资料中包含下列文件,点击文件名可预览资料内容
还剩3页未读,
继续阅读
湖南省长沙市2025届新高考适应性考试(长沙一模)高三数学试题(PDF版附答案)
展开
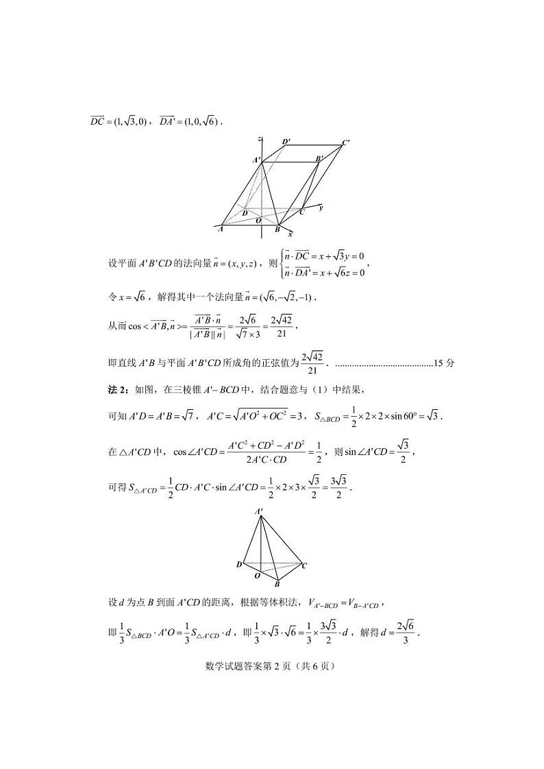
这是一份湖南省长沙市2025届新高考适应性考试(长沙一模)高三数学试题(PDF版附答案),文件包含长沙市2025年新高考适应性考试数学试卷pdf、长沙市2025年新高考适应性考试数学答案pdf等2份试卷配套教学资源,其中试卷共11页, 欢迎下载使用。
相关试卷
湖南省长沙市2023-2024学年新高考适应性考试高三数学试题(PDF版附解析):
这是一份湖南省长沙市2023-2024学年新高考适应性考试高三数学试题(PDF版附解析),共11页。
湖南省长沙市2023届高三上学期新高考适应性考试数学试题(解析版):
这是一份湖南省长沙市2023届高三上学期新高考适应性考试数学试题(解析版),共24页。试卷主要包含了选择题,填空题,解答题等内容,欢迎下载使用。
2022届湖南省长沙市高三新高考适应性考试(1月)数学试题含答案:
这是一份2022届湖南省长沙市高三新高考适应性考试(1月)数学试题含答案,共14页。

