还剩44页未读,
继续阅读
所属成套资源:2024-2025学年高考数学艺体生一轮复习课件(含讲义练习)
成套系列资料,整套一键下载
艺考生教学课件22数列的通项与求和-2024-2025学年高考数学艺体生一轮复习课件
展开
这是一份艺考生教学课件22数列的通项与求和-2024-2025学年高考数学艺体生一轮复习课件,共52页。PPT课件主要包含了错位相减法求和,裂项相消法求和,教材知识萃取,教材素材变式等内容,欢迎下载使用。
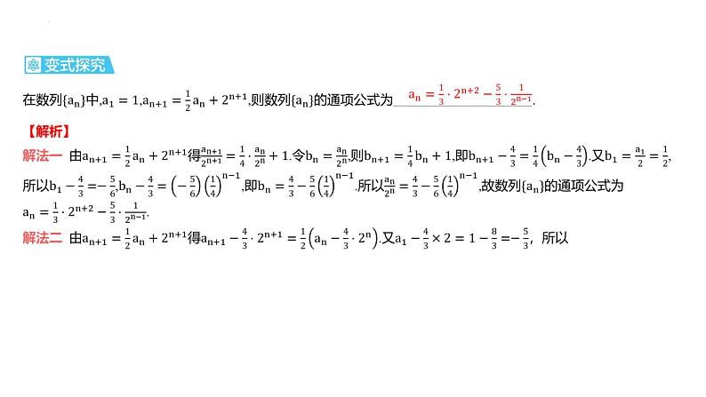
利用构造法求数列的通项公式
分组求和、并项求和与倒序相加法求和
A.2B.3C.2 022D.2 023
真题变式此题与2020年新高考Ⅰ卷第18题的命题角度极其相似,第(2)问都需要先分段,再求和.
相关课件
艺考生教学课件36二项式定理-2024-2025学年高考数学艺体生一轮复习课件:
这是一份艺考生教学课件36二项式定理-2024-2025学年高考数学艺体生一轮复习课件,共21页。PPT课件主要包含了教材知识萃取,教材素材变式,ACD,BCD等内容,欢迎下载使用。
艺考生教学课件23数列的综合应用-2024-2025学年高考数学艺体生一轮复习课件:
这是一份艺考生教学课件23数列的综合应用-2024-2025学年高考数学艺体生一轮复习课件,共30页。PPT课件主要包含了数列与其他知识交汇,教材知识萃取,教材素材变式,模型解读,应用专练,BCD等内容,欢迎下载使用。
艺考生教学课件21等比数列-2024-2025学年高考数学艺体生一轮复习课件:
这是一份艺考生教学课件21等比数列-2024-2025学年高考数学艺体生一轮复习课件,共34页。PPT课件主要包含了等比数列基本量的计算,等比数列的判定与证明,等比数列的性质,教材知识萃取,教材素材变式等内容,欢迎下载使用。

