2025高考数学一轮复习-4.3.1-两角和与差的正弦、余弦和正切【课件】
展开ZHISHIZHENDUANJICHUHANGSHI
sin(α±β)=______________________________.cs(α∓β)=_______________________________.
1.两角和与差的正弦、余弦和正切公式
sin αcs β±cs αsin β
cs αcs β±sin αsin β
sin 2α=_________________.cs 2α=__________________________=_____________.
2.二倍角的正弦、余弦、正切公式
cs2α-sin2α=2cs2α-1
第四章 三角函数、解三角形
第一课时 两角和与差的正弦、余弦和正切
KAODIANTUPOTIXINGPOUXI
解析 ∵α是第三象限角,∴sin α<0,
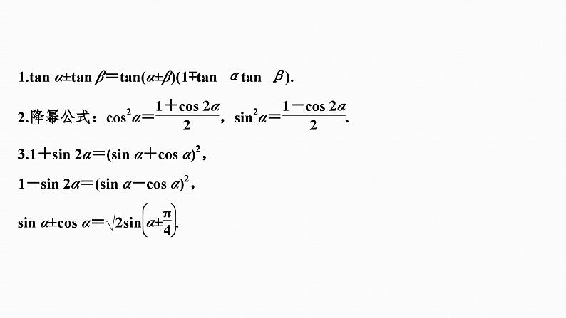
所以1-tan αtan β=tan α+tan β,所以1+tan α+tan β+tan αtan β=2,即(1+tan α)·(1+tan β)=2.
角度2 辅助角公式的运用
解 cs 15°+sin 15°
(2)cs 15°+sin 15°;
解析 ∵sin α+cs β=1,cs α+sin β=0,∴sin2α+cs2β+2sin αcs β=1,①cs2α+sin2β+2cs αsin β=0,②①②两式相加可得sin2α+cs2α+sin2β+cs2β+2(sin αcs β+cs αsin β)=1,
训练1 (1)已知sin α+cs β=1,cs α+sin β=0,则sin(α+β)=________.
即函数的值域为[-2,1].
FENCENGXUNLIAN GONGGUTISHENG
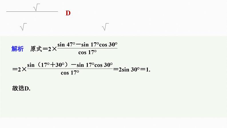
解析 sin 45°cs 15°+cs 225°sin 165°=sin 45°·cs 15°+(-cs 45°)sin 15°
1.sin 45°cs 15°+cs 225°sin 165°=( )
tan 15°·cs215°=sin 15°cs 15°
解析 因为tan θ=-2,
解析 sin(α+β)cs(γ-β)-cs(β+α)sin(β-γ)=sin(α+β)cs(β-γ)-cs(α+β)sin(β-γ)=sin[(α+β)-(β-γ)]=sin(α+γ).
7.sin(α+β)cs(γ-β)-cs(β+α)sin(β-γ)=____________.
解析 ∵tan 25°-tan 70°=tan(25°-70°)(1+tan 25°tan 70°)=tan(-45°)(1+tan 25°tan 70°)=-1-tan 25°tan 70°∴tan 25°-tan 70°+tan 70°tan 25°=-1.
9.tan 25°-tan 70°+tan 70°tan 25°=________.
解 因为α为锐角,所以cs α≠0,
(2)求tan β的值.解 因为α,β为锐角,所以α+β∈(0,π),
所以tan(α+β)=-3,所以tan β=tan[(α+β)-α]
12.(多选)下列四个选项中,化简正确的是( )
法二 原式=cs 15°=cs(45°-30°)
对于B,原式=cs(15°-105°)=cs(-90°)=cs 90°=0,B正确.
13.已知sin 10°+mcs 10°=2cs 140°,则m=________.
(1)求cs(α-β)的值;
解 由题意知,|OA|=|OM|=1,
2025高考数学一轮复习-4.3.1-两角和与差、二倍角的正弦、余弦、正切公式【课件】: 这是一份2025高考数学一轮复习-4.3.1-两角和与差、二倍角的正弦、余弦、正切公式【课件】,共36页。PPT课件主要包含了课前双基巩固,课堂考点突破等内容,欢迎下载使用。
高考复习 4.3 两角和与差的正弦、余弦和正切公式课件PPT: 这是一份高考复习 4.3 两角和与差的正弦、余弦和正切公式课件PPT,共30页。PPT课件主要包含了答案B,答案C,答案A等内容,欢迎下载使用。
新高考数学一轮复习课件 第4章 §4.3 两角和与差的正弦、余弦和正切公式: 这是一份新高考数学一轮复习课件 第4章 §4.3 两角和与差的正弦、余弦和正切公式,共60页。PPT课件主要包含了落实主干知识,探究核心题型,课时精练等内容,欢迎下载使用。

