2023~2024学年广东省茂名市电白区高二(上)期末质量监测数学试卷(解析版)
展开
这是一份2023~2024学年广东省茂名市电白区高二(上)期末质量监测数学试卷(解析版),共14页。试卷主要包含了选择题,填空题,解答题等内容,欢迎下载使用。
一、选择题:本大题共8小题,每小题5分,共40分.每小题给出的四个选项中,只有一项是符合题目要求的.
1. 双曲线经过点,焦点分别为、,则双曲线的方程为( )
A. B.
C. D.
【答案】D
【解析】由题意知,,所以,
所以双曲线的方程为.
故选:D.
2. 如图,正方体的棱长为1,设,,,则( )
A. 1B. C. 0D. 2
【答案】A
【解析】由题意可知:,
所以.故选:A.
3. 若点在圆内,则直线与圆C的位置关系为( )
A. 相交B. 相切C. 相离D. 不能确定
【答案】C
【解析】因为点在圆内,
所以,
设圆心到直线的距离为,
则,圆的半径r=1,
因为,所以直线与圆的位置关系为相离.故选:.
4. 在中国古代,人们用圭表测量日影长度来确定节气,一年之中日影最长的一天被定为冬至.从冬至算起,依次有冬至、小寒、大寒、立春、雨水、惊蛰、春分、清明、谷雨、立夏、小满、芒种这十二个节气,其日影长依次成等差数列,若冬至、立春、春分日影长之和为31.5尺,小寒、雨水,清明日影长之和为28.5尺,则大寒、惊蛰、谷雨日影长之和为( )
A. 25.5尺B. 34.5尺C. 37.5尺D. 96尺
【答案】A
【解析】设从冬至日起,小寒、大寒、立春、雨水、惊蛰、春分、清明、谷雨、立夏、小满、芒种这十二个节气其日影长依次成等差数列{},如冬至日的日影长为尺,
设公差为尺.
由题可知,所以,
,,
,故选:A.
5. 过抛物线的焦点作直线l,交抛物线于A、B两点.若线段的中点横坐标为2,则( )
A. 3B. 4C. 5D. 6
【答案】C
【解析】由题意,所以.故选:C.
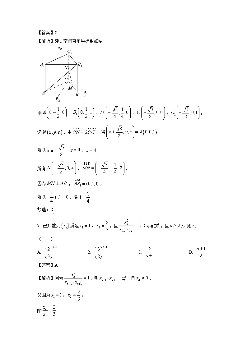
6. 如图,正三棱柱的棱长都是1,M是的中点,(),且,则( )
A. B. C. D.
【答案】C
【解析】建立空间直角坐标系如图,
则,,,,,
设,由,得,
所以,,,
所有,,
因为,,
所以,得
故选:C
7. 已知数列满足,,且(,且),则( )
A. B. C. D.
【答案】A
【解析】因为,则,且,
又因为,,
即,
可知数列是以首项为1,公比为的等比数列,所以.
故选:A.
8. 定义:两条异面直线之间的距离是指其中一条直线上任意一点到另一条直线距离的最小值.在棱长为1的正方体中,直线AC与之间的距离是( )
A. B. C. D.
【答案】D
【解析】解法1:设是上任意一点,过作,垂足为,
设,,
则
,
,
由题意可知:,
因为,则,
可得,则,
所以
,
当且仅当时,等号成立,
所以直线与之间距离是;
解法2:以DA,DC,为x,y,z轴建立空间直角坐标系,
则A1,0,0,,,,
可得,,
设,且,,则,
取,则,,可得,
则在上的投影就是两异面直线间的距离.
故选:D.
二、选择题:本题共4小题,每小题5分,共20分.在每小题给出的选项中,有多项符合题目要求.全部选对的得5分,部分选对的得2分,有选错的得0分.
9. 如果,,那么直线经过( )
A. 第一象限B. 第二象限
C. 第三象限D. 第四象限
【答案】ACD
【解析】因为,故,故直线的斜截式方程为:,
因为,,故,,
故直线经过第一象限、第三象限、第四象限.
故选:ACD.
10. 已知角,则方程可能表示下列哪些曲线( )
A. 椭圆B. 双曲线
C. 圆D. 两条直线
【答案】ABCD
【解析】当时,则,即,
方程可化为,表示双曲线,故B正确;
当时,则,
方程可化为,表示两条直线,故D正确;
当时,则,即
方程可化为,表示焦点在轴上的椭圆,故A正确;
当时,则,
方程可化为,表示圆,故C正确.
故选:ABCD.
11. 一条光线从点射出,经x轴反射后,与圆C:相切,在下列方程中,不是反射光线所在直线方程的是( )
A. B.
C. D.
【答案】AD
【解析】反射光线所在直线经过点A关于轴对称的点,圆C的圆心,半径为1,
显然反射光线斜率存在,设反射光线所在直线方程为,
因为反射光线与圆C相切,
所以,解得,,
代入方程得,,
即反射光线所在直线方程,.
故选:AD.
12. 数列满足:,,,下列说法正确的是( )
A. 数列为等比数列B.
C. 数列是递减数列D. 的前项和
【答案】AB
【解析】数列满足:,,,
,,
,
数列为首项为,公比为3的等比数列,故正确;
,,故正确;
数列是递增数列,故错误;
数列的前项和为:,
的前项和,故错误.
故选:AB.
三、填空题:本大题共4小题,每小题5分,共20分.
13. 已知圆与圆,则两圆心之间的距离为________.
【答案】5
【解析】由题意可知:两圆心坐标分别为,,
所以两圆心之间的距离为.
故答案:5.
14. 是双曲线上一点,点,分别是双曲线左右焦点,若,则______.
【答案】9
【解析】是双曲线上一点,所以,
所以,
由双曲线定义可知,
所以或者,又,所以,
故答案为:9.
15. 已知数列满足:,则________.
【答案】
【解析】设,bn的前项和为,则,
当时,,即,
当时,,满足题意,所以,.故答案为:.
16. 已知椭圆:的左右焦点分别为,,点在上,点在轴上,,,则的离心率为______.
【答案】
【解析】令椭圆:的半焦距为c,设,则,
由点在轴上,,得,而,,
因此,即,解得,
在中,,
在中,由余弦定理得,
即,整理得,,
所以的离心率为.
故答案为:
四、解答题:本大题共6小题,共70分.解答应写出必要的文字说明、证明过程或演算步骤.
17. 已知等比数列的前项和为,若,.
(1)求数列的通项公式;
(2)若,求数列的前项和.
解:(1)由题意可知
解得
所以数列的通项公式为.
(2)
数列的前项和.
18. 已知圆与相交于A、B两点,
(1)求的长;
(2)求圆心在直线上,且经过A,B两点的圆的方程.
解:(1)两圆方程相减得即,
圆的圆心为,半径为2,圆心到直线的距离为,由垂径定理得.
(2)由得或,不妨设,,
的垂直平分线为,由得圆心坐标为,半径长为,
所以圆的方程为.
19. 已知点和圆Q:,过点P作圆Q的两条切线,切点分别为A、B,
(1)求切线的长;
(2)求直线的方程.
解:(1)圆的圆心为,半径,,
因为
故
所以,的长都是.
(2)因为,,所以A、B都在以为直径的圆上,
圆心为的中点,半径长为,
所以圆的方程为,即,
由得,故直线的方程为.
20. 如图,在四棱锥中,底面,四边形是直角梯形,,,点在棱上.
(1)证明:平面平面;
(2)当时,求二面角的余弦值.
解:(1)因为底面,平面,
所以.
四边形是直角梯形,,,
因为,
所以.
所以,
所以.
又因为,平面,
所以平面.
又平面,所以平面平面.
(2)解法一:
以点为原点,所在直线分别为轴,轴,轴,建立如图所示的空间直角坐标系,则.
设点的坐标为,因为,所以,
即,所以.
所以.
设平面的一个法向量为,则,
取,则,得.
又因为平面,所以平面的一个法向量为.
设平面与平面的夹角为,
则.
所以,二面角的余弦值为.
解法二:
取的中点,连接,以点为原点,所在直线分别为轴,轴,轴,建立如图所示的空间直角坐标系,
则.
设点的坐标为,因为,所以,
即,所以.
所以.
设平面的一个法向量为,则.
取,则,则.
又因为平面,所以平面的一个法向量为.
设平面与平面的夹角为,
则.
所以二面角的余弦值为.
21. 已知某条河上有抛物线型拱桥,当水面距拱顶5米时,水面宽8米,一条木船宽4米,木船露出水面上的部分高为0.75米.
(1)建立适当的坐标系,求拱桥所在抛物线的方程;
(2)当水面上涨0.5米时,木船能否通行?
(3)当水面上涨多少米时,木船开始不能通行?
解:(1)以拱顶为原点,拱桥的对称轴为轴建立直角坐标系.如图所示
设抛物线的方程为,则
点在抛物线上,代入方程得,
所以抛物线的方程为.
(2)当水面上涨0.5米时,木船与拱顶的距离为3.75米,
设,代入方程得,故,
则,
所以木船能通行;
(3)假设当水面上涨米时,木船开始不能通行,此时木船与拱桥接触,且与拱顶的距离为,
把代入方程,得,
故,由,得.
所以当水面上涨3米时,木船开始不能通行.
22. 已知椭圆:()的上顶点为A,离心率为.抛物线:截x轴所得的线段长为的长半轴长.
(1)求椭圆的方程;
(2)过原点的直线l与相交于B,C两点,直线分别与相交于P,Q两点.
①证明:直线与直线的斜率之积为定值;
②记和的面积分别是,,求的最小值.
解:(1)已知抛物线:中,
令,解得,所以,
因为,所以,从而,
∴椭圆的方程为:.
(2)①直线斜率显然存在,设方程为.
由,整理得,
设,,则,,,
由已知,所以的斜率分别为,
,故,
所以直线与直线的斜率之积为定值;
②设直线AB:,显然,由,解得:或,
∴,则,
由①知,直线:,则,
由,得,解得或,
,则,
由①知,直线:,,
则
,
当且仅当时等号成立,即最小值为.
相关试卷
这是一份2023~2024学年广东省茂名市高州市高二(上)期末教学质量监测数学试卷(解析版),共15页。试卷主要包含了本卷主要考查内容等内容,欢迎下载使用。
这是一份2024~2025学年广东省茂名市电白区高一(上)期中数学试卷(含答案),共10页。
这是一份2024~2025学年广东省茂名市电白区高二(上)期中数学试卷(含答案),共12页。

