2023高考数学二轮专题复习 思想03 运用函数与方程的思想方法解题(精讲精练)(解析版)
展开思想03 运用函数与方程的思想方法解题
【命题规律】
高考命题中,以知识为载体,以能力立意、思想方法为灵魂,以核心素养为统领,兼顾试题的基础性、综合性、应用性和创新性,展现数学的科学价值和人文价值.高考试题一是着眼于知识点新颖巧妙的组合,二是着眼于对数学思想方法、数学能力的考查.如果说数学知识是数学的内容,可用文字和符号来记录和描述,那么数学思想方法则是数学的意识,重在领会、运用,属于思维的范畴,用于对数学问题的认识、处理和解决.高考中常用到的数学思想主要有分类讨论思想、数形结合思想、函数与方程思想、转化与化归思想等.
【核心考点目录】
核心考点一:运用函数的思想研究问题
核心考点二:运用方程的思想研究问题
核心考点三:运用函数与方程的思想研究不等式问题
核心考点四:运用函数与方程的思想研究其他问题
【真题回归】
1.(2022·全国·统考高考真题)已知椭圆的离心率为,分别为C的左、右顶点,B为C的上顶点.若,则C的方程为( )
A. B. C. D.
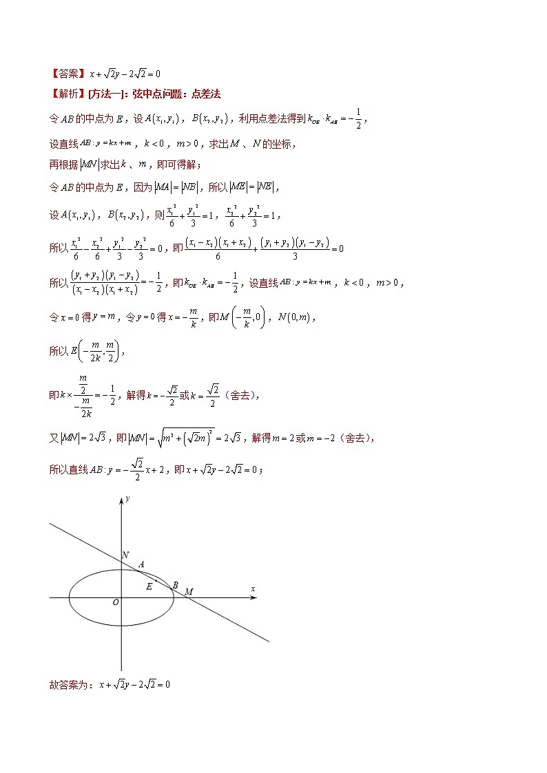
2.(2022·全国·统考高考真题)已知直线l与椭圆在第一象限交于A,B两点,l与x轴,y轴分别交于M,N两点,且,则l的方程为___________.
3.(2022·全国·统考高考真题)写出与圆和都相切的一条直线的方程________________.
4.(2021·全国·统考高考真题)曲线在点处的切线方程为__________.
5.(2022·全国·统考高考真题)曲线过坐标原点的两条切线的方程为____________,____________.
【方法技巧与总结】
1、函数与方程是紧密相联、可以相互转化的.在研究方程解的存在性、方程解的个数、方程解的分布等问题时,一般利用方程的性质,对方程进行同解变形,进而构造函数,利用函数的图象与性质求解方程问题.例如,方程解的个数可以转化为函数的图象与轴交点的个数,也可以参变分离,转化为水平直线与函数图象交点的个数,也可以部分分离,转化为斜线与函数图象交点的个数,也可以构造两个熟悉函数,转化为两个函数图象交点的个数.
2、在研究函数问题时,运用方程的思想,设出未知数,通过题目中的等量关系,建立方程(组),进而求解方程(组),或者将方程变形,构造新函数,更易于研究其图象和性质.例如,在研究曲线的切线问题时,设出切点横坐标,得到切线斜率,切线方程为 , 从而将函数中的切线问题转化为关于切点横坐标的方程问题.
3、函数、方程、不等式三位一体,常常相互转化.在研究不等式的解集、不等式恒成立、不等式有解、不等式的证明等问题时,最重要的思想方法就是函数与方程思想,构造适当的函数,分析、 转化不等式问题.例如,不等式或恒成立,可以转化为或.也可以考虑参变分离再求函数的最值.
4、函数与方程的思想贯穿高中数学的多个模块,在数列、解析几何、三角形、立体几何等内容中都有广泛的运用.函数思想体现的是运动与变化的观念,通过分析问题中的数量关系,建构函数,再运用函数的图象与性质分析.转化问题,进而解决问题.方程思想体现的是“动中求静”,寻求变化过程中保持不变的等量关系,建构方程(组),通过解方程或方程组,或者运用方程的性质去分析,转化问题,使问题获得解决.
【核心考点】
核心考点一:运用函数的思想研究问题
【典型例题】
例1.(2023·全国·高三专题练习)已知,设函数若关于的方程恰有两个互异的实数解,则实数的取值范围是__________.
例2.(2023·全国·高三专题练习)已知函数.
(1)若在上为增函数,求实数的取值范围;
(2)若在上最小值为,求实数的值;
(3)若在上只有一个零点,求实数的取值范围.
例3.(2023·全国·高三专题练习)已知函数.
(1)若,证明:当时,;
(2)若在只有一个零点,求的值.
核心考点二:运用方程的思想研究问题
【典型例题】
例4.(2023·全国·高三专题练习)已知,其中.
(1)请利用的导函数推出导函数,并求函数的递增区间;
(2)若曲线在点处的切线与曲线在点的切线平行,求(化简为只含的代数式);
(3)证明:当时,存在直线,使得既是的一条切线,也是的一条切线.
例5.(2023春·安徽滁州·高三校考阶段练习)已知函数.
(Ⅰ)不需证明,直接写出的奇偶性:
(Ⅱ)讨论的单调性,并证明有且仅有两个零点:
(Ⅲ)设是的一个零点,证明曲线在点处的切线也是曲线的切线.
例6.(2023·吉林白山·抚松县第一中学校考一模)若直线是曲线的切线,也是的切线,则( )
A. B. C. D.
例7.(2023·全国·高三专题练习)若直线是曲线的切线,也是曲线的切线,则( )
A.2 B.4 C. D.
核心考点三:运用函数与方程的思想研究不等式问题
【典型例题】
例8.(2023春·广西·高三期末)已知函数
(1)当时,求的最小值;
(2)若对,不等式恒成立,求a的取值范围.
例9.(2023·全国·高三专题练习)已知函数,若,求的取值范围( )
A. B.
C. D.
例10.(2023·福建厦门·高三厦门双十中学校考阶段练习)已知函数,若时,,求a的取值范围( )
A. B. C. D.
核心考点四:运用函数与方程的思想研究其他问题
【典型例题】
例11.(2023春·重庆九龙坡·高三重庆市育才中学校考开学考试)已知的内角A,B,C的对边分别是a,b,c,的面积为S,且满足,.
(1)求A和a的大小;
(2)若为锐角三角形,求的面积S的取值范围.
例12.(2023春·河北张家口·高三张家口市第一中学校考阶段练习)已知椭圆的离心率为,其中一个焦点在直线上.
(1)求椭圆的方程;
(2)若直线与椭圆交于两点,试求三角形面积的最大值.
例13.(2023春·陕西咸阳·高三陕西咸阳中学校考期中)已知数列是各项均为正数的等差数列.
(1)若,且,,成等比数列,求数列的通项公式;
(2)在(1)的条件下,数列的前n项和为,设,若对任意的,不等式恒成立,求实数k的最小值.
例14.(2023春·北京·高三校考期中)已知函数
(1)函数的值域是____________.
(2)若关于x的方程恰有两个互异的实数解,则a的取值范围是______________-.
【新题速递】
一、单选题
1.(2023·广东茂名·高三统考)已知三棱柱的顶点都在球O的表面上,且,若三棱柱的侧面积为,则球O的表面积的最小值是( )
A. B. C. D.
2.(2023·重庆万州·高三重庆市万州第二高级中学校考阶段练习)已知函数,,若存在三个零点,则实数a的取值范围是( )
A. B. C. D.
3.(2023春·河北沧州·高三阶段练习)已知数列满足:,则下列说法正确的是( )
A.若,则数列是单调递减数列 B.若,则数列是单调递增数列
C.时, D.时,
二、多选题
4.(2023·浙江嘉兴·高一统考期末)已知平面向量,,满足,,,则下列结论正确的是( )
A.对任意, B.对任意,的最小值为
C.的最大值为 D.的最小值为
5.(2023春·福建泉州·高三福建省永春第一中学校考阶段练习)已知圆 ,直线,则( )
A.直线恒过定点
B.当时,圆上恰有三个点到直线的距离等于1
C.直线与圆有一个交点
D.若圆与圆 恰有三条公切线,则
6.(2023春·山东日照·高三统考)下列命题中是真命题的有( )
A.有四个实数解
B.设a、b、c是实数,若二次方程无实根,则
C.若,则
D.若,则函数的最小值为2
7.(2023春·黑龙江哈尔滨·高三哈尔滨市第六中学校校考阶段练习)已知等差数列的前项和为,若,,则( )
A. B.若,则的最小值为
C.取到最大值时, D.设,则数列的最小项为
8.(2023春·福建泉州·高三泉州五中校考)数列满足,,,则下列说法正确的是( )
A.当时,
B.当时,
C.当时,
D.当时,数列单调递增,数列单调递减
三、填空题
9.(2023春·四川绵阳·高一四川省绵阳南山中学校考阶段练习)若函数在定义域内存在非零实数,使得,则称函数为“壹函数”,则下列函数是“壹函数”的是______.
①;②;③;④.
10.(2023春·四川成都·高一校联考)已知函数 满足,当时,不等式恒成立,则实数a的取值范围为_________.
四、解答题
11.(2023春·安徽淮北·高一淮北一中校考阶段练习)已知函数,且函数的值域为.
(1)求实数a的值;
(2)若关于x的不等式在上恒成立,求实数m的取值范围;
(3)若关于x的方程有三个不同的实数根,求实数k的取值范围.
12.(2023春·上海浦东新·高一华师大二附中校考)已知函数,函数的值域为.
(1)若不等式的解集为,求m的值;
(2)在(1)的条件下,若恒成立,求实数k的取值范围;
(3)若关于x的不等式的解集为,求实数c的值.
13.(2023春·江苏南通·高三阶段练习)已知函数、.
(1)当c=b时,解关于x的不等式>1;
(2)若的值域为[1,),关于x的不等式的解集为(m,m+4),求实数a的值;
(3)若对,,,恒成立,函数,且的最大值为1,求的取值范围.
14.(2023春·河北邯郸·高三校考)已知抛物线的焦点为,抛物线上的点的横坐标为1,且.
(1)求抛物线的方程;
(2)过焦点作两条相互垂直的直线(斜率均存在),分别与抛物线交于、和、四点,求四边形面积的最小值.
15.(2023春·内蒙古·高三赤峰二中校考阶段练习)已知椭圆的左右两个焦点分别为,,以坐标原点为圆心,过,的圆的内接正三角形的面积为,以为焦点的抛物线的准线与椭圆C的一个公共点为P,且.
(1)求椭圆C和抛物线M的方程;
(2)过作相互垂直的两条直线,其中一条交椭圆C于A,B两点,另一条交抛物线M于G,H两点,求四边形面积的最小值.
16.(2023春·江苏苏州·高一苏州市苏州高新区第一中学校考阶段练习)定义:若对定义域内任意x,都有(a为正常数),则称函数为“a距”增函数.
(1)若,(0,),试判断是否为“1距”增函数,并说明理由;
(2)若,R是“a距”增函数,求a的取值范围;
(3)若,(﹣1,),其中kR,且为“2距”增函数,求的最小值.
17.(2023春·江苏南京·高三校联考阶段练习)在①,②,③这三个条件中任选一个,补充在下面的问题中,并解决该问题.
锐角中,a,b,c分别为内角A,B,C的对边,的面积为S,已知______.
(1)求角C的大小;
(2)求的取值范围.
思想03 运用函数与方程的思想方法解题(精讲精练)-2024年高考数学二轮复习讲练测(新高考专用): 这是一份思想03 运用函数与方程的思想方法解题(精讲精练)-2024年高考数学二轮复习讲练测(新高考专用),文件包含思想03运用函数与方程的思想方法解题精讲精练原卷版docx、思想03运用函数与方程的思想方法解题精讲精练解析版docx等2份试卷配套教学资源,其中试卷共47页, 欢迎下载使用。
新高考数学二轮培优精讲精练思想02 运用数形结合的思想方法解题(含解析): 这是一份新高考数学二轮培优精讲精练思想02 运用数形结合的思想方法解题(含解析),共33页。
新高考数学二轮培优精讲精练思想03 运用函数与方程的思想方法解题(含解析): 这是一份新高考数学二轮培优精讲精练思想03 运用函数与方程的思想方法解题(含解析),共37页。

