保护您的合法权益。
      入驻教习网,可获得资源免费推广曝光,还可获得多重现金奖励,申请 精品资源制作, 工作室入驻。
      版权申诉二维码
      欢迎来到教习网
      • 900万优选资源,让备课更轻松
      • 600万优选试题,支持自由组卷
      • 高质量可编辑,日均更新2000+
      • 百万教师选择,专业更值得信赖
      微信扫码注册
      手机号注册
      手机号码

      手机号格式错误

      手机验证码 获取验证码 获取验证码

      手机验证码已经成功发送,5分钟内有效

      设置密码

      6-20个字符,数字、字母或符号

      注册即视为同意教习网「注册协议」「隐私条款」
      QQ注册
      手机号注册
      微信注册

      注册成功

      返回
      顶部
      学业水平 高考一轮 高考二轮 高考真题 精选专题 初中月考 教师福利
      添加客服微信 获取1对1服务
      微信扫描添加客服
      Baidu
      map