搜索
      上传资料 赚现金

      新高考数学一轮复习考点题型训练 4.8解三角形中的多个三角形问题(精练)(2份,原卷版+解析版)

      • 545.49 KB
      • 2025-03-03 14:25:50
      • 100
      • 0
      • M.T.杨
      加入资料篮
      立即下载
      查看完整配套(共2份)
      包含资料(2份) 收起列表
      原卷
      新高考数学一轮复习考点题型训练 4.8解三角形中的多个三角形问题(精练)(原卷版).doc
      预览
      解析
      新高考数学一轮复习考点题型训练 4.8解三角形中的多个三角形问题(精练)(解析版).doc
      预览
      正在预览:新高考数学一轮复习考点题型训练 4.8解三角形中的多个三角形问题(精练)(原卷版).doc
      新高考数学一轮复习考点题型训练 4.8解三角形中的多个三角形问题(精练)(原卷版)第1页
      1/6
      新高考数学一轮复习考点题型训练 4.8解三角形中的多个三角形问题(精练)(原卷版)第2页
      2/6
      新高考数学一轮复习考点题型训练 4.8解三角形中的多个三角形问题(精练)(原卷版)第3页
      3/6
      新高考数学一轮复习考点题型训练 4.8解三角形中的多个三角形问题(精练)(解析版)第1页
      1/9
      新高考数学一轮复习考点题型训练 4.8解三角形中的多个三角形问题(精练)(解析版)第2页
      2/9
      新高考数学一轮复习考点题型训练 4.8解三角形中的多个三角形问题(精练)(解析版)第3页
      3/9
      还剩3页未读, 继续阅读

      新高考数学一轮复习考点题型训练 4.8解三角形中的多个三角形问题(精练)(2份,原卷版+解析版)

      展开

      这是一份新高考数学一轮复习考点题型训练 4.8解三角形中的多个三角形问题(精练)(2份,原卷版+解析版),文件包含新高考数学一轮复习考点题型训练48解三角形中的多个三角形问题精练原卷版doc、新高考数学一轮复习考点题型训练48解三角形中的多个三角形问题精练解析版doc等2份试卷配套教学资源,其中试卷共15页, 欢迎下载使用。

      【题型一 多三角形中基本量的计算】
      1.(2022·全国·高三课时练习)如图,在平面四边形ABCD中,AB⊥BC,AB=2,BD=eq \r(5),∠BCD=2∠ABD,△ABD的面积为2.
      (1)求AD的长;
      (2)求△CBD的面积.
      2.(2022·全国·高三专题练习)如图,在中,内角,,的对边分别为,,,已知,,,,分别为线段上的点,且,.
      (1)求线段的长;
      (2)求的面积.
      3.(2022·全国高三单元测试)如图,在△ABC中,∠ABC=90°,AB=eq \r(3),BC=1,P为△ABC内一点,∠BPC=90°.
      (1)若PB=eq \f(1,2),求PA;
      (2)若∠APB=150°,求tan∠PBA.
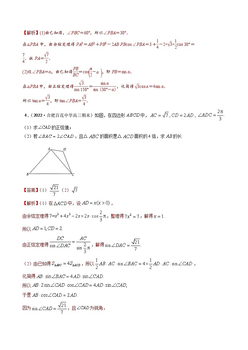
      4.(2022·合肥百花中学高三期末)如图,在四边形中,
      (1)求的正弦值;
      (2)若,且△的面积是△面积的4倍,求的长.
      5.(2022·全国高三课时练习)如图,在△ABC中,D为边BC上一点,AD=6,BD=3,DC=2.
      (1)如图1,若AD⊥BC,求∠BAC的大小;
      (2)如图2,若∠ABC=eq \f(π,4),求△ADC的面积.
      6.(2022·山东潍坊高三期末)如图,在四边形中,,,,,,
      (1)求边的长;
      (2)求的面积.
      【题型二 多三角形中最值、范围问题】
      1.2022·广西河池·高三期末)如图,在中,,,延长至,使得.
      (1)若,求的面积;
      (2)求面积的取值范围.
      2.(2022·山东济南·高三期末)如图,已知,点是以为圆心,5为半径的半圆上一动点.
      (1)当时,求线段的值;
      (2)若为正三角形,求四边形面积的最大值.
      3.(2022·河南·高三期中)在中,角,,的对边分别是,,,已知.
      (1)求角;
      (2)若是等腰三角形,且,为的中点,,分别在线段,上(不包含端点),且,设,求面积的最小值.

      相关试卷 更多

      资料下载及使用帮助
      版权申诉
      • 1.电子资料成功下载后不支持退换,如发现资料有内容错误问题请联系客服,如若属实,我们会补偿您的损失
      • 2.压缩包下载后请先用软件解压,再使用对应软件打开;软件版本较低时请及时更新
      • 3.资料下载成功后可在60天以内免费重复下载
      版权申诉
      若您为此资料的原创作者,认为该资料内容侵犯了您的知识产权,请扫码添加我们的相关工作人员,我们尽可能的保护您的合法权益。
      入驻教习网,可获得资源免费推广曝光,还可获得多重现金奖励,申请 精品资源制作, 工作室入驻。
      版权申诉二维码
      高考专区
      • 精品推荐
      • 所属专辑99份
      欢迎来到教习网
      • 900万优选资源,让备课更轻松
      • 600万优选试题,支持自由组卷
      • 高质量可编辑,日均更新2000+
      • 百万教师选择,专业更值得信赖
      微信扫码注册
      手机号注册
      手机号码

      手机号格式错误

      手机验证码 获取验证码 获取验证码

      手机验证码已经成功发送,5分钟内有效

      设置密码

      6-20个字符,数字、字母或符号

      注册即视为同意教习网「注册协议」「隐私条款」
      QQ注册
      手机号注册
      微信注册

      注册成功

      返回
      顶部
      学业水平 高考一轮 高考二轮 高考真题 精选专题 初中月考 教师福利
      添加客服微信 获取1对1服务
      微信扫描添加客服
      Baidu
      map