所属成套资源:天津专用【黄金 8 卷】备战 2025 高考数学模拟卷
- 备战 2025 天津高考数学模拟卷二 试卷 0 次下载
- 备战 2025 天津高考数学模拟卷五 试卷 0 次下载
- 备战 2025 天津高考数学模拟卷四 试卷 0 次下载
备战 2025 天津高考数学模拟卷三
展开
这是一份备战 2025 天津高考数学模拟卷三,文件包含黄金卷03天津专用-赢在高考·黄金8卷备战2025年高考数学模拟卷解析版docx、黄金卷03天津专用-赢在高考·黄金8卷备战2025年高考数学模拟卷参考答案docx、黄金卷03天津专用-赢在高考·黄金8卷备战2025年高考数学模拟卷考试版docx等3份试卷配套教学资源,其中试卷共28页, 欢迎下载使用。
第Ⅰ卷
注意事项:
1.每小题选出答案后,用铅笔将答题卡上对应题目的答案标号涂黑,如需改动,用橡皮擦干净后,再选涂其他答案标号,
2,本卷共9小题,每小题5分,共45分
参考公式:
•如果事件A、B互斥,那么.
•如果事件A、B相互独立,那么.
•球的体积公式,其中R表示球的半径.
•圆锥的体积公式,其中S表示圆锥的底面面积,h表示圆锥的高。
一、单项选择题:本题共9小题,每小题5分,共45分,在每小题给出的四个选项中,只有一项是符合要求的。
1.已知集合,则( )
A.-1,1B.C.D.0,2
2.“”是“函数在区间上单调递增”的( )
A.充分不必要条件B.必要不充分条件
C.充要条件D.既不充分又不必要条件
3.已知,,,则( )
A.B.C.D.
4.函数的部分图象大致是( )
A.B.
C.D.
5.下列说法错误的是( )
A.线性相关系数越接近1,两个变量的线性相关程度越强;
B.独立性检验可以100%确定两个变量之间是否具有某种关系;
C.在回归分析中,可用残差图判断模型的拟合效果,残差点比较均匀地落在水平的带状区域中,说明这样的模型比较合适,带状区域的宽度越窄,说明模型的拟合精度越高;
D.甲、乙两个模型的决定系数分别约为0.88和0.80,则模型甲的拟合效果更好.
6.数列an中,,,且(),则为( )
A.2B.1C.D.
7.函数,其中,其最小正周期为,则下列说法中错误的个数是( )
①
②函数图象关于点对称
③函数图象向右移个单位后,图象关于轴对称,则的最小值为
④若,则函数的最大值为
A.1B.2C.3D.4
8.焦点在轴上的双曲线与双曲线有相同的渐近线,过点的直线与双曲线交于两点,若线段的中点是,则双曲线的离心率为( )
A.B.C.D.
9.若函数,恰有3个零点,则实数a的取值范围为( )
A.B.
C.D.
第II卷
注意事项
1.用黑色墨水的钢笔或签字笔将答案写在答题卡上.
2.本卷共11小题,共105分.
二、填空题,本大题共6小题,每小题5分,共30分,试题中包含两个空的,答对1个的给3分,全部答对的给5分。
10.已知复数满足,则 .
11.已知二项式展开式中各项二项式系数的和为16,则 ,展开式中的常数项为 .
12.已知圆:与圆:交于A,B两点,当变化时,的最小值为,则 .
13.设5支枪中有2支未经试射校正,3支已校正.一射手用校正过的枪射击,中靶率为0.9,用未校正过的枪射击,中靶率为0.4.
(1)该射手任取一支枪射击,中靶的概率是 .
(2)若任取一支枪射击,结果未中靶,求该枪未校正的概率为 .
14.已知关于的不等式的解集为,其中,则的最小值为 .
15.在边长为1的正方形中,点为线段的三等分点,,则 ;为线段上的动点,为中点,则的取值范围为 .
解答题,本大题共5小题,共75分,解答应写出文字说明,证明过程成演算步骤。
16.在中,内角A、、的对边分别为,,,.
(1)求角的大小;
(2)若,.求:
(ⅰ)面积和边长;
(ⅱ)的值.
17.如图,已知在四棱锥中,平面,四边形为直角梯形,,,点是棱上靠近端的三等分点,点是棱上一点.
(1)证明:平面;
(2)求点到平面的距离;
(3)求平面与平面夹角的余弦值.
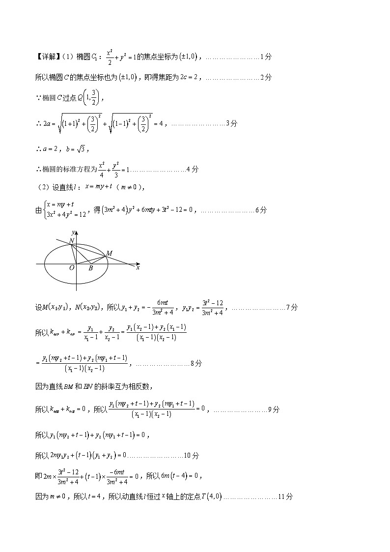
18.椭圆与椭圆:有相同的焦点,且经过点.
(1)求椭圆的方程;
(2)椭圆的右焦点为,设动直线与坐标轴不垂直,与椭圆交于不同的,两点,且直线和的斜率互为相反数.
①证明:动直线恒过轴上的某个定点,并求出该定点的坐标;
②求面积的最大值.
19.已知数列满足: 且
(1)设 证明:是等比数列;
(2)设 ,证明:
20.已知函数.
(1)当时,求的最小值;
(2)当时,求零点的个数;
(3)当时,,求的取值范围.
相关试卷
这是一份备战 2025 江苏高考数学模拟卷三,文件包含黄金卷03解析版docx、黄金卷03考试版docx、黄金卷03参考答案docx等3份试卷配套教学资源,其中试卷共26页, 欢迎下载使用。
这是一份备战 2025 高考数学模拟卷三,文件包含黄金卷03广东专用-赢在高考·黄金8卷备战2025年高考数学模拟卷解析版docx、黄金卷03广东专用-赢在高考·黄金8卷备战2025年高考数学模拟卷参考答案docx、黄金卷03广东专用-赢在高考·黄金8卷备战2025年高考数学模拟卷考试版docx等3份试卷配套教学资源,其中试卷共31页, 欢迎下载使用。
这是一份备战 2025 上海高考数学模拟卷三,文件包含黄金卷03解析版docx、黄金卷03参考答案docx、黄金卷03考试版docx等3份试卷配套教学资源,其中试卷共28页, 欢迎下载使用。

