还剩31页未读,
继续阅读
2025高考数学一轮复习-1.5.1-平面上两点间的距离【课件】
展开
这是一份2025高考数学一轮复习-1.5.1-平面上两点间的距离【课件】,共39页。PPT课件主要包含了知识点1,知识点2,类型1,类型2,类型3等内容,欢迎下载使用。
必备知识·情境导学探新知
关键能力·合作探究释疑难
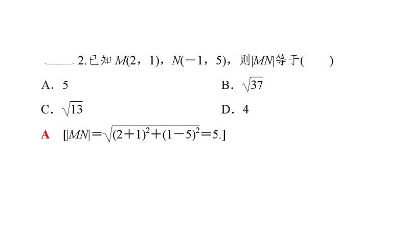
学习效果·课堂评估夯基础
阅读材料·拓展数学大视野
相关课件
2025高考数学一轮复习5.4复数【课件】:
这是一份2025高考数学一轮复习5.4复数【课件】,共57页。PPT课件主要包含了知识诊断基础夯实,复数的有关概念,b=0,b≠0,a=0且b≠0,a=c且b=d,a=cb=-d,复数的几何意义,复数的运算,考点突破题型剖析等内容,欢迎下载使用。
2025年高考数学一轮复习-1.5.1-全称量词与存在量词【课件】:
这是一份2025年高考数学一轮复习-1.5.1-全称量词与存在量词【课件】,共42页。
高中数学苏教版 (2019)选择性必修第一册1.5 平面上的距离教案配套课件ppt:
这是一份高中数学苏教版 (2019)选择性必修第一册1.5 平面上的距离教案配套课件ppt,共7页。PPT课件主要包含了情境问题,学生活动,数学建构,数学应用等内容,欢迎下载使用。

