资料中包含下列文件,点击文件名可预览资料内容
还剩2页未读,
继续阅读
上海市淞谊中学2024-2025学年上学期七年级数学期中检测试卷
展开
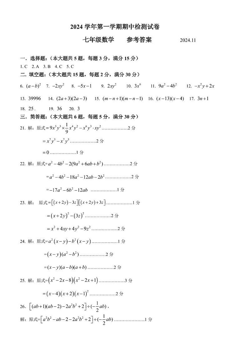
这是一份上海市淞谊中学2024-2025学年上学期七年级数学期中检测试卷,文件包含2024学年第一学期淞谊中学七年级数学期中检测试卷参考答案pdf、2024学年第一学期淞谊中学七年级期中数学pdf等2份试卷配套教学资源,其中试卷共7页, 欢迎下载使用。
相关试卷
2024-2025学年上海市宝山区淞谊中学七年级(上)第一次段考数学试卷(含解析):
这是一份2024-2025学年上海市宝山区淞谊中学七年级(上)第一次段考数学试卷(含解析),共15页。试卷主要包含了下列代数式是一次式的是,下列单项式中,与是同类项的是,按一定规律排列的单项式,下列运算结果中,正确的是,单项式的次数是 ,用代数式表示,将整式按字母降幂排列是 等内容,欢迎下载使用。
2024年上海市宝山区淞谊中学数学九上开学检测模拟试题【含答案】:
这是一份2024年上海市宝山区淞谊中学数学九上开学检测模拟试题【含答案】,共23页。试卷主要包含了选择题,填空题,解答题等内容,欢迎下载使用。
2023-2024学年上海市宝山区淞谊中学九上数学期末检测试题含答案:
这是一份2023-2024学年上海市宝山区淞谊中学九上数学期末检测试题含答案,共8页。试卷主要包含了不等式组的解集在数轴上表示为等内容,欢迎下载使用。

