高考数学二轮专题总复习配套课件
展开
这是一份高考数学二轮专题总复习配套课件,文件包含题组层级快练51ppt、题组层级快练50ppt、题组层级快练48ppt、题组层级快练42ppt、题组层级快练33ppt、题组层级快练76ppt、题组层级快练74ppt、题组层级快练67ppt、题组层级快练30ppt、题组层级快练27ppt、题组层级快练58ppt、题组层级快练73ppt、题组层级快练61ppt、题组层级快练28ppt、题组层级快练75ppt、题组层级快练66ppt、题组层级快练52ppt、题组层级快练57ppt、题组层级快练1ppt、专题层级快练45ppt、题组层级快练18ppt、题组层级快练49ppt、题组层级快练72ppt、题组层级快练41ppt、题组层级快练71ppt、题组层级快练47ppt、题组层级快练44ppt、题组层级快练31ppt、专题层级快练15ppt、题组层级快练46ppt、题组层级快练25ppt、题组层级快练17ppt、题组层级快练37ppt、题组层级快练59ppt、题组层级快练6ppt、题组层级快练68ppt、题组层级快练39ppt、题组层级快练9ppt、题组层级快练12ppt、题组层级快练34ppt、专题层级快练77ppt、题组层级快练36ppt、题组层级快练14ppt、题组层级快练16ppt、题组层级快练4ppt、题组层级快练8ppt、题组层级快练69ppt、题组层级快练26ppt、题组层级快练11ppt、题组层级快练38ppt、题组层级快练35ppt、题组层级快练5ppt、题组层级快练40ppt、题组层级快练2ppt、题组层级快练10ppt、题组层级快练56ppt、题组层级快练70ppt、题组层级快练24ppt、题组层级快练54ppt、专题层级快练62ppt、题组层级快练13ppt、题组层级快练7ppt、题组层级快练3ppt、题组层级快练60ppt、题组层级快练53ppt、题组层级快练55ppt、专题层级快练29ppt、专题层级快练65ppt、专题层级快练63ppt、专题层级快练64ppt、专题层级快练43ppt、专题层级快练23ppt、专题层级快练21ppt、题组层级快练32ppt、专题层级快练20ppt、专题层级快练19ppt、专题层级快练22ppt等77份课件配套教学资源,其中PPT共2667页, 欢迎下载使用。
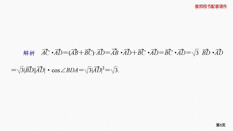
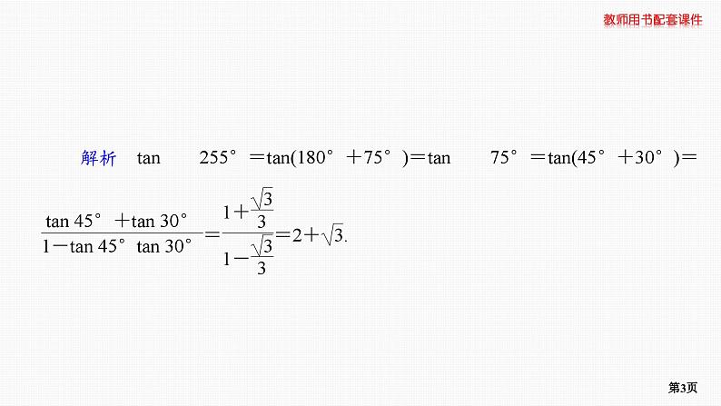
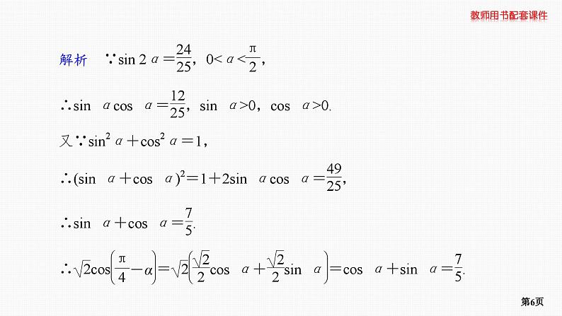
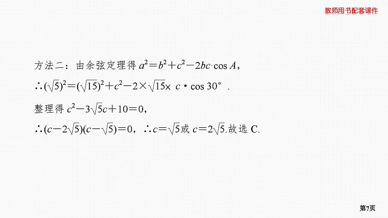
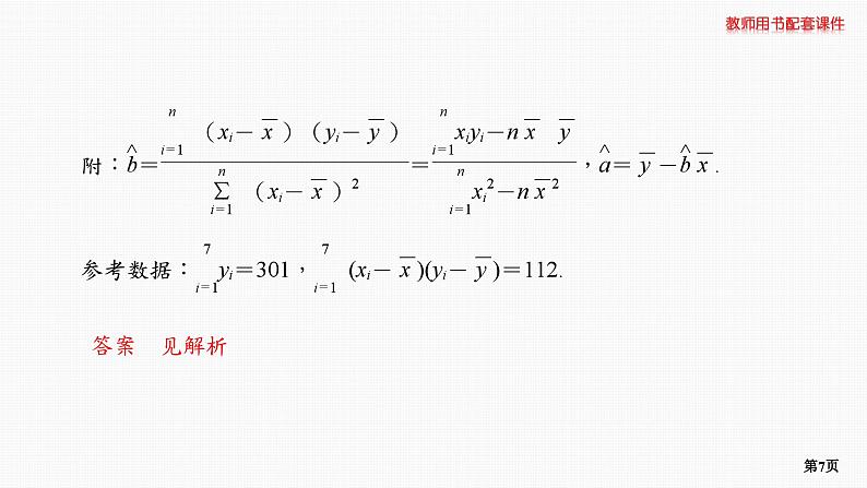
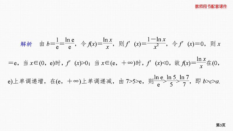
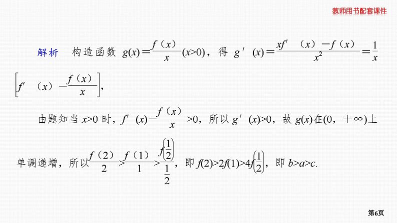
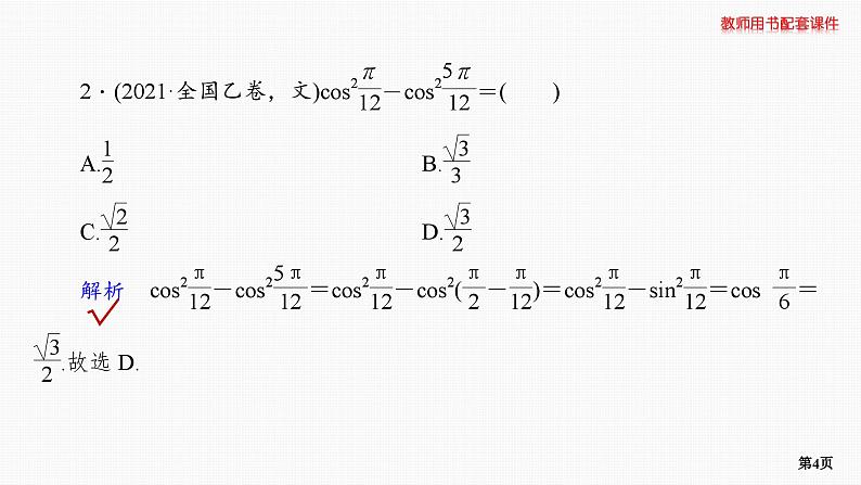
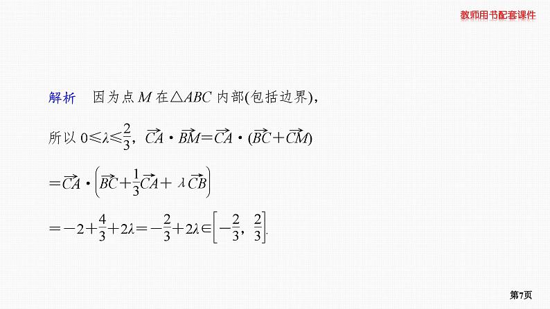
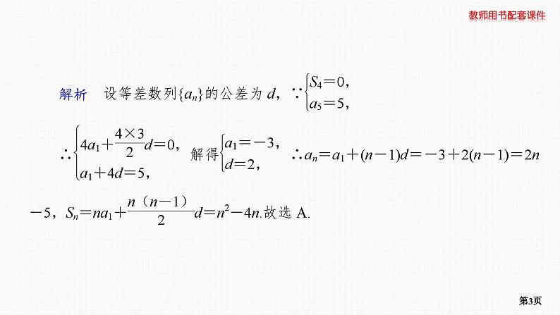
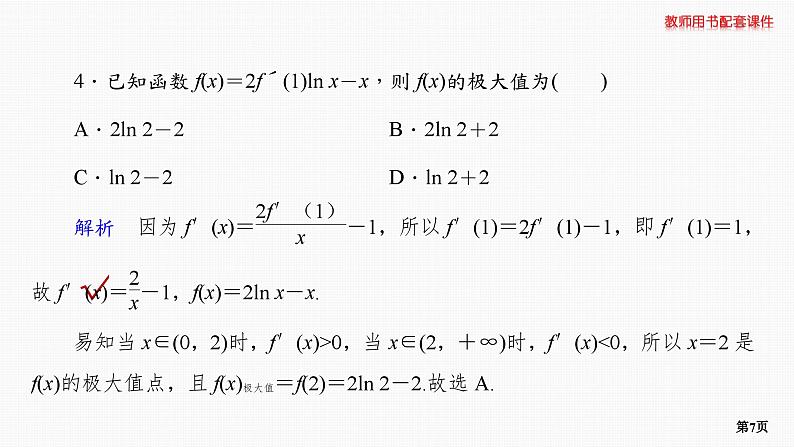
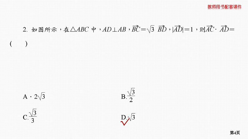
题组层级快练(三十四) √√√√√√√√√√√√√√√2 023 0 45° 1 2025《高考调研》看观谢谢★新高考 新思路★
相关课件
这是一份2025版《优化探究》高考数学总复习人教版数学配套课件,文件包含第一课时利用导数研究函数的单调性pptx、第一课时空间直线平面的垂直pptx、第二课时利用导数研究函数的极值与最值pptx、第二课时几何法求线面角二面角及探索性问题pptx、第三节等比数列pptx、第二节同角三角函数的基本关系式与诱导公式pptx、第二节双曲线及其性质pptx、第二节函数的单调性与最值pptx、第二节两条直线的位置关系与距离公式pptx、第九节正态分布pptx、第九节正弦定理余弦定理pptx、第九节函数与数学模型pptx、第三节等式性质与不等式性质pptx、第二节排列与组合pptx、第三节空间直线平面的平行pptx、第三节抛物线及其性质pptx、第三节成对数据的统计分析pptx、第三节平面向量的数量积pptx、第三节函数的奇偶性周期性与对称性pptx、第三节二项式定理pptx、第三节两角和与差的正弦余弦和正切公式pptx、第七节离散型随机变量及其分布列数字特征pptx、第七节三角函数的周期性奇偶性对称性pptx、第二节平面向量基本定理及向量线性运算的坐标表示pptx、第四节随机事件与概率pptx、第二节空间点直线平面之间的位置关系pptx、第六节三角函数的图象定义域最值值域单调性pptx、第四节直线与圆圆与圆的位置关系pptx、第四节数列求和pptx、第四节幂函数与二次函数pptx、第四节基本不等式pptx、第四节列联表与独立性检验pptx、第十节正余弦定理的应用pptx、第十一节正余弦定理应用举例pptx、第六节条件概率与全概率公式pptx、第六节对数与对数函数pptx、第八节利用空间向量研究角度问题pptx、第一节集合pptx、第八节函数与方程pptx、第八节函数y=Asinωx+φ的图象及应用pptx、第八节二项分布与超几何分布pptx、第五节简单的三角恒等变换pptx、第五节空间向量及其运算pptx、第五节指数与指数函数pptx、第五节古典概型与事件的相互独立性pptx、第五节一元二次方程不等式pptx、第二节统计图表用样本估计总体pptx、第二节等差数列pptx、第七节函数的图象pptx、提升课8立体几何中的综合问题pptx、提升课2指对幂的大小比较pptx、第一节椭圆及其性质pptx、第一节数列的概念pptx、提升课6数列中的综合问题pptx、培优课5三角函数中与ω有关的问题pptx、第一节平面向量的概念及运算pptx、第一节导数的概念及其意义导数的运算pptx、第一节基本立体图形简单几何体的表面积与体积pptx、第一节函数的概念及其表示pptx、提升课4不等式恒能成立pptx、第一节任意角和弧度制三角函数的定义pptx、培优课6数列中的奇偶项与子数列问题pptx、培优课7概率与统计的创新题pptx、提升课10直线与椭圆的位置关系pptx、提升课7球的切接问题pptx、第四节数系的扩充与复数的引入pptx、第三节圆的方程pptx、第一节直线的方程pptx、提升课1二次函数与一元二次方程不等式的应用pptx、第二节常用逻辑用语pptx、第一节随机抽样pptx、提升课11直线与双曲线的位置关系pptx、培优课2构造函数法解不等式问题pptx、提升课5利用导数研究函数的零点问题pptx、培优课几类特殊的函数教参独具pptx、第六节利用空间向量研究直线平面的位置关系pptx、培优课圆锥曲线中二级结论的应用教参独具pptx、培优课3极值点偏移pptx、第一节两个基本计数原理pptx、培优课柯西不等式教参独具pptx、第四节二倍角的正弦余弦和正切公式pptx、提升课12直线与抛物线的位置关系pptx、提升课9对称问题pptx、第七节利用空间向量研究距离问题pptx、培优课1函数性质的综合应用pptx、滚动训练七pptx、提升课13圆锥曲线中的范围与最值问题pptx、培优课三角形的“四心”与平面向量教参独具pptx、培优课4隐零点问题pptx、滚动训练十一pptx、滚动训练六pptx、滚动训练三pptx、提升课14圆锥曲线中的定点与定值问题pptx、滚动训练八pptx、滚动训练十pptx、滚动训练四pptx、滚动训练二pptx、培优课经典不等式及应用教参独具pptx、滚动训练五pptx、提升课15圆锥曲线中的证明与存在性问题pptx、提升课3利用导数研究函数问题pptx、滚动训练九pptx、滚动训练一pptx、培优课数列中的放缩问题教参独具pptx、第四节空间直线平面的垂直pptx、第二节导数在研究函数中的应用pptx等106份课件配套教学资源,其中PPT共5581页, 欢迎下载使用。
这是一份2025版《优化探究》高考数学总复习人教版数学配套专题课件,文件包含第四章三角函数docx、第二章函数的概念性质与基本初等函数docx、第七章立体几何与空间向量docx、第三章三角函数docx、第十章计算原理概率随机变量及其分布docx、第九章圆锥曲线的方程docx、第一章集合常用逻辑用语与不等式docx、第六章数列docx、第十一章统计与成对数据的分析docx、第五章平面向量与复数docx、第八章直线和圆的方程docx等11份课件配套教学资源,其中PPT共0页, 欢迎下载使用。
这是一份2024 全品高考第二轮数学专题学生用书配套课件,文件包含06模块六函数导数与不等式答案听课手册docx、06模块六函数导数与不等式答案作业手册docx、06模块六函数导数与不等式正文听课手册docx、05模块五解析几何答案听课手册docx、01模块一三角函数与解三角形平面向量答案听课手册docx、03模块三立体几何答案听课手册docx、03模块三立体几何答案作业手册docx、06模块六函数导数与不等式正文作业手册docx、04模块四统计与概率正文听课手册docx、05模块五解析几何正文听课手册docx、04模块四统计与概率正文作业手册docx、01模块一三角函数与解三角形平面向量正文听课手册docx、04模块四统计与概率答案听课手册docx、01模块一三角函数与解三角形平面向量答案作业手册docx、04模块四统计与概率答案作业手册docx、02模块二数列答案听课手册docx、05模块五解析几何答案作业手册docx、03模块三立体几何正文听课手册docx、03模块三立体几何正文作业手册docx、01模块一三角函数与解三角形平面向量正文作业手册docx、02模块二数列正文听课手册docx、05模块五解析几何正文作业手册docx、02模块二数列答案作业手册docx、02模块二数列正文作业手册docx等24份课件配套教学资源,其中PPT共0页, 欢迎下载使用。

