搜索
      上传资料 赚现金

      江苏省南通市如皋市2024-2025学年高一下学期教学质量调研(一)(3月)数学试卷(解析版)

      • 774.92 KB
      • 2025-05-02 22:19:12
      • 62
      • 0
      •  
      加入资料篮
      立即下载
      江苏省南通市如皋市2024-2025学年高一下学期教学质量调研(一)(3月)数学试卷(解析版)第1页
      1/14
      江苏省南通市如皋市2024-2025学年高一下学期教学质量调研(一)(3月)数学试卷(解析版)第2页
      2/14
      江苏省南通市如皋市2024-2025学年高一下学期教学质量调研(一)(3月)数学试卷(解析版)第3页
      3/14
      还剩11页未读, 继续阅读

      江苏省南通市如皋市2024-2025学年高一下学期教学质量调研(一)(3月)数学试卷(解析版)

      展开

      这是一份江苏省南通市如皋市2024-2025学年高一下学期教学质量调研(一)(3月)数学试卷(解析版),共14页。试卷主要包含了单项选择题,多项选择题,填空题,解答题等内容,欢迎下载使用。
      一、单项选择题(本大题共8小题,每小题5分,共40分.在每小题给出的四个选项中,只有一项是符合题目要求的)
      1. 已知,若,则实数的值为( )
      A. B. 3C. D.
      【答案】B
      【解析】因为,
      又因为,所以,则实数.
      故选:B.
      2. 若,则( )
      A. B. C. D.
      【答案】A
      【解析】因为,所以,
      因此.
      故选:A.
      3. 已知,且,则( )
      A. B. C. D.
      【答案】A
      【解析】因为,且,
      所以,所以,
      所以,
      因为,所以.
      故选:A.
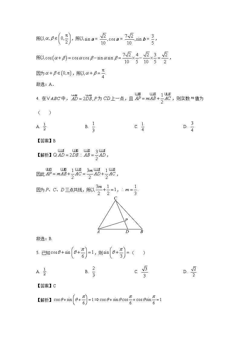
      4. 在中,为上一点,且,则实数值为( )
      A. B. C. D.
      【答案】B
      【解析】,
      因此,
      因为三点共线,所以,.
      故选:B.
      5. 已知,则( )
      A. B. C. D.
      【答案】C
      【解析】
      即变形得:.
      故选:C.
      6. 在直角梯形中,,点分别为,的中点,则( )
      A 0B. C. 1D.
      【答案】C
      【解析】以为坐标原点,分别以,的方向为轴,轴的正方向建立平面直角坐标系.
      已知,则;因为,,,所以,
      又因为,可得,即,
      解得(舍去,因为在直角梯形中),所以,.
      因为点为的中点,所以;点为的中点,可得,
      即.
      所以,.
      可得:.
      故选:C.
      7. 已知,则( )
      A B. C. D.
      【答案】D
      【解析】,




      从而.
      故选:D.
      8. 在中,,则( )
      A. 9B. C. 6D.
      【答案】A
      【解析】因为,所以点是三等分点,
      所以,则,
      又,
      所以.
      故选:A.
      二、多项选择题(本大题共3小题,每小题6分,共18分.在每个小题给出的选项中,有多项符合题目要求.全部选对的得6分,部分选对的得部分分,有选错的得0分)
      9. 下列命题正确的是( )
      A. 在中,若,则
      B. 已知向量满足条件,则为等边三角形
      C. 在中,若,则为直角三角形
      D. 在中,若,则为等腰三角形
      【答案】BCD
      【解析】对于A,,故A错误;
      对于B,设OA=OB=OC=r>0,
      由得,,
      所以,即,
      所以,
      又∈0,π ,所以,
      同理可得,,
      所以为等边三角形,故B正确;
      对于C,由,得,
      展开整理得,即,故C正确;
      对于D,设,则射线是的平分线,
      又,所以,所以为等腰三角形,故D正确.
      故选:BCD.
      10. 下列计算正确的是( )
      A.
      B.
      C.
      D.
      【答案】ACD
      【解析】根据诱导公式可得,
      .
      则.
      可得.
      因为,所以选项正确.
      可得.
      则.可得.
      所以,选项错误.
      分子分母同时除以,
      可得.
      因为,所以.
      可得,C选项正确.
      .
      可得.
      则.
      可得.
      所以,选项正确.
      故选:ACD.
      11. 已知,则下列结论正确的是( )
      A. B.
      C. D.
      【答案】BC
      【解析】由题意可得,
      所以,
      对于A,,故A错误;
      对于B,,
      故B正确;
      对于C,因为,所以,
      所以,故C正确;
      对于D,因为,
      所以,
      所以,故D错误.
      故选:BC.
      三、填空题(本题共3小题,每小题5分,共15分.)
      12. 已知向量在向量上的投影向量为,且,则向量与向量的夹角为__________.
      【答案】
      【解析】因为向量在向量上的投影向量为,
      又向量在向量上的投影向量为,所以,,

      ,.
      13. 若,则__________.
      【答案】
      【解析】因为
      .
      14. 已知,则__________.
      【答案】
      【解析】由,
      得:,


      所以.
      四、解答题(本大题共5个小题,共77分,解答应写出文字说明,证明过程或演算步骤)
      15. 已知.
      (1)求;
      (2)若与的夹角为锐角,求实数的取值范围.
      解:(1),,
      又,
      ,,
      .
      (2)与的夹角为锐角,
      ∴a→+λb→⋅a→+2b→>0,∴a→2+2λb→2+(2+λ)(a→⋅b→)>0,
      ,,,∴|a→|2+2λ|b→|2>0,∴3+2λ>0,∴λ>-32.
      又与不共线,,,
      且.
      16. 已知.
      (1)求的值;
      (2)若,求的值.
      解:(1),
      ,.
      (2)因为,
      所以.
      17. 已知向量.
      (1)若与共线,,求的值;
      (2)设函数,求的值域.
      解:(1),

      与共线,

      ,,
      即,.
      (2)


      所以当时单调递增,当时单调递减,
      所以在上单调递增,在上单调递减,
      又,
      所以函数的值域为.
      18. 在等腰梯形中,为线段中点,与交于点.
      (1)求的值;
      (2)求的余弦值;
      (3)求与的面积之比.
      解:(1)取线段的中点,连接,
      因,
      则四边形为边长为2的菱形,
      又,则为等边三角形.

      .
      (2)

      所以.
      (3)设,因为为线段的中点,所以,

      因为三点共线,所以即,
      因为,所以,
      又因为,所以,
      因为,所以.
      19. 在中,为钝角,,点为所在平面内一点,满足,,线段交线段于点.
      (1)若,求;
      (2)在(1)条件下,求的最大值;
      (3)设,求的最小值.
      解:(1)因为,
      同理所以为的外心,,
      因为,,所以.
      (2)设,
      .
      所以当时,最大值为.
      (3)设,,,,
      两边同时平方得,,,
      令,,
      当且仅当即时,等号成立.
      所以的最小值为.

      相关试卷

      江苏省南通市如皋市2024-2025学年高一下学期教学质量调研(一)数学试卷(3月份)(含答案):

      这是一份江苏省南通市如皋市2024-2025学年高一下学期教学质量调研(一)数学试卷(3月份)(含答案),共7页。

      江苏省南通市如皋市2024-2025学年高一下学期教学质量调研(二)数学试题(含答案解析):

      这是一份江苏省南通市如皋市2024-2025学年高一下学期教学质量调研(二)数学试题(含答案解析),共14页。试卷主要包含了单选题,多选题,填空题,解答题等内容,欢迎下载使用。

      江苏省南通市如皋市2024-2025学年高一下学期教学质量调研(一)数学试卷(3月份)(含答案)含答案解析:

      这是一份江苏省南通市如皋市2024-2025学年高一下学期教学质量调研(一)数学试卷(3月份)(含答案)含答案解析,共7页。试卷主要包含了单选题,多选题,填空题,解答题等内容,欢迎下载使用。

      资料下载及使用帮助
      版权申诉
      • 1.电子资料成功下载后不支持退换,如发现资料有内容错误问题请联系客服,如若属实,我们会补偿您的损失
      • 2.压缩包下载后请先用软件解压,再使用对应软件打开;软件版本较低时请及时更新
      • 3.资料下载成功后可在60天以内免费重复下载
      版权申诉
      若您为此资料的原创作者,认为该资料内容侵犯了您的知识产权,请扫码添加我们的相关工作人员,我们尽可能的保护您的合法权益。
      入驻教习网,可获得资源免费推广曝光,还可获得多重现金奖励,申请 精品资源制作, 工作室入驻。
      版权申诉二维码
      欢迎来到教习网
      • 900万优选资源,让备课更轻松
      • 600万优选试题,支持自由组卷
      • 高质量可编辑,日均更新2000+
      • 百万教师选择,专业更值得信赖
      微信扫码注册
      手机号注册
      手机号码

      手机号格式错误

      手机验证码 获取验证码 获取验证码

      手机验证码已经成功发送,5分钟内有效

      设置密码

      6-20个字符,数字、字母或符号

      注册即视为同意教习网「注册协议」「隐私条款」
      QQ注册
      手机号注册
      微信注册

      注册成功

      返回
      顶部
      学业水平 高考一轮 高考二轮 高考真题 精选专题 初中月考 教师福利
      添加客服微信 获取1对1服务
      微信扫描添加客服
      Baidu
      map