[数学][期末]江苏省苏州市2023-2024学年八年级上学期期末模拟试题(解析版)
展开一、选择题(本大题共8小题,每小题4分,共32分.)
1. 如图,下列图案中,是轴对称图形的是( )
A. ①②B. ①③C. ①④D. ②③
【答案】C
【解析】①是轴对称图形,②不是轴对称图形,③不是轴对称图形,④是轴对称图形,
故①④是轴对称图形,
2. 的平方根是( )
A. B. C. D.
【答案】C
【解析】因为±2的平方等于4,所以4的平方根是:±2,所以选C.
3. 一只小虫从点出发,向右跳4个单位长度到达点B处,则点B的坐标是( )
A. B. C. D.
【答案】B
【解析】小虫从点出发,向右跳4个单位长度到达点B处,
点B的坐标是,即
4. 对估算正确的是( )
A. B. C. D.
【答案】C
【解析】,
5. 已知点和点都在直线上,若,则的关系( )
A. B. C. D. 不能比较
【答案】C
【解析】∵在中,,
∴在中y随x增大而增大,
∵点和点都在直线上,且,∴
6. 如图,四边形内接于,为的直径,,,D为弧的中点,M是弦上任意一点(不与端点A、C重合),连接,则的最小值是( )
A. B. C. D. 4
【答案】A
【解析】过点作于,过点作于,连接,
为的直径,
,
,
,
,
,
,
,
的最小值为的长,
为弧的中点,
,
在中,,
,
的最小值为
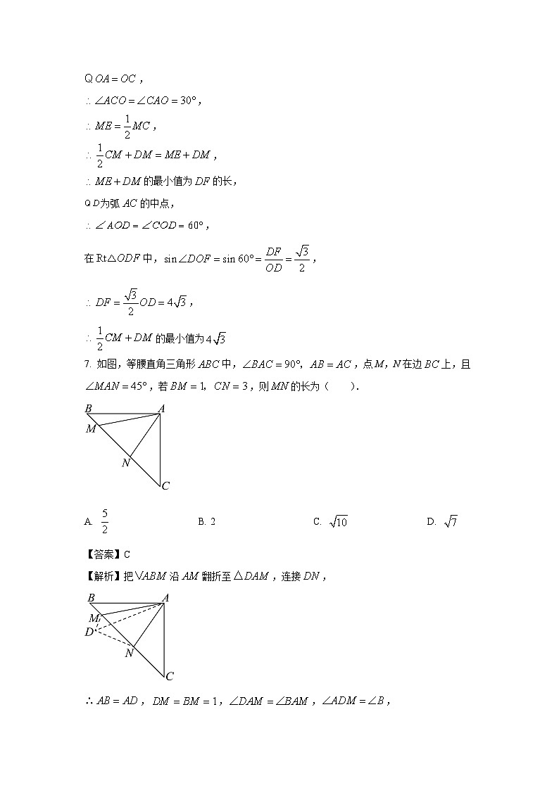
7. 如图,等腰直角三角形中,,点M,N在边上,且,若,则的长为( ).
A. B. 2C. D.
【答案】C
【解析】把沿翻折至,连接,
∴,,,,
又∵,
∴,
∵,
,
∴,
又∵,
∴,
∴, ,
∴,
在中, ,
8. 如图1,在矩形中,动点R从点N出发,沿方向运动至点M处停止.设点R运动的路程为x,的面积为y,如果y关于x的函数图象如图2所示,则矩形的周长是( )
A. 11B. 15C. 16D. 18
【答案】D
【解析】由图形可知,,
周长为.
二、填空题(本大题共6小题,每小题4分,共24分.)
9. 在π,-2,,,0.5757757775…(相邻两个5之间的7的个数逐次加1)中,无理数有____个.
【答案】3.
【解析】在π,-2,,,0.5757757775…(相邻两个5之间的7的个数逐次加1)中,无理数有π,-2,0.5757757775…(相邻两个5之间的7的个数逐次加1)共3个
10. 若点P(3m,2)在y轴上,则m=_______.
【答案】3
【解析】∵点P(3m,2)在y轴上,
∴3-m=0,∴m=3
11. 已知关于的一次函数的图象经过点,则______.
【答案】
【解析】关于的一次函数的图象经过点,
解得:.
12. 如图,已知,,,则__________.
【答案】
【解析】,,
,.
13. 写出同时具备下列两个条件的一次函数关系式_____.(写出一个即可)
(1)y随x的增大而减小;(2)图象经过点(1,﹣2).
【答案】y=-x-1(答案不唯一)
【解析】∵当y随着x的增大而减小时,∴k<0,
∴可设一次函数的解析式为:y=-x+b,
∴将点(1,-2)代入得-2=-1+b,
解得b=-1,
∴y=-x-1
14. 如图,正比例函数 y=kx(k≠0)的图像经过点 A(2,4),AB⊥x 轴于点 B,将△ABO 绕点 A逆时针旋转 90°得到△ADC,则直线 AC 的函数表达式为_____.
【答案】y=-0.5x+5
【解析】∵正比例函数y=kx(k≠0)经过点A(2,4)
∴4=2k,解得:k=2,∴y=2x;
∵A(2,4),AB⊥x轴于点B,
∴OB=2,AB=4,
∵△ABO绕点A逆时针旋转90°得到△ADC,
∴DC=OB=2,AD=AB=4
∴C(6,2)
设直线AC的解析式为y=ax+b,
把(2,4)(6,2)代入解析式可得:,解得:,
所以解析式为:y=-0.5x+5
三、解答题(共66分.)
15. 计算:
解:,
,
,
.
16. 如图所示的一块土地,测量得,求这块土地的面积.
解:连接,
∵,
∴,
∵,,
∴,
∴是直角三角形,且,
∴这块土地的面积
,
答:这块土地的面积是.
17. 已知y=,其中与x成正比例,与x﹣2成正比例,且当x=﹣1时,y=2;当x=2时,y=5,求y与x之间的函数表达式.
解:设=mx,=n(x﹣2),则y=mx+n(x﹣2),
根据题意得
,解得:,
所以y与x函数表达式为y=(x﹣2)=x+3,
即y=x+3.
18. 如图,中,,垂直平分,交于点F,交于点E,且.
(1)若,求的度数:
(2)若周长,求长.
解:(1),,
∴垂直平分,
∴,∴,
∴,
∵垂直平分,
∴,,
∵,
;
(2)周长,,
,
∵,
∴,即,
.
19. 如图,已知O为坐标原点,四边形OABC为长方形,A(10,0),C(0,4),点D是OA的中点,点P在BC上运动.
(1)当△ODP是等腰三角形时,请直接写出点P的坐标;
(2)求△ODP周长的最小值.(要有适当的图形和说明过程)
解:(1))当P1D=OD=5时,作DF⊥BC,由勾股定理可以求得P1F=3,∴P1C=2,
当P2O=P2D时,作P2E⊥OA,∴OE=ED=2.5;
当P3O=OD=5时,由勾股定理,P3C=3;
当P4D=OD=5时,作P4G⊥OA,由勾股定理,得DG=3,∴OG=8.
∴P1(2,4),P2(2.5,4),P3(3,4),P4(8,4);
(2) 作点D关于BC的对称点D′,连接OD′交BC于P,
则这时的△POD的周长最小,此时△POD的周长=OD′+OD,
∵点D是OA的中点,
∴OD=5,DD′=8,
∴OD′=,
∴△POD的周长=+5.
20. 已知:如图,在长方形中,,,点E为的中点,和相交于点P.求的面积.
小明同学应用所学知识,顺利地解决了此题,他的思路是这样的:建立适当的“平面直角坐标系”,写出图中一些点的坐标.根据“一次函数”的知识求出点P的坐标,从而可求得的面积.请你按照小明的思路解决这道思考题.
解:如图,以点B为原点、为x轴、为y轴建立直角坐标系,
∵四边形为长方形,
∴,,
∵E 为的中点,
∴,,,
设,代入D点坐标得,解得,
∴
设,代入,得到
解得,,
∴,
联立直线、的解析式成方程组,
解得,∴,
∴的面积.
21. 甲、乙两人沿同一直道从A地去B地,甲比乙早出发,乙的速度是甲的2倍.在整个行程中,甲离A地的距离(单位:m)与时间x(单位:)之间的函数关系如图所示.
(1)在图中画出乙离A地的距离(单位:m)与时间x之间的函数图;
(2)若甲比乙晚到达B地,求甲整个行程所用的时间.
解:(1)作图如图所示:
;
(2)设甲整个行程所用的时间为x,甲的速度为v,
∴,解得:,
∴甲整个行程所用的时间为12.
22. 为了做好防疫工作,学校准备购进一批消毒液.已知2瓶A型消毒液和3瓶B型消毒液共需41元,5瓶A型消毒液和2瓶B型消毒液共需53元.
(1)这两种消毒液的单价各是多少元?
(2)学校准备购进这两种消毒液共90瓶,且B型消毒液的数量不少于A型消毒液数量的,请设计出最省钱的购买方案,并求出最少费用.
解:(1)设种消毒液的单价是元,型消毒液的单价是元.
由题意得:,解之得,,
答:种消毒液的单价是7元,型消毒液的单价是9元.
(2)设购进种消毒液瓶,则购进种瓶,购买费用为元.
则,
∴随着的增大而减小,最大时,有最小值.
又,∴.
由于整数,最大值为67,
即当时,最省钱,最少费用为元.
此时,.
最省钱的购买方案是购进种消毒液67瓶,购进种23瓶.
23. 一辆轿车和一辆货车分别从甲、乙两地同时出发,匀速相向而行,相遇后继续前行,已知两车相遇时轿车比货车多行驶了90千米,设行驶的时间为x(小时),两车之间的距离为y(千米),图中的折线表示从两车出发至轿车到达乙地这一过程中y与x之间的函数关系.根据图像提供的信息,解答下列问题:
(1)求线段AB所在直线的函数关系式,并求甲、乙两地的距离;
(2)求两车的速度;
(3)求点C的坐标,并写出点C的实际意义.
解:(1)设直线AB的函数关系式为y=kx+b,
由题意知直线AB过点(2,150)和(3,0),
,解得,
∴直线AB的函数关系式为y=﹣150x+450;
当x=0时,y=450,
∴甲乙两地的距离为450千米.
(2)设轿车的速度为千米/小时,货车的速度为千米/小时.
根据题意得: 3+3=450 且3﹣3=90.解得:=90,=60,
答:轿车和货车速度分别为90千米/小时、60千米/小时.
(3)轿车到达乙地的时间=450÷90=5小时,此时,两车间的距离=(90+60)×(5﹣3)=300千米,
∴点C的坐标为(5,300)
点C的实际意义是轿车出发5小时后到达乙地,此时两车间的距离为300千米.
24. (1)问题背景:如图①:在四边形中,,,.E、F分别是、上的点且.探究图中线段、、之间的数量关系.小明同学探究此问题的方法是:延长到点,使.连接,先证明,再证明,可得出结论,他的结论应是___________;
(2)探索延伸:如图②,若在四边形中,,.分别是、上的点,且,上述结论是否仍然成立?说明理由;
(3)实际应用:如图③,在某次军事演习中,舰艇甲在指挥中心(处)北偏西的处,舰艇乙在指挥中心南偏东的处,并且两舰艇到指挥中心的距离相等,接到行动指令后,舰艇甲向正东方向以海里/小时的速度前进,舰艇乙沿北偏东的方向以海里/小时的速度前进小时后,甲、乙两舰艇分别到达处,此时在指挥中心观测到两舰艇之间的夹角为,试求此时两舰艇之间的距离.
解:(1)问题背景:根据题意,在,中,
∵,∴,
∴,,
∵,,
∴,即,
∴在,中,
∵,
∴,
∴,
∴;
(2)探索延伸:如图所示,延长到点,使,
∵,,
∴,
在,中,,
∴,
∴,
∵,
∴,
∴,
∴,
在,中,
∵,
∴,
∴,
∴,
∴成立;
(3)实际应用:如图所示,延长,使得,连接,
∵舰艇甲在指挥中心(处)北偏西的处,舰艇乙在指挥中心南偏东的处,舰艇乙沿北偏东的方向行驶,
∴,,,
∴在,中,,
∴,
∴,,
∵,
∴,
∴,即,
在,中,,
∴,
∴,
∵舰艇甲向正东方向以海里/小时的速度前进,舰艇乙沿北偏东的方向以海里/小时的速度前进小时,
∴,,
∴(海里),
∴两舰艇之间的距离为海里.
[数学][期末]江苏省徐州市2023-2024学年八年级上学期期末模拟试题(解析版): 这是一份[数学][期末]江苏省徐州市2023-2024学年八年级上学期期末模拟试题(解析版),共14页。试卷主要包含了选择题,填空题,解答题等内容,欢迎下载使用。
[数学][期末]江苏省盐城市2023-2024学年八年级上学期期末模拟试题(解析版): 这是一份[数学][期末]江苏省盐城市2023-2024学年八年级上学期期末模拟试题(解析版),共19页。试卷主要包含了选择题,填空题,解答题等内容,欢迎下载使用。
[数学][期末]江苏省苏州市高新区2023-2024学年八年级上学期期末模拟试题(解析版): 这是一份[数学][期末]江苏省苏州市高新区2023-2024学年八年级上学期期末模拟试题(解析版),共13页。试卷主要包含了选择题,填空题,解答题等内容,欢迎下载使用。

