还剩6页未读,
继续阅读
所属成套资源:2025高考数学二轮复习专辑-【课件】
成套系列资料,整套一键下载
2025高考数学二轮复习-中低档大题规范练4【课件】
展开
这是一份2025高考数学二轮复习-中低档大题规范练4【课件】,共12页。
1.(13分)已知向量m=(cs x,-sin x),n=(cs x,sin x-2 cs x),x∈R.设f(x)=m·n.(1)求函数f(x)的单调递增区间;(2)在△ABC中,若f(∠BAC)=1,AB=2,BC= ,∠BAC的平分线交BC于点D,求AD的长.
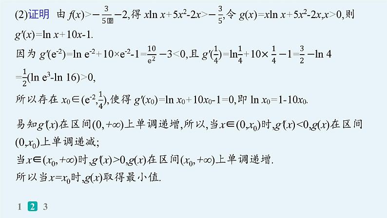
2.(15分)(2024·河北张家口三模)已知函数f(x)=ln x+5x-4.(1)求曲线y=f(x)在点(1,f(1))处的切线方程;
(1)解 由题意知f(x)的定义域为(0,+∞),因为f'(x)= +5,所以曲线y=f(x)在点(1,f(1))处的切线斜率为f'(1)=6.又f(1)=ln 1+5-4=1,所以切线方程为y-1=6(x-1),即6x-y-5=0.
易知g'(x)在区间(0,+∞)上单调递增,所以,当x∈(0,x0)时,g'(x)
相关课件
2025高考数学二轮复习-中低档大题规范练6【课件】:
这是一份2025高考数学二轮复习-中低档大题规范练6【课件】,共12页。
备战2025年高考数学二轮复习课件题型专项练7中低档大题规范练(A):
这是一份备战2025年高考数学二轮复习课件题型专项练7中低档大题规范练(A),共11页。
备战2025年高考数学二轮复习课件题型专项练8中低档大题规范练(B):
这是一份备战2025年高考数学二轮复习课件题型专项练8中低档大题规范练(B),共12页。

