2025年高考数学一轮复习-微专题(五)-导数与不等式的证明【课件】
展开这是一份2025年高考数学一轮复习-微专题(五)-导数与不等式的证明【课件】,共28页。PPT课件主要包含了关键点拨等内容,欢迎下载使用。
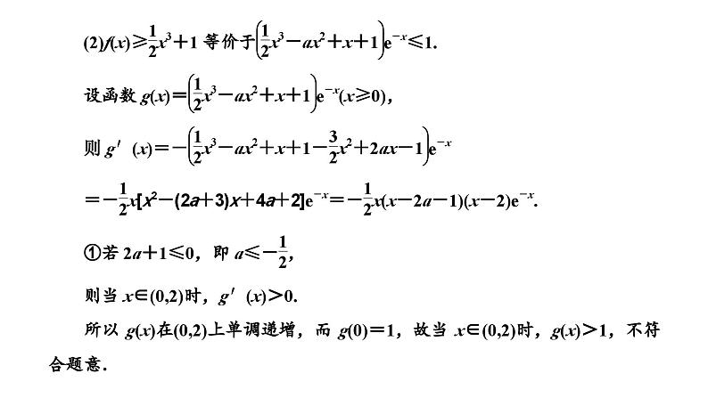
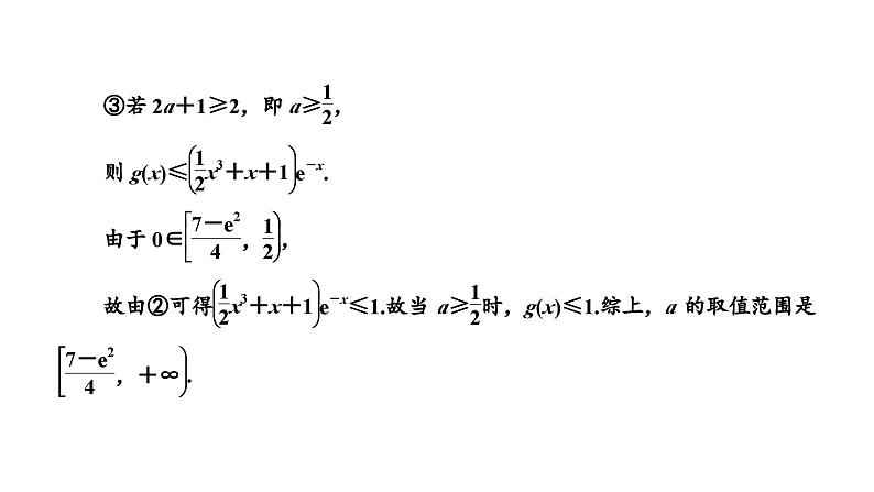
[解] (1)当a=1时,f(x)=ex+x2-x,f′(x)=ex+2x-1.令m(x)=f′(x)=ex+2x-1,则m′(x)=ex+2>0.所以m(x)在R上单调递增,即f′(x)在R上单调递增.注意到f′(0)=0,故当x∈(-∞,0)时,f′(x)<0;当x∈(0,+∞)时,f′(x)>0.所以f(x)在(-∞,0)上单调递减,在(0,+∞)上单调递增.
不等式恒成立问题的解题关键点
已知函数f(x)=ln x-ax,a∈R.(1)求函数f(x)的单调区间;(2)若不等式f(x)+a<0在x∈(1,+∞)上恒成立,求a的取值范围.
分离参数法的主要思想是将不等式变形成一个一端是参数a,另一端是变量表达式v(x)的不等式后,应用数形结合思想把不等式恒成立问题转化为水平直线y=a与函数y=v(x)图象的交点个数问题来解决.
根据不等式能成立求参数的步骤(1)利用题设条件将问题转化为某函数在该区间上最大(小)值满足的不等式的能成立问题;(2)用导数求该函数在区间上的最值;(3)构建不等式求解.
已知函数f(x)=(x-1)ex-ax-1.(1)当a>0时,证明函数f(x)在区间(0, +∞)上只有一个零点;(2)若存在x∈R,使不等式f(x)<-e-1成立,求a的取值范围.解:(1)证明:当a>0时,f′(x)=xex-a,x∈(0, +∞),令g(x)= f′(x),则g′(x)=(x+1)ex>0,∴f′(x)=xex-a在(0,+∞)上为增函数,∵f′(0)=-a<0, f′(a)=aea-a>0,∴∃x0∈(0,a),使f′(x0)=x0ex0-a=0,∴当x∈(0, x0)时,f′(x)<0;当x∈(x0, +∞)时,f′(x)>0,因此,f(x)在(0, x0)上为减函数,f(x)在(x0, +∞)上为增函数,
相关课件
这是一份2025年高考数学一轮复习-第六板块-函数与导数-微专题(一)导数与不等式的证明问题【课件】,共20页。PPT课件主要包含了证明不等式的基本方法等内容,欢迎下载使用。
这是一份2025年高考数学一轮复习-第六板块-函数与导数-微专题(五)大题专攻——“函数与导数”大题的规范解题路径【课件】,共28页。
这是一份2025年高考数学一轮复习-第六板块-函数与导数-微专题(三)导数小题中的综合问题【课件】,共32页。PPT课件主要包含了关键点拨等内容,欢迎下载使用。

