搜索
      上传资料 赚现金

      新高考数学三轮冲刺解题技巧精讲精练思想03 运用函数与方程的思想方法解题(2份,原卷版+解析版)

      • 1.8 MB
      • 2025-03-11 20:03:53
      • 59
      • 0
      • M.T.杨
      加入资料篮
      立即下载
      查看完整配套(共2份)
      包含资料(2份) 收起列表
      原卷
      新高考数学三轮冲刺解题技巧精讲精练思想03 运用函数与方程的思想方法解题(原卷版).doc
      预览
      解析
      新高考数学三轮冲刺解题技巧精讲精练思想03 运用函数与方程的思想方法解题(解析版).doc
      预览
      正在预览:新高考数学三轮冲刺解题技巧精讲精练思想03 运用函数与方程的思想方法解题(原卷版).doc
      新高考数学三轮冲刺解题技巧精讲精练思想03 运用函数与方程的思想方法解题(原卷版)第1页
      高清全屏预览
      1/10
      新高考数学三轮冲刺解题技巧精讲精练思想03 运用函数与方程的思想方法解题(原卷版)第2页
      高清全屏预览
      2/10
      新高考数学三轮冲刺解题技巧精讲精练思想03 运用函数与方程的思想方法解题(原卷版)第3页
      高清全屏预览
      3/10
      新高考数学三轮冲刺解题技巧精讲精练思想03 运用函数与方程的思想方法解题(解析版)第1页
      高清全屏预览
      1/37
      新高考数学三轮冲刺解题技巧精讲精练思想03 运用函数与方程的思想方法解题(解析版)第2页
      高清全屏预览
      2/37
      新高考数学三轮冲刺解题技巧精讲精练思想03 运用函数与方程的思想方法解题(解析版)第3页
      高清全屏预览
      3/37
      还剩7页未读, 继续阅读

      新高考数学三轮冲刺解题技巧精讲精练思想03 运用函数与方程的思想方法解题(2份,原卷版+解析版)

      展开

      这是一份新高考数学三轮冲刺解题技巧精讲精练思想03 运用函数与方程的思想方法解题(2份,原卷版+解析版),文件包含新高考数学三轮冲刺解题技巧精讲精练思想03运用函数与方程的思想方法解题原卷版doc、新高考数学三轮冲刺解题技巧精讲精练思想03运用函数与方程的思想方法解题解析版doc等2份试卷配套教学资源,其中试卷共47页, 欢迎下载使用。
      高考命题中,以知识为载体,以能力立意、思想方法为灵魂,以核心素养为统领,兼顾试题的基础性、综合性、应用性和创新性,展现数学的科学价值和人文价值.高考试题一是着眼于知识点新颖巧妙的组合,二是着眼于对数学思想方法、数学能力的考查.如果说数学知识是数学的内容,可用文字和符号来记录和描述,那么数学思想方法则是数学的意识,重在领会、运用,属于思维的范畴,用于对数学问题的认识、处理和解决.高考中常用到的数学思想主要有分类讨论思想、数形结合思想、函数与方程思想、转化与化归思想等.
      【核心考点目录】
      核心考点一:运用函数的思想研究问题
      核心考点二:运用方程的思想研究问题
      核心考点三:运用函数与方程的思想研究不等式问题
      核心考点四:运用函数与方程的思想研究其他问题
      【真题回归】
      1.(2022·全国·统考高考真题)已知椭圆的离心率为,分别为C的左、右顶点,B为C的上顶点.若,则C的方程为( )
      A.B.C.D.
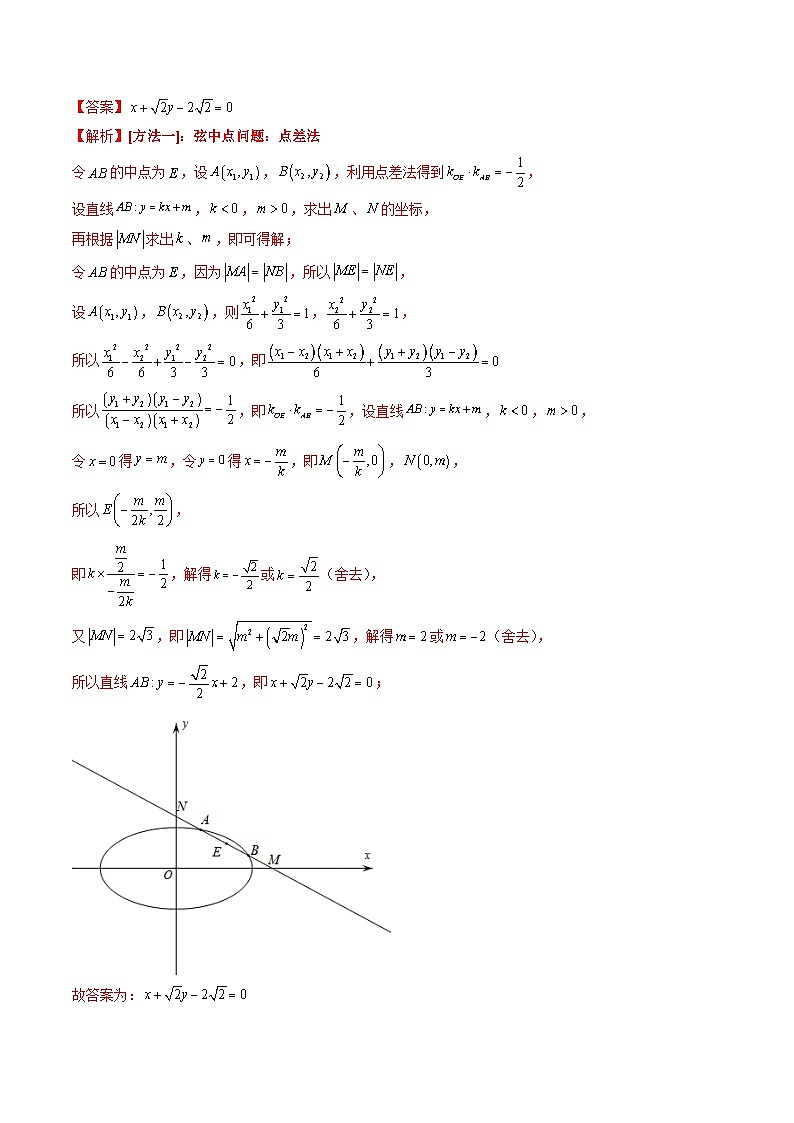
      2.(2022·全国·统考高考真题)已知直线l与椭圆在第一象限交于A,B两点,l与x轴,y轴分别交于M,N两点,且,则l的方程为___________.
      3.(2022·全国·统考高考真题)写出与圆和都相切的一条直线的方程________________.
      4.(2021·全国·统考高考真题)曲线在点处的切线方程为__________.
      5.(2022·全国·统考高考真题)曲线过坐标原点的两条切线的方程为____________,____________.
      【方法技巧与总结】
      1、函数与方程是紧密相联、可以相互转化的.在研究方程解的存在性、方程解的个数、方程解的分布等问题时,一般利用方程的性质,对方程进行同解变形,进而构造函数,利用函数的图象与性质求解方程问题.例如,方程解的个数可以转化为函数的图象与轴交点的个数,也可以参变分离,转化为水平直线与函数图象交点的个数,也可以部分分离,转化为斜线与函数图象交点的个数,也可以构造两个熟悉函数,转化为两个函数图象交点的个数.
      2、在研究函数问题时,运用方程的思想,设出未知数,通过题目中的等量关系,建立方程(组),进而求解方程(组),或者将方程变形,构造新函数,更易于研究其图象和性质.例如,在研究曲线的切线问题时,设出切点横坐标,得到切线斜率,切线方程为 , 从而将函数中的切线问题转化为关于切点横坐标的方程问题.
      3、函数、方程、不等式三位一体,常常相互转化.在研究不等式的解集、不等式恒成立、不等式有解、不等式的证明等问题时,最重要的思想方法就是函数与方程思想,构造适当的函数,分析、 转化不等式问题.例如,不等式或恒成立,可以转化为或.也可以考虑参变分离再求函数的最值.
      4、函数与方程的思想贯穿高中数学的多个模块,在数列、解析几何、三角形、立体几何等内容中都有广泛的运用.函数思想体现的是运动与变化的观念,通过分析问题中的数量关系,建构函数,再运用函数的图象与性质分析.转化问题,进而解决问题.方程思想体现的是“动中求静”,寻求变化过程中保持不变的等量关系,建构方程(组),通过解方程或方程组,或者运用方程的性质去分析,转化问题,使问题获得解决.
      【核心考点】
      核心考点一:运用函数的思想研究问题
      【典型例题】
      例1.(2023·全国·高三专题练习)已知,设函数若关于的方程恰有两个互异的实数解,则实数的取值范围是__________.
      例2.(2023·全国·高三专题练习)已知函数.
      (1)若在上为增函数,求实数的取值范围;
      (2)若在上最小值为,求实数的值;
      (3)若在上只有一个零点,求实数的取值范围.
      例3.(2023·全国·高三专题练习)已知函数.
      (1)若,证明:当时,;
      (2)若在只有一个零点,求的值.
      核心考点二:运用方程的思想研究问题
      【典型例题】
      例4.(2023·全国·高三专题练习)已知,其中.
      (1)请利用的导函数推出导函数,并求函数的递增区间;
      (2)若曲线在点处的切线与曲线在点的切线平行,求(化简为只含的代数式);
      (3)证明:当时,存在直线,使得既是的一条切线,也是的一条切线.
      例5.(2023春·安徽滁州·高三校考阶段练习)已知函数.
      (Ⅰ)不需证明,直接写出的奇偶性:
      (Ⅱ)讨论的单调性,并证明有且仅有两个零点:
      (Ⅲ)设是的一个零点,证明曲线在点处的切线也是曲线的切线.
      例6.(2023·吉林白山·抚松县第一中学校考一模)若直线是曲线的切线,也是的切线,则( )
      A.B.C.D.
      例7.(2023·全国·高三专题练习)若直线是曲线的切线,也是曲线的切线,则( )
      A.2B.4C. D.
      核心考点三:运用函数与方程的思想研究不等式问题
      【典型例题】
      例8.(2023春·广西·高三期末)已知函数
      (1)当时,求的最小值;
      (2)若对,不等式恒成立,求a的取值范围.
      例9.(2023·全国·高三专题练习)已知函数,若,求的取值范围( )
      A.B.
      C.D.
      例10.(2023·福建厦门·高三厦门双十中学校考阶段练习)已知函数,若时,,求a的取值范围( )
      A.B.C.D.
      核心考点四:运用函数与方程的思想研究其他问题
      【典型例题】
      例11.(2023春·重庆九龙坡·高三重庆市育才中学校考开学考试)已知的内角A,B,C的对边分别是a,b,c,的面积为S,且满足,.
      (1)求A和a的大小;
      (2)若为锐角三角形,求的面积S的取值范围.
      例12.(2023春·河北张家口·高三张家口市第一中学校考阶段练习)已知椭圆的离心率为,其中一个焦点在直线上.
      (1)求椭圆的方程;
      (2)若直线与椭圆交于两点,试求三角形面积的最大值.
      例13.(2023春·陕西咸阳·高三陕西咸阳中学校考期中)已知数列是各项均为正数的等差数列.
      (1)若,且,,成等比数列,求数列的通项公式;
      (2)在(1)的条件下,数列的前n项和为,设,若对任意的,不等式恒成立,求实数k的最小值.
      例14.(2023春·北京·高三校考期中)已知函数
      (1)函数的值域是____________.
      (2)若关于x的方程恰有两个互异的实数解,则a的取值范围是______________-.
      【新题速递】
      一、单选题
      1.(2023·广东茂名·高三统考)已知三棱柱的顶点都在球O的表面上,且,若三棱柱的侧面积为,则球O的表面积的最小值是( )
      A.B.C.D.
      2.(2023·重庆万州·高三重庆市万州第二高级中学校考阶段练习)已知函数,,若存在三个零点,则实数a的取值范围是( )
      A.B.C.D.
      3.(2023春·河北沧州·高三阶段练习)已知数列满足:,则下列说法正确的是( )
      A.若,则数列是单调递减数列B.若,则数列是单调递增数列
      C.时,D.时,
      二、多选题
      4.(2023·浙江嘉兴·高一统考期末)已知平面向量,,满足,,,则下列结论正确的是( )
      A.对任意,B.对任意,的最小值为
      C.的最大值为D.的最小值为
      5.(2023春·福建泉州·高三福建省永春第一中学校考阶段练习)已知圆 ,直线,则( )
      A.直线恒过定点
      B.当时,圆上恰有三个点到直线的距离等于1
      C.直线与圆有一个交点
      D.若圆与圆 恰有三条公切线,则
      6.(2023春·山东日照·高三统考)下列命题中是真命题的有( )
      A.有四个实数解
      B.设a、b、c是实数,若二次方程无实根,则
      C.若,则
      D.若,则函数的最小值为2
      7.(2023春·黑龙江哈尔滨·高三哈尔滨市第六中学校校考阶段练习)已知等差数列的前项和为,若,,则( )
      A.B.若,则的最小值为
      C.取到最大值时,D.设,则数列的最小项为
      8.(2023春·福建泉州·高三泉州五中校考)数列满足,,,则下列说法正确的是( )
      A.当时,
      B.当时,
      C.当时,
      D.当时,数列单调递增,数列单调递减
      三、填空题
      9.(2023春·四川绵阳·高一四川省绵阳南山中学校考阶段练习)若函数在定义域内存在非零实数,使得,则称函数为“壹函数”,则下列函数是“壹函数”的是______.
      ①;②;③;④.
      10.(2023春·四川成都·高一校联考)已知函数 满足,当时,不等式恒成立,则实数a的取值范围为_________.
      四、解答题
      11.(2023春·安徽淮北·高一淮北一中校考阶段练习)已知函数,且函数的值域为.
      (1)求实数a的值;
      (2)若关于x的不等式在上恒成立,求实数m的取值范围;
      (3)若关于x的方程有三个不同的实数根,求实数k的取值范围.
      12.(2023春·上海浦东新·高一华师大二附中校考)已知函数,函数的值域为.
      (1)若不等式的解集为,求m的值;
      (2)在(1)的条件下,若恒成立,求实数k的取值范围;
      (3)若关于x的不等式的解集为,求实数c的值.
      13.(2023春·江苏南通·高三阶段练习)已知函数、.
      (1)当c=b时,解关于x的不等式>1;
      (2)若的值域为[1,),关于x的不等式的解集为(m,m+4),求实数a的值;
      (3)若对,,,恒成立,函数,且的最大值为1,求的取值范围.
      14.(2023春·河北邯郸·高三校考)已知抛物线的焦点为,抛物线上的点的横坐标为1,且.
      (1)求抛物线的方程;
      (2)过焦点作两条相互垂直的直线(斜率均存在),分别与抛物线交于、和、四点,求四边形面积的最小值.
      15.(2023春·内蒙古·高三赤峰二中校考阶段练习)已知椭圆的左右两个焦点分别为,,以坐标原点为圆心,过,的圆的内接正三角形的面积为,以为焦点的抛物线的准线与椭圆C的一个公共点为P,且.
      (1)求椭圆C和抛物线M的方程;
      (2)过作相互垂直的两条直线,其中一条交椭圆C于A,B两点,另一条交抛物线M于G,H两点,求四边形面积的最小值.
      16.(2023春·江苏苏州·高一苏州市苏州高新区第一中学校考阶段练习)定义:若对定义域内任意x,都有(a为正常数),则称函数为“a距”增函数.
      (1)若,(0,),试判断是否为“1距”增函数,并说明理由;
      (2)若,R是“a距”增函数,求a的取值范围;
      (3)若,(﹣1,),其中kR,且为“2距”增函数,求的最小值.
      17.(2023春·江苏南京·高三校联考阶段练习)在①,②,③这三个条件中任选一个,补充在下面的问题中,并解决该问题.
      锐角中,a,b,c分别为内角A,B,C的对边,的面积为S,已知______.
      (1)求角C的大小;
      (2)求的取值范围.

      相关试卷 更多

      资料下载及使用帮助
      版权申诉
      • 1.电子资料成功下载后不支持退换,如发现资料有内容错误问题请联系客服,如若属实,我们会补偿您的损失
      • 2.压缩包下载后请先用软件解压,再使用对应软件打开;软件版本较低时请及时更新
      • 3.资料下载成功后可在60天以内免费重复下载
      版权申诉
      若您为此资料的原创作者,认为该资料内容侵犯了您的知识产权,请扫码添加我们的相关工作人员,我们尽可能的保护您的合法权益。
      入驻教习网,可获得资源免费推广曝光,还可获得多重现金奖励,申请 精品资源制作, 工作室入驻。
      版权申诉二维码
      高考专区
      • 精品推荐
      • 所属专辑25份
      欢迎来到教习网
      • 900万优选资源,让备课更轻松
      • 600万优选试题,支持自由组卷
      • 高质量可编辑,日均更新2000+
      • 百万教师选择,专业更值得信赖
      微信扫码注册
      手机号注册
      手机号码

      手机号格式错误

      手机验证码 获取验证码 获取验证码

      手机验证码已经成功发送,5分钟内有效

      设置密码

      6-20个字符,数字、字母或符号

      注册即视为同意教习网「注册协议」「隐私条款」
      QQ注册
      手机号注册
      微信注册

      注册成功

      返回
      顶部
      学业水平 高考一轮 高考二轮 高考真题 精选专题 初中月考 教师福利
      添加客服微信 获取1对1服务
      微信扫描添加客服
      Baidu
      map