江西省多校联考2025届年高三下学期3月月考数学试卷(解析版)
展开
这是一份江西省多校联考2025届年高三下学期3月月考数学试卷(解析版),共18页。试卷主要包含了 若复数,则的虚部为, 已知集合,,则, 已知向量,,若,则, 下列命题为真命题的是等内容,欢迎下载使用。
1. 若复数,则的虚部为( )
A. B. C. D.
【答案】B
【解析】,
所以,故的虚部为.
故选:B.
2. 已知集合,,则( )
A. B. C. D.
【答案】C
【解析】因为或,,
故.
故选:C.
3. 已知向量,,若,则( )
A. 5B. 3C. D.
【答案】C
【解析】因为,所以,展开得,
化简得,所以,解得,
所以,所以.
故选:C.
4. 已知函数的图象关于点对称,则的最大值为( )
A. 1B. 2C. D.
【答案】D
【解析】解法一:由题意,得恒成立,即恒成立,
整理,得恒成立,所以,从而,
故当,,即时,取得最大值.
解法二:由题意,得,解得,
所以,
故当,即时,取得最大值.
故选:D.
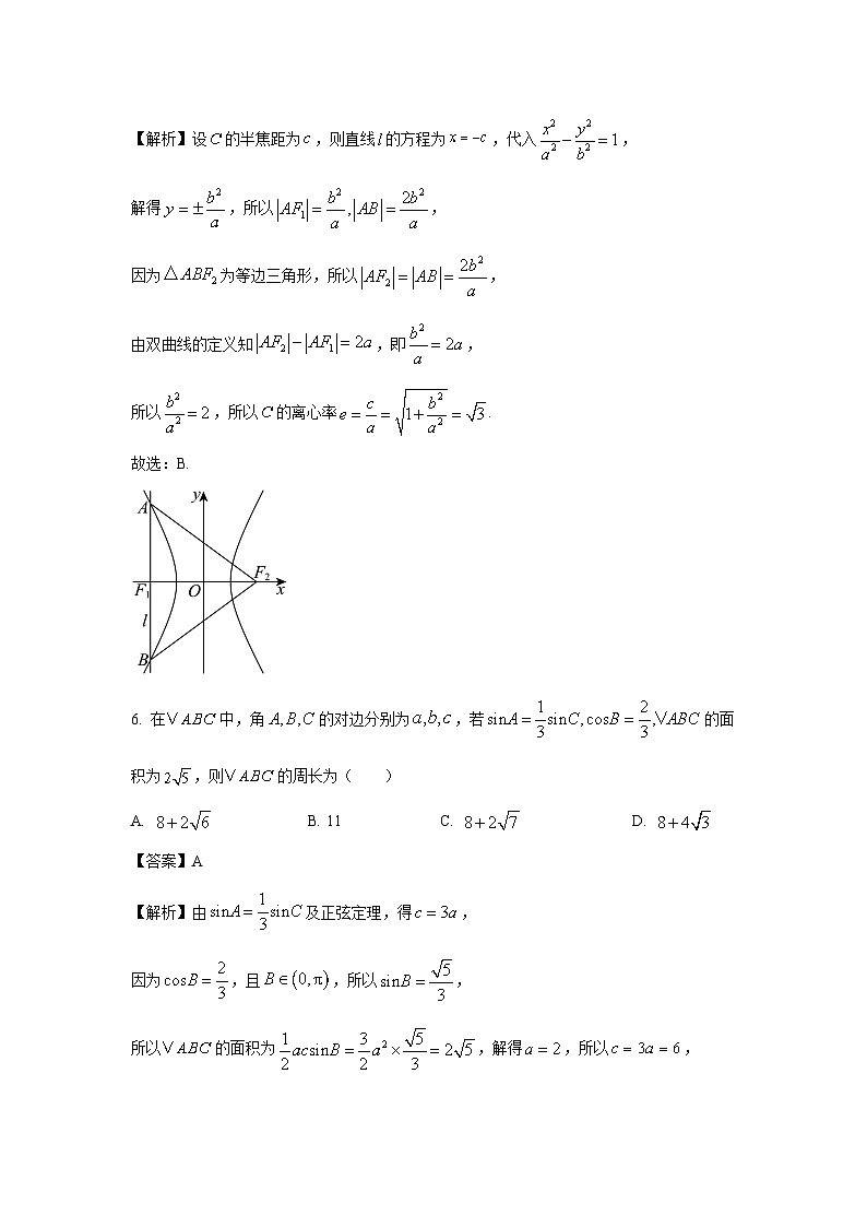
5. 已知双曲线的左、右焦点分别为,过且垂直于轴的直线与交于两点,若为等边三角形,则的离心率等于( )
A. B. C. 2D.
【答案】B
【解析】设的半焦距为,则直线的方程为,代入,
解得,所以,
因为为等边三角形,所以,
由双曲线的定义知,即,
所以,所以的离心率.
故选:B.
6. 在中,角的对边分别为,若的面积为,则的周长为( )
A. B. 11C. D.
【答案】A
【解析】由及正弦定理,得,
因为,且,所以,
所以的面积为,解得,所以,
由余弦定理,得,所以,
所以的周长为.
故选:A.
7. 设,用表示不超过的最大整数,例如:.已知函数则的值域为( )
A. B. C. D.
【答案】A
【解析】当时,,此时,或1;
当时,,此时0,或1;
当时,,
此时,所以的值域为.
故选:A.
8. 如图,在四棱锥中,四边形是正方形,,若三棱锥的四个顶点均在球的表面上,则球的表面积为( )
A. B. C. D.
【答案】D
【解析】解法一(通法):设分别为线段的中点,由,知为直角三角形的外接圆圆心;
因为四边形为正方形,所以为正方形外接圆的圆心;
过分别作平面,平面的垂线交于点,则为三棱锥外接球的球心,即为外接球的半径.
取的中点,连接,则,可证点四点共面,
因为,所以,则,
又,所以,则,
所以球的表面积为.
解法二:如图,过点作于点,
因为平面,所以平面,
因为平面,所以,又平面,所以平面,
因为,所以,取的中点,则球心在平面内的射影为,即平面,连接,则,
过点作,交直线于点,则,
因为,所以1,又,
由余弦定理,得,
设,则,故,由勾股定理,得,所以,解得,
所以球的半径为,所以球的表面积为.
故选:D.
二、多选题:本题共3小题,每小题6分,共18分.在每小题给出的选项中,有多项符合题目要求.全部选对的得6分,部分选对的得部分分,有选错的得0分.
9. 已知抛物线的焦点为,准线为,过上一点作,垂足为点,若,则( )
A. B. 直线的斜率为
C. D. 点到轴的距离为
【答案】ABD
【解析】因为,所以,故A正确;
因为,又,所以为等边三角形,所以,
如图,若点在第一象限,,直线的倾斜角为;
若点在第四象限,可得直线的倾斜角为.综上,直线的斜率为,故B正确;
的方程为,设与轴的交点为,在中,,所以,故C错误;
由,得,又,所以点到轴的距离为,故D正确.
故选:ABD.
10. 下列命题为真命题的是( )
A. 若随机变量,且,则
B. 若随机事件满足,,则
C. 若随机变量的分布列为,则
D. 若随机变量,则当取得最大值时,
【答案】AC
【解析】因为,,
所以,,故A正确;
因为为必然事件,所以,又与互斥,
所以,所以,故B错误;
因为的分布列为,所以,
所以,解得,所以,
令,则,两式相减,
得,
所以,所以,故C正确;
因为,所以,
当时,,
所以,
所以当取得最大值时,,故D错误.
故选:AC.
11. 下面四个图案中,能用如图样式的一组七巧板拼出来的有( )
A. B.
C. D.
【答案】BCD
【解析】给一组七巧板按如图顺序标号,其中1与2是全等三角形,4与是全等三角形,
再按如图顺序排列可得选项BCD中图案,而A中最上面的等腰直角三角形尺寸太小,
七巧板中没有如此尺寸的三角形,无法用一组七巧板拼出.
故选:BCD.
三、填空题:本题共3小题,每小题分,共分.
12. 的展开式中含项的系数为__________.(用数字作答)
【答案】1215
【解析】展开式的通项公式,
令,得,所以展开式中含项的系数为.
故答案为:1215
13. 杜老师对本班学生在一模考试中的数学成绩与语文成绩进行统计,得到如下信息:随机取一名学生,数学成绩优秀的概率为,语文成绩优秀的概率为,数学成绩和语文成绩均未达到优秀的概率为,则该班学生在数学成绩优秀的条件下,语文成绩也优秀的概率为__________.
【答案】
【解析】设“数学成绩优秀”为事件,“语文成绩优秀”为事件,
则,且,
所以,
又,
所以.
故答案为:.
14. 已知函数,若恒成立,则实数的取值范围为__________.
【答案】
【解析】的定义域为,由,得,
当时,;当时,,
所以在上单调递增,在上单调递减,所以.
令,当时,;当时,,
所以在上单调递减,在上单调递增.所以.
由题意得,所以,
即,即,解得.
故答案为:.
四、解答题:本题共5小题,共77分.解答应写出文字说明,证明过程或演算步骤.
15. 小明为了了解不同性别的观众对蛇年春晚小品类节目的喜欢情况,随机选取了200名观看蛇年春晚的观众,得到如下列联表:
(1)求;
(2)在所有喜欢蛇年春晚小品类节目的观众中随机选1人,记该观众是男性观众的概率为,求出的估计值;
(3)根据小概率值的独立性检验,能否认为性别因素与喜欢与否有关联?
附:,其中.
解:(1)由列联表可知,.
(2)由列联表可知,喜欢蛇年春晚小品类节目的观众共计120人,其中男性有45人,
则该观众是男性观众的概率的估计值为.
(3)补全列联表如下:
零假设为:性别因素与喜欢与否无关联,
根据列联表中的数据,得,
依据小概率的独立性检验,可推断不成立,即可以认为性别因素与喜欢与否有关联.
16. 已知数列的前项和为,且.
(1)证明:是等比数列;
(2)求的通项公式;
(3)已知,求数列的前项和,并证明:.
(1)证明:(1)因为,所以当时,,
即,所以.
当时,,
两式相减,得,即,
所以,
又,
所以是以为首项,以为公比的等比数列
(2)解:由(1)知,,
所以.
(3)解:由(2),得,
所以
因为,所以,
又,
所以是递增数列,
所以,
所以.
17. 已知椭圆的左、右焦点分别为,左顶点为,上顶点为,且是线段上靠近点的三等分点,的面积为.
(1)求的方程;
(2)过点作斜率不为零的直线交于两点,证明:直线与直线的斜率之积为定值,并求出该定值.
(1)解:由题意,得
解得
所以的方程为.
(2)证明:由(1),得.
因为直线的斜率不为0,故设直线,
联立消去并整理,得,
显然,该方程的判别式,
设,则,
又,所以的斜率分别为,
所以
所以直线与直线的斜率之积为定值.
18. 已知函数.
(1)当时,求曲线在点处的切线方程;
(2)当时,求的零点个数;
(3)若有两个极值点,证明:当时,.
(1)解:当时,,所以,
所以,所以曲线在点处的切线斜率,
所以曲线在点处的切线方程为,即.
(2)解:当时,,定义域为,
,
令,则,
当时,,当时,,
所以在上单调递增,在上单调递减,
所以,所以,
所以在上单调递减,
又,
所以存在唯一的,使得.
又在上单调递减,所以当时,的零点个数为1.
(3)证明:的定义域为,
因为有两个极值点,有两个极值点,意味着有两个不同正根.
设,其导数.
若,,在递增,不会有两个正根.
当,令,得.在,递增;在,递减.
要使有两个正根,需,即,解得.
所以当时,有两个极值点.
所以,且,
所以,所以,
所以,当时,
,
令,即证当时,对恒成立.
令,则.
因为,所以,所以,
所以在上单调递增,所以,即,
所以当时,恒成立.
19. 如图,四棱柱中,.
(1)若四边形为菱形,.
①证明:平面;
②若四边形的面积为,证明:四棱柱的体积;
(2)若,求点到平面的距离.
(1)证明:①因为四边形为菱形,所以,
因为,
所以,所以.
又是的中点,所以,
又平面,所以平面,
又平面,所以,
在中,因为,从而,所以.
又,所以,
又平面,所以平面.
②连接,因为,所以四边形为平行四边形,从而与互相平分,
又平面,所以点到平面的距离为,
从而四棱锥的体积,
因为三棱锥与三棱锥等底等高,所以;
又四边形为平行四边形,所以,从而,
所以,所以四棱柱的体积
(2)解:因,
所以,
因为不共面,以作为一组基底,
设平面的一个法向量为,则
即
化简,得令,解得,所以,
所以,
,
设点到平面的距离为,则.喜欢
不喜欢
合计
男性
45
45
90
女性
110
合计
80
200
0.050
0.010
0.005
0.001
3.841
6.635
7879
10828
喜欢
不喜欢
合计
男性
45
45
90
女性
75
35
110
合计
120
80
200
相关试卷
这是一份江西省多校联考2024-2025学年高一下学期3月月考数学试卷+答案,共8页。
这是一份江西省多校联考2025届高三下学期5月适应性大练兵联考数学试卷(PDF版附解析),共11页。
这是一份江西省多校联考2024−2025学年高三下学期3月月考数学试题(含解析),共15页。试卷主要包含了单选题,多选题,填空题,解答题等内容,欢迎下载使用。
相关试卷 更多
- 1.电子资料成功下载后不支持退换,如发现资料有内容错误问题请联系客服,如若属实,我们会补偿您的损失
- 2.压缩包下载后请先用软件解压,再使用对应软件打开;软件版本较低时请及时更新
- 3.资料下载成功后可在60天以内免费重复下载
免费领取教师福利

