江西省赣州市2024-2025学年高三上学期1月期末考试数学试卷(Word版附解析)
展开
这是一份江西省赣州市2024-2025学年高三上学期1月期末考试数学试卷(Word版附解析),文件包含江西省赣州市2024-2025学年高三上学期1月期末考试数学试题Word版含解析docx、江西省赣州市2024-2025学年高三上学期1月期末考试数学试题Word版无答案docx等2份试卷配套教学资源,其中试卷共24页, 欢迎下载使用。
题目要求的.
1. 若复数 为纯虚数,则 ( )
A. B. 0 C. 2 D. 4
2. “ ”是“ ”的( )
A. 充分不必要条件 B. 必要不充分条件
C 充要条件 D. 既不充分也不必要条件
3. 若向量 , 的夹角为 ,且 , ,则 ( )
A. B. 2 C. 4 D. 3
4. 某普通高中高二年级学生参加体育学业水平考试立定跳远项目模拟测试,甲、乙两位同学连续 5 次的测
试数据如下表 单位:
甲 210 220 216 220 230
乙 215 212 216 223 249
下列说法错误的是( )
A. 甲同学测试数据的众数为 220 B. 乙同学测试数据的极差为 37
C. 甲同学测试数据的 分位数为 220 D. 乙同学测试数据的平均数为 223
5. 已知椭圆 与直线 交于 A,B 两点,点 M 满足 ,则 M 的轨迹方程为( )
A. B.
C. D.
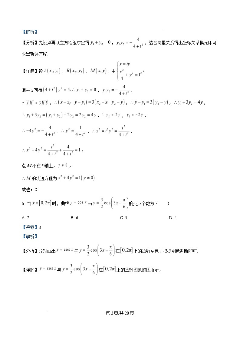
6. 当 时,曲线 与 的交点个数为( )
A. 7 B. 6 C. 5 D. 4
7. 已知四面体 ABCD 的四个顶点都在同一球面上, , ,平面 平面 当
该球的体积最小时,四面体 ABCD 体积的最大值为( )
第 1页/共 4页
A. B. C. D.
8 已知函数 满足 , , ,当 时, ,
则 ( )
A. B. C. D.
二、多选题:本题共 3 小题,共 18 分.在每小题给出的选项中,有多项符合题目要求.全部选
对的得 6 分,部分选对的得 2 分,有选错的得 0 分.
9. 小华是一位篮球爱好者,每天坚持投篮训练,每天至少训练 10 组,每组投篮 50 次,且每一组投篮命中
的次数 X 服从正态分布 ,则( ) 参考数据: ,
,
A. B.
C. D.
10. 已知 p,r 为正数,圆 ,抛物线 ,则( )
A. 当圆 C 与 E 有公共点时,
B. 当 E 在点 处 切线与圆 C 相切时,
C. E 上一点 M 到点 和圆心 C 距离之和的最小值为 3p
D. 当 时,直线 被圆 C 所截弦长的最小值为
11. 已知函数 ,则( )
A. ,
B. 当 时, 有三个零点
C. 若 图象上存在四点构成正方形,则 a 的最大值为
D. 存在 a,b 使得满足方程 的曲线与 y 轴有三个交点
三、填空题:本题共 3 小题,每小题 5 分,共 15 分.
第 2页/共 4页
12. 已知等差数列 的前 n 项和为 , , ,则公差 __________.
13. 若曲线 与曲线 存在公切线,则 a 的取值范围为__________.
14. 陈某喜欢打排球和踢足球,他打算在连续 三天假期中每天下午选其中一项进行体育锻炼.如果某天选
排球,第二天还选排球的概率为 ;如果某天选足球,第二天还选足球的概率为 .若陈某第 天随机选其
中一项,则陈某第 天选排球的概率为__________.
四、解答题:本题共 5 小题,共 77 分.解答应写出文字说明,证明过程或演算步骤.
15. 已 知 的 内 角 A, B, C 所 对 的 边 分 别 为 a, b, c, 且
(1)求
(2)若 , ,求 的周长.
16. 已知双曲线 的左、右焦点分别为 , ,焦距为 4,P 为 C 上一点,
, 的面积为
(1)求 C 的方程;
(2)已知点 ,斜率为 1 的直线 l 与 C 交于 A,B 两点,若 的面积为 ,求 l 的方程.
17. 如图,在三棱锥 中, ,E 为棱 SB 中点,O 为棱 AB 上一点, 平面
(1)若 ,证明: 平面
(2)若 , ,求直线 OE 与平面 SAC 所成角的正弦值.
第 3页/共 4页
18. 已知函数
(1)当 , 时,证明: ;
(2)若 ,对 ,不等式 恒成立,求 的最大值.
19. 给定数列 , , , ,定义“ 变换”为将数列 变换成 , ,
, ,其中 ,且 这种“ 变换”记作 ,继续对
数列 进行“ 变换”,得到数列 , ,依此类推,当得到的数列各项为 0 时变换结束.
(1)求数列 ,4,2,9 经过 4 次“ 变换”后得到的数列;
(2)证明:数列 , , 经过有限次“ 变换”后能够结束的充要条件是
(3)已知数列 ,2,2028 经过 K 次“ 变换”后得到的数列各项之和最小,求 K 的最小值.
第 4页/共 4页
相关试卷
这是一份江西省赣州市2024-2025学年高一上学期1月期末考试数学试卷(Word版附解析),文件包含江西省赣州市2024-2025学年高一上学期1月期末数学试题Word版含解析docx、江西省赣州市2024-2025学年高一上学期1月期末数学试题Word版无答案docx等2份试卷配套教学资源,其中试卷共21页, 欢迎下载使用。
这是一份江西省赣州市2024-2025学年高三上学期1月期末考试数学试卷(PDF版附答案),文件包含数学试卷pdf、数学试卷答案pdf等2份试卷配套教学资源,其中试卷共9页, 欢迎下载使用。
这是一份江西省部分学校2024-2025学年高三上学期10月联考数学试卷(Word版附解析),共12页。试卷主要包含了本试卷主要考试内容,已知且,则,在中,,点在内部,且,记,则,已知命题;命题,则,已知函数,则等内容,欢迎下载使用。

