资料中包含下列文件,点击文件名可预览资料内容
还剩2页未读,
继续阅读
2025届湖北省部分高中高三上学期11月期中联考数学试题
展开
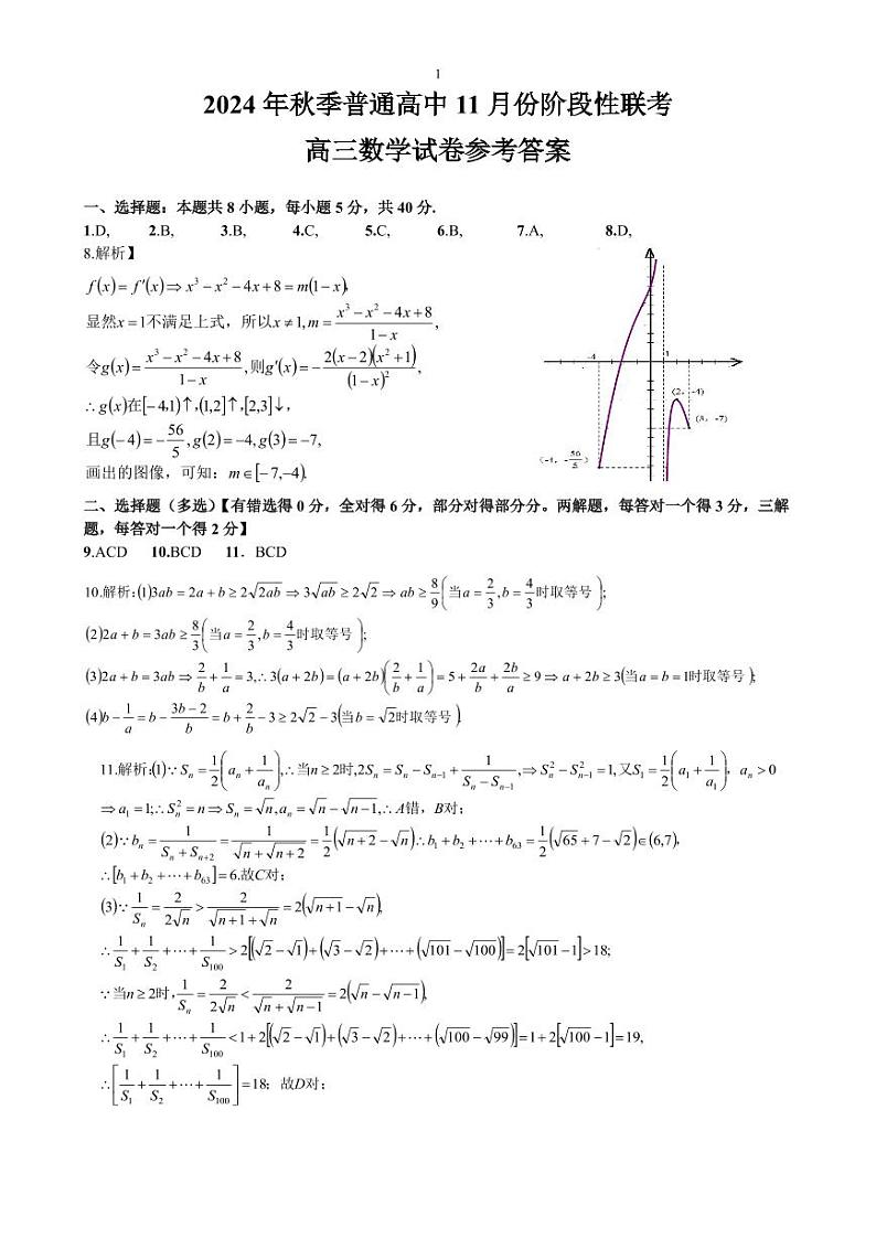
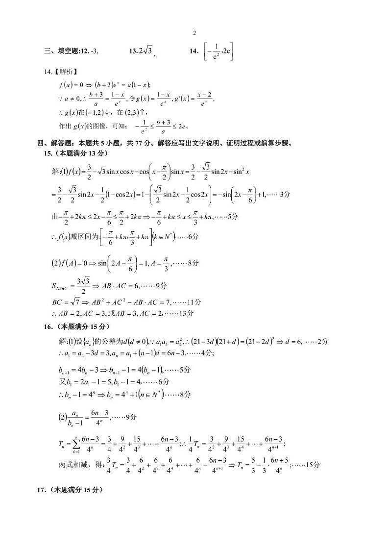
这是一份2025届湖北省部分高中高三上学期11月期中联考数学试题,文件包含2024年秋季普通高中11月份阶段性联考答案高清图片docx、15校高三数学答案定稿11pdf等2份试卷配套教学资源,其中试卷共8页, 欢迎下载使用。
相关试卷
湖北省部分名校2023-2024学年高三上学期11月期中联考数学试题:
这是一份湖北省部分名校2023-2024学年高三上学期11月期中联考数学试题,共9页。试卷主要包含了 记为等差数列前项和,若,则, 函数在区间有, 已知椭圆, 已知,且,,,则等内容,欢迎下载使用。
2024湖北省部分高中联考协作体高二上学期期中联考数学试题含解析:
这是一份2024湖北省部分高中联考协作体高二上学期期中联考数学试题含解析,文件包含湖北省部分高中联考协作体2023-2024学年高二上学期期中联考数学试题含解析docx、湖北省部分高中联考协作体2023-2024学年高二上学期期中联考数学试题无答案docx等2份试卷配套教学资源,其中试卷共28页, 欢迎下载使用。
2024湖北省部分高中高三上学期10月联考数学试题含解析:
这是一份2024湖北省部分高中高三上学期10月联考数学试题含解析,共35页。试卷主要包含了本试卷主要考试内容, 已知,化简的结果是等内容,欢迎下载使用。

