2025届山东省名校考试联盟高三(上)期中检测数学试卷(解析版)
展开
这是一份2025届山东省名校考试联盟高三(上)期中检测数学试卷(解析版),共17页。试卷主要包含了选择题,填空题,解答题等内容,欢迎下载使用。
1. 已知集合,,则( )
A. B.
C. D.
【答案】C
【解析】因为,
,
所以,
故选:C
2. 若(为虚数单位)是关于的方程的一个根,则( )
A. 0B. 2C. 3D. 4
【答案】B
【解析】因为(为虚数单位)是关于的方程的一个根
所以,也是关于的方程的一个根,
所以,由韦达定理得:,
所以,.
故选:B
3. 已知向量,不共线,,,若,,三点共线,则( )
A. B. .C. 1D. 2
【答案】D
【解析】由于,,三点共线,所以与共线.
存在实数,使得,即.
因为,不共线,根据向量相等的性质,若,则.
由,将其代入可得.故选:D.
4. 设,,则使成立的一个充分不必要条件是( )
A. B. C. D.
【答案】B
【解析】对于A,,故是的充要条件;
对于B,由得,能推出,则充分性成立,反之不成立,则必要性不成立,所以是的充分不必要条件;
对于C,由无法得到,之间的大小关系,则充分性不成立,反之也是,则必要性不成立,所以是的既不充分也不必要条件;
对于D,由不能推出,则充分性不成立,反之不成立,则必要性不成立,所以是的既不充分也不必要条件.
故选:B.
5. 已知数列满足,,则数列的前8项和为( )
A. B. C. D.
【答案】A
【解析】已知,等式两边同时除以,得到.
因为,所以,那么数列是以为首项,为公差的等差数列.
得,则.
.
求数列的前项和
.
故选:A.
6. 若,,且,,则( )
A. B. C. D.
【答案】C
【解析】因,所以.又,所以.
根据,得,同时也能确定.
因为,,,所以.
.
将转化为.
所以
因为,,所以.
在这个区间内,时,.
故选:C.
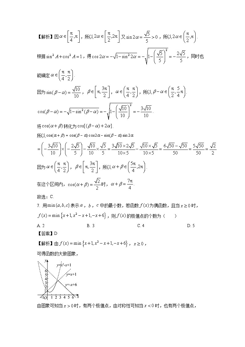
7. 用表示,,中的最小数,若函数为偶函数,且当时,,则的极值点的个数为( )
A. 2B. 3C. 4D. 5
【答案】D
【解析】由,,
可得函数的大致图象,
由图象可知当时,有两个极值点,由对称性可知当时,也有两个极值点,
同时由图象可知:也是极值点,
所以共有5个极值点.
故选:D
8. 若定义在上的函数满足,是奇函数,,则( )
A. 2B. 3C. 4D. 5
【答案】D
【解析】根据,以代换得:,所以,可知函数的周期为4,
因为是上的奇函数,所以,即关于点对称,
于是,,
由,取得,即,
则,因此,取,得,
于是
,
因此,.
故选:D.
二、选择题:本题共3小题,每小题6分,共18分.在每个小题给出的选项中,有多项符合题目要求.全部选对的得6分,部分选对的得部分分,有选错的得0分.
9. 已知函数,两条相邻对称轴之间的距离为,且,则( )
A. B.
C. 关于对称D. 在上单调递增
【答案】ABD
【解析】因为函数的两条相邻对称轴之间的距离为,
所以,则,即,故A正确;
此时,
又,则,
即,因为,所以,故B正确;
此时,
因为,所以关于对称,故C错误;
当时,,
因为函数在上单调递增,
所以在上单调递增,故D正确.
故选:ABD.
10. 记内角,,的对边分别为,,,已知,,若为的外心,则( )
A. B.
C. D.
【答案】AC
【解析】的外心即为外接圆的圆心,即三边中垂线的交点,
所以,故A正确;
取的中点,连接,所以,故C正确;
因为
,故B错误;
因为为的外心,
则可设的外接圆半径为,,,
,故,
同理,,
又,
即.
所以,
即,故D错误;
其中(奔驰定理)的证明如下:
如图延长与边相交于点则
所以,
又,
又,
所以,
所以,
所以.故选:AC.
11. 如图,已知正方体的棱长为2,,分别为,的中点,点为上一动点,则( )
A. 存在点使得
B. 的最小值为
C. 以为直径的球面与正方体每条棱的交点总数为12
D. 已知球为正方体的内切球,若在正方体内部与球外部之间的空隙处放入一个小球,则放入的小球体积最大值为
【答案】BCD
【解析】对于A:
由题意可知:,取中点,
所以,
因为为直角三角形,
同时为等腰直角三角形,,
所以当在运动中时,,,
所以,,故A错;
对于B:
由对称性得,即求,在面中,
,故B对;
对于C:因为以为直径的球的球心为正方体中心,半径为,而正方体中心到各棱距离均为,
所以该球与正方体12条棱均相切,所以有12个交点,故C对;
对于D:因为体积最大的小球为小球与正方体和球均相切时取到.研究截面,分别过和小球球心作的垂线,垂足分别为,,则,
因为球与小球相切,球半径为1,设小球的半径为,则,
所以,所以小球体积最大值为,故D对.
故选:BCD.
三、填空题:本题共3小题,每小题5分,共15分.
12. 已知函数则________.
【答案】
【解析】因为
所以.
13. 数列的前项和为,且满足,,则________.
【答案】1
【解析】由题意可知①,②,③
将①②式相加可得,与③式相减可得,则1.
14. 已知函数,曲线在不同的三点处的切线斜率均为3,则实数的取值范围是________.
【答案】
【解析】因为函数图象在不同的三点处的切线斜率均为3,
所以有三个不同的根,即有三个不同的根,
转化为函数图象和函数图象有三个不同的交点,
下面分析函数图象,,
令,解得或,
当时,,函数单调递增;
当时,,函数单调递减;
当时,,函数单调递增;
当时,,且;当时,.
函数图象如图所示
结合图象可知,的取值范围是.
四、解答题:本题共5小题,共77分.解答应写出文字说明、证明过程或演算步骤.
15. 如图,在四棱锥中,平面平面,,,,,,点在棱上,且.
(1)求证:平面平面;
(2)求平面与平面所成角的大小.
(1)证明:方法1:
因为,,所以,所以,即.
又因为面面,面交面于,因为,,所以,因为面,所以面,因为面,所以.
因为,,交于,所以面.
连接,交于,连接,因为,,所以,
又因为,所以,所以,
因为面,所以面,因为平面,所以面平面.
方法2:
取中点,连接,,因,所以,
又因为面面,面交面于,所以面,因为,,所以,又因为,,所以四边形为矩形,则.
以为原点建系如图,,,,,所以,,,
因为点在棱上且,所以,
则,
设,分别为平面和平面的法向量,
则,令,则,,所以,
,令,则,,所以,
所以,所以,所以平面平面.
方法3:
若取为原点,,方向为,轴正方向,则坐标为,,,,,平面和平面的法向量分别为,,所以,所以,所以平面平面.
(2)解:方法1:
取中点,连接,,因为,所以,又因为面面,面交面于,所以面,
因为面,所以.
因为,,,所以四边形为正方形,所以.
又因为交于,所以面,
因为面,
所以,所以即为平面与平面所成角,
因为,,所以,.
所以平面与平面所成角为.
方法2:
设为平面的法向量,所以,令,则,,所以,因为面,,
所以,所以平面与平面所成角为.
方法3:
平面的法向量,.
所以,
所以平面与平面所成角为.
方法4:
投影面积法:取中点,连接,,因为,所以,又因为面面,面交面于,所以面,设为平面与平面所成角,所以,所以.
16. 已知锐角的内角,,的对边分别为,,,且,角的平分线交于,.
(1)求;
(2)求的取值范围.
解:(1)在中,,
利用正弦定理得,,
所以,
即,
因为,故,即,
因为,所以,所以.
(2)由已知得,,
在中,由正弦定理得,,即,
同理得,.故,
而,
,
因为锐角中,,所以,
故,,,
所以的取值范围为.
17. 将个实数排成行列的数阵形式如下;
(1)当时,若每一行每一列均构成等差数列,且,求该数阵中所有数的和;
(2)若,且每一行均为公差相同的等差数列,每一列均为公比为的等比数列.已知,,,设,求的值.
解:(1)由题意,且每一行都成等差数列则有:
,
,……,,
则有,
又因为每一列成等差数列,故有,
即.
(2)由题意每一行均为等差数列,设第二行的公差为,
则有,故,
从而可得第二行的通项公式,
所以,又因为每一列均为公比为的等比数列,且,
又因为,故,
即有,从而有,
故
所以
即.
18. 已知函数.
(1)求曲线在点处的切线方程;
(2)当时,讨论的单调性;
(3)当时,,求的取值范围.
解:(1)由题意可知,
,则,
故曲线在点处的切线方程为.
(2)当时,.则.
当时,,
此时.
当时,.
故在上恒成立.
再由可知为偶函数,于是在R上恒成立.故在R上单调递增.
(3)当时,符合题意.
当时,由可得.
令,则.
令,则.
令,则.
令,
当时,,故在上单调递减.
又,则此时.故在上单调递减.
因为,,则存在,使得,于是在上单调递增,在上单调递减.由于,,则当时,,此时.因此在上单调递增.
故当时,.
令,,则.
当时,,则在上单调递增,此时.故当时,.
故在上恒成立.
因此的取值范围为.
19. 已知集合,集合,记的元素个数为.若集合中存在三个元素,,,使得,则称为“理想集”.
(1)若,分别判断集合,是否为“理想集”(不需要说明理由);
(2)若,写出所有的“理想集”的个数并列举;
(3)若,证明:集合必为“理想集”.
解:(1)不是“理想集”,是“理想集”.
由题意,令,则;
令,则;令,则;
令,则;所以不是“理想集”.
令,则,所以是“理想集”.
(2)共16个“理想集”.
若,有.
当时,若,则,由可知,故或;
若,则,由可知,则,故.
故含有三个元素的“理想集”,或,共3个.
当时,,,,,,,或,共7个.
当时,,,,,,共5个.
当时,,共1个.
综上所述,所有“理想集”的个数为16个分别为:,,,,,,,,,,,,,,,.
(3)若,记且
利用反证法,假设对于中任意三个元素,,,均有,
则,,,…,.
记,于是,则.
因此,矛盾.
故集合必为“理想集”.
相关试卷
这是一份2025届辽宁省名校联合体高三(上)期中检测数学试卷(解析版),共11页。试卷主要包含了单项选择题,多项选择题,填空题,解答题等内容,欢迎下载使用。
这是一份青海省名校联盟2024~2025学年高三(上)期中联考数学试卷(含解析),共9页。
这是一份福建省名校联盟部分中学2025届高三(上)期中质量检测数学试卷(含答案),共10页。

