[数学]福建省漳州市龙文区2024届高三下学期6月模拟预测试题(解析版)
展开1. 已知集合,则( )
A. B.
C. D.
【答案】A
【解析】,
,
因为表示所有的奇数,而表示所有的整数,则,
故选:A.
2. 已知角的顶点与坐标原点重合,始边与轴的非负半轴重合,终边经过点,则( )
A. 0B. C. D.
【答案】B
【解析】由题意可得,则,所以,
所以.
故选:B.
3. 等比数列的前项和为,若,则( )
A. 2B. -2C. 1D. -1
【答案】A
【解析】设等比数列的公比为q,当时,,不合题意;
当时,等比数列前项和公式,
依题意.
故选:A.
4. 一组数据按从小到大的顺序排列为1,4,,12,14,21,若该组数据的中位数是极差的,则该组数据的第45百分位数是( )
A. 4B. 6C. 8D. 12
【答案】D
【解析】由已知可得极差是:,而中位数是极差的,即中位数是,
根据六个数的中位数是:,解得,
故选:D.
5. 已知是边长为1的正三角形,是上一点且,则( )
A. B. C. D. 1
【答案】A
【解析】,,且,
而三点共线,,即,
,
所以.
故选:A.
6. 已知复数满足,且,则( )
A. 1B. C. D.
【答案】D
【解析】设,则由,得,
由,得,即,
所以,化简整理得,得,
所以,得,
所以,
故选:D.
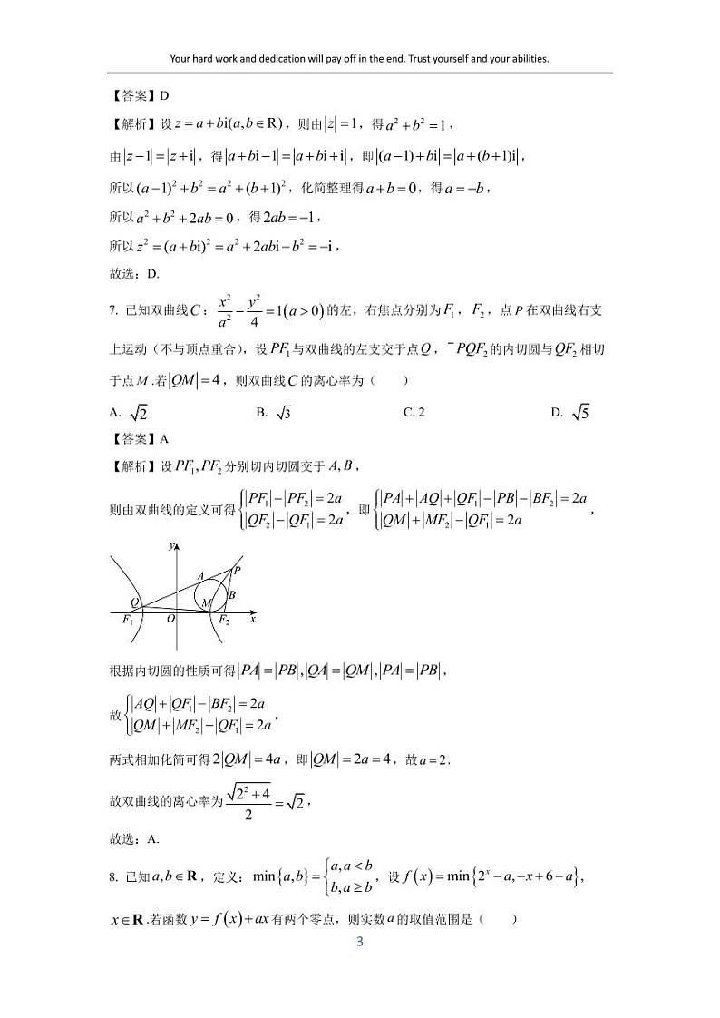
7. 已知双曲线:的左,右焦点分别为,,点在双曲线右支上运动(不与顶点重合),设与双曲线的左支交于点,的内切圆与相切于点.若,则双曲线的离心率为( )
A. B. C. 2D.
【答案】A
【解析】设分别切内切圆交于,
则由双曲线的定义可得,即,
根据内切圆的性质可得,
故,
两式相加化简可得,即,故.
故双曲线的离心率为,
故选:A.
8. 已知,定义:,设.若函数有两个零点,则实数的取值范围是( )
A. B. C. D.
【答案】A
【解析】令函数,显然函数在上单调递增,
而,则当时,,当时,,
于是函数,则,
令函数,由,得,
因此函数的零点,即函数的图象与直线交点的横坐标,
当,恒有,在同一坐标系内作出直线与函数的图象,如图,
观察图象知,当,即时,直线与函数的图象只有一个交点,
如图,直线过点,它与的图象交于两点,当时,,
当,即时,直线与函数的图象只有一个交点,
当,即时,直线与函数的图象有两个交点,
所以函数有两个零点,实数的取值范围是.
故选:A.
二、选择题:本题共3小题,每小题6分,共18分.在每个小题给出的选项中,有多项符合题目要求.全部选对的得6分,部分选对的得部分分,有选错的得0分.
9. 已知是等差数列,是其前n项和,则下列命题为真命题的是( )
A. 若,,则
B. 若,则
C. 若,则
D. 若和都为递增数列,则
【答案】BC
【解析】对于A中,由,,
可得,所以,
又由,所以A错误;
对于B中,由,所以B正确;
对于C中,由,所以,
又因为,则,所以C正确;
对于D中,因为为递增数列,可得公差,
因为为递增数列,可得,
所以对任意的,但的正负不确定,所以D错误.
故选:BC.
10. 存在函数满足:对于任意的,都有( )
A. B.
C. D.
【答案】AC
【解析】对于A,因为 ,
令,所以,故A正确.
对于B,,取和得,,故B错误;
对于C,令,所以,即符合题设,故C正确;
对于D,取,;取,,故D错误.故选:AC.
11. 如图,棱长为2的正方体的内切球为球,分别是棱,的中点,在棱上移动,则( )
A. 对于任意点,平面
B. 直线被球截得的弦长为
C. 过直线的平面截球所得的所有截面圆中,半径最小的圆的面积为
D. 当为的中点时,过的平面截该正方体所得截面的面积为
【答案】BC
【解析】对于A:因为在棱上移动,当与重合时,平面即平面,
因为在直线上,所以平面,所以与平面平面相交,A说法错误;
对于B:以为坐标原点,所在直线分别为轴建立如图所示空间直角坐标系,
则由题意可得,,,,
则,,,
设直线与直线的夹角为,则,
所以,
连接,过作直线的垂线,垂足为,
则在中由解得,
设直线被球截得弦长为,则,B说法正确;
对于C,过直线的平面截球所得的所有截面圆半径最小时,垂直与于过的平面,
此时圆的半径,圆的面积为,C说法正确;
对于D,当为中点时,过的平面截该正方体所得截面为正六边形,,
在中,,所以边长,
所以截面面积,D说法错误;
故选:BC.
三、填空题:本题共3小题,每小题5分,共15分.
12. 内角,,的对边分别为,,,若,,则的面积为_____________.
【答案】1
【解析】因为,由正弦定理可得,且,
所以,则.
13. 已知随机事件,,若,,,则_________.
【答案】
【解析】由题意可得,,且,则,
又因为,则,
且,所以.
14. 已知函数,则不等式的解集为_________________.
【答案】
【解析】由已知得:,
所以,即
则不等式等价于,
再由,
可得在上单调递增,所以,解得.
四、解答题:本题共5小题,共77分.解答应写出文字说明、证明过程或演算步骤.
15. 已知函数.
(1)讨论的单调性;
(2)若对任意的恒成立,求的范围.
解:(1),
当时,恒成立,故在上单调递增,
当时,令,解得,
所以当时,,单调递增;当时,,单调递减;
综上,当时,在上单调递增;当时,在上单调递增,在上单调递减;
(2)当时,,符合题意,此时;
当时,因为恒成立,即恒成立,
令,则,
再令,则恒成立,
则在单调递增,所以,所以在上单调递增,
所以当时,,所以.
16. 如图,在直三棱柱中,,,,.
(1)当时,求证:平面;
(2)设二面角的大小为,求的取值范围.
(1)证明:以为坐标原点,以所在的直线分别为轴建立空间直角坐标系,如图所示,
,
当时,,所以,
可得,所以,
又因为,平面,平面,所以平面.
(2)解:由(1)可得,
设平面的一个法向量为,则,
令,可得,所以,
因为平面,所以平面的一个法向量为,
所以,
又因为,可得,所以,
因为二面角为锐二面角,所以,
所以的取值范围.
17. 一个池塘里的鱼的数目记为N,从池塘里捞出200尾鱼,并给鱼作上标识,然后把鱼放回池塘里,过一小段时间后再从池塘里捞出500尾鱼,表示捞出的500尾鱼中有标识的鱼的数目.
(1)若,求的数学期望;
(2)已知捞出的500尾鱼中15尾有标识,试给出N的估计值(以使得最大的N的值作为N的估计值).
解:(1)依题意X服从超几何分布,且,
故.
(2)当时,,
当时,,记,
则
.
由,
当且仅当,
则可知当时,;
当时,,
故时,最大,所以N的估计值为6666.
18. 已知,动点满足,动点的轨迹为曲线交于另外一点交于另外一点.
(1)求曲线的标准方程;
(2)已知是定值,求该定值;
(3)求面积的范围.
解:(1)令且,因为,所以,
整理可得,
所以的标准方程为.
(2)设,,,
设直线和直线的方程分别为,,
联立直线与椭圆方程,整理可得,
则,,
联立直线与椭圆方程,整理可得,
可得,,
又因为,,
所以,
所以,即,
同理可得,,即,
所以.
设,,,
设,则有,
又,
可得,
同理可得,
所以
(3)不妨设,于是,
因此,
又因为,所以,
设,,
则,,
,
所以在单调递增,则.
19. 定义:若对恒成立,则称数列为“上凸数列”.
(1)若,判断是否为“上凸数列”,如果是,给出证明;如果不是,请说明理由.
(2)若为“上凸数列”,则当时,.
(ⅰ)若数列为的前项和,证明:;
(ⅱ)对于任意正整数序列(为常数且),若恒成立,求的最小值.
解:(1)是“上凸数列”,理由如下:
因为,
令,
则.
当时,,
所以,
所以区间上单调递减,
所以,
所以,
所以是“上凸数列”.
(2)(ⅰ)证明:因为是“上凸数列”,由题意可得对任意,
,
所以,
所以.
(ⅱ)解:令,
由(1)可得当时,是“上凸数列”,
由题意可知,当时,.
因为,
即.
所以
,
当且仅当时等号成立,
所以.
综上所述,的最小值为.
[数学]福建省南平市建阳区2024届高三预测绝密卷模拟预测试题(解析版): 这是一份[数学]福建省南平市建阳区2024届高三预测绝密卷模拟预测试题(解析版),共18页。试卷主要包含了选择题,填空题,解答题等内容,欢迎下载使用。
2024年福建省漳州市龙文区高考数学模拟试卷(6月份)-普通用卷: 这是一份2024年福建省漳州市龙文区高考数学模拟试卷(6月份)-普通用卷,共17页。试卷主要包含了单选题,多选题,填空题,解答题等内容,欢迎下载使用。
福建省漳州市2024届高三下学期三模数学试题(Word版附答案): 这是一份福建省漳州市2024届高三下学期三模数学试题(Word版附答案),共13页。试卷主要包含了设,且,则的,已知函数是函数的导函数,则,已知函数,则函数的单调性,已知函数,则下列说法正确的是等内容,欢迎下载使用。

