若您为此资料的原创作者,认为该资料内容侵犯了您的知识产权,请扫码添加我们的相关工作人员,我们尽可能的保护您的合法权益。

1/14

2/14

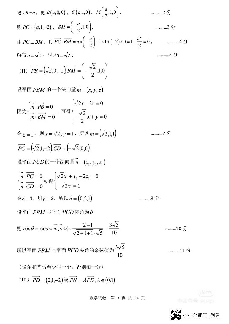
3/14

1/6

2/6

3/6
还剩11页未读, 继续阅读
所属成套资源:2025届天津市十二区高三年级二模数学试卷及答案
成套系列资料,整套一键下载
2025届天津市十二区高三年级二模数学试卷及答案
展开 这是一份2025届天津市十二区高三年级二模数学试卷及答案,文件包含2025天津十二区重点校二模答案pdf、2025天津十二区重点校二模pdf等2份试卷配套教学资源,其中试卷共20页, 欢迎下载使用。
相关试卷
2025届天津市十二区高三年级二模数学试卷及答案:
这是一份2025届天津市十二区高三年级二模数学试卷及答案,文件包含2025天津十二区重点校二模答案pdf、2025天津十二区重点校二模pdf等2份试卷配套教学资源,其中试卷共20页, 欢迎下载使用。
2025届天津市部分区高三年级二模数学试卷及答案:
这是一份2025届天津市部分区高三年级二模数学试卷及答案,文件包含2025天津市部分区高中数学二模试卷pdf、2025天津市部分区高中数学二模答案pdf等2份试卷配套教学资源,其中试卷共9页, 欢迎下载使用。
2025年天津市部分区高三二模数学试卷和答案:
这是一份2025年天津市部分区高三二模数学试卷和答案,共11页。
相关试卷 更多
资料下载及使用帮助
版权申诉
- 1.电子资料成功下载后不支持退换,如发现资料有内容错误问题请联系客服,如若属实,我们会补偿您的损失
- 2.压缩包下载后请先用软件解压,再使用对应软件打开;软件版本较低时请及时更新
- 3.资料下载成功后可在60天以内免费重复下载
版权申诉
免费领取教师福利 





.png)




