还剩7页未读,
继续阅读
所属成套资源:备战2025年高考数学二轮复习课件专题
成套系列资料,整套一键下载
备战2025年高考数学二轮复习课件专题1函数与导数专题突破练4利用导数求参数的值或范围
展开
这是一份备战2025年高考数学二轮复习课件专题1函数与导数专题突破练4利用导数求参数的值或范围,共14页。
1.(17分)(2024江苏徐州一模)已知函数f(x)=x2+ax-ln x,a∈R.(1)若函数y=f(x)-2x2在(0,2]上单调递减,求a的取值范围;(2)若直线y=ex与函数f(x)的图象相切,求a的值.
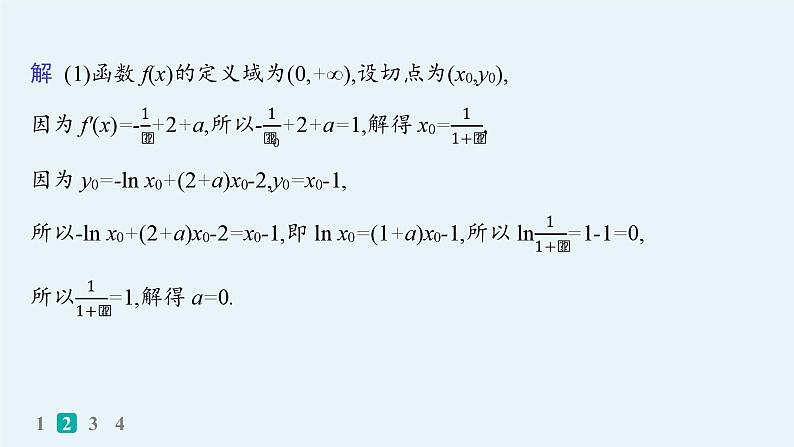
2.(17分)(2024北京延庆一模)已知函数f(x)=-ln x+(2+a)x-2.(1)若曲线y=f(x)的一条切线方程为y=x-1,求a的值;(2)若函数f(x)在区间(1,2)内单调递增,求a的取值范围;(3)若∀x∈( ,+∞),f(x)无零点,求a的取值范围.
3.(17分)(2024福建泉州模拟)已知函数f(x)=ln x-mx2+(1-2m)x+1.(1)若m=1,求f(x)的极值;(2)若对于任意x>0,f(x)≤0恒成立,求整数m的最小值.
4.(17分)(2024青海西宁模拟)已知函数f(x)= -x+aln x存在两个极值点x1,x2.(1)求a的取值范围;(2)求f(x1)+f(x2)-3a的最小值.
相关课件
备战2025年高考数学二轮复习课件专题1函数与导数专题突破练1函数的图象与性质:
这是一份备战2025年高考数学二轮复习课件专题1函数与导数专题突破练1函数的图象与性质,共40页。PPT课件主要包含了ABD,ABC,BCD,②③④等内容,欢迎下载使用。
备战2025年高考数学二轮复习课件专题1函数与导数专题突破练5利用导数证明问题:
这是一份备战2025年高考数学二轮复习课件专题1函数与导数专题突破练5利用导数证明问题,共16页。
备战2025年高考数学二轮复习课件专题1函数与导数专题突破练6利用导数研究函数的零点:
这是一份备战2025年高考数学二轮复习课件专题1函数与导数专题突破练6利用导数研究函数的零点,共13页。

