[数学]山东省菏泽市2024届高三信息押题卷(二)试题(解析版)
展开1. 已知集合,,则( )
A. B. C. D.
【答案】B
【解析】依题意,,而,
所以.
故选:B
2. 设向量,,若,则实数的值为( )
A. B. C. 2D. 1
【答案】D
【解析】,故,解得.
故选:D
3. 已知点为抛物线上一点,且点到抛物线的焦点的距离为3,则( )
A. B. 1C. 2D. 4
【答案】C
【解析】因为抛物线为,
则其焦点在轴正半轴 上,焦点坐标为,
由于点为抛物线为上一点,且点到抛物线的焦点F的距离为3,
所以点A到抛物线的焦点F的距离为解得,
故选:C.
4. 在△中,“”是“”的( )
A. 充分不必要条件B. 必要不充分条件
C. 充要条件D. 既不充分也不必要条件
【答案】B
【解析】若,则或,即或,
所以在△中,“”是“”的不充分条件
若,则,则,
所以在△中,“”是“”的必要条件.
故选:B.
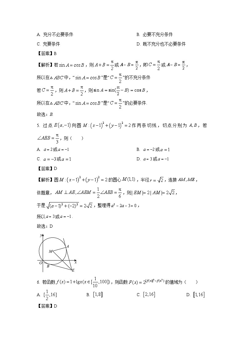
5. 过点向圆作两条切线,切点分别为,若,则( )
A. 或B. 或
C. 或D. 或
【答案】D
【解析】圆的圆心,半径,连接,
依题意,,则,
于是,整理得,
所以或.
故选:D
6. 若函数,则函数的值域为( )
A. B. C. D.
【答案】D
【解析】函数在上单调递增,,
令,
而函数在上单调递增,则,
所以函数的值域为.故选:D.
7. 随着我国铁路的发展,列车的正点率有了显著的提高.据统计,途经某车站的只有和谐号和复兴号列车,且和谐号列车的列次为复兴号列车的列次的2倍,和谐号的正点率为0.98,复兴号的正点率为0.99,今有一列车未正点到达该站,则该列车为和谐号的概率为( )
A. 0.2B. 0.5C. 0.6D. 0.8
【答案】D
【解析】令事件A:经过的列车为和谐号;事件B,经过的列车为复兴号;事件C,列车未正点到达,
则,
于是,
所以该列车为和谐号的概率为.
故选:D
8. 已知正三棱台的上、下底面边长分别为,体积为,则该正三棱台的外接球表面积为( )
A. B. C. D.
【答案】C
【解析】令给定的正三棱台为正三棱台,,
令正的中心分别为,而,
则,解得,
的外接圆半径,的外接圆半径,
显然正三棱台的外接球球心在直线,设外接球半径为,则,
因此,解得,
所以该正三棱台的外接球表面积为.
故选:C
二、选择题
9. 已知复数满足:,,若在复平面内对应的点在第四象限,则以下结论正确的为( )
A. B.
C. D.
【答案】BC
【解析】设复数在复平面内对应的点分别为,为坐标原点,
则复数在复平面内对应的向量为,且,
,,
所以四边形为菱形,且,
又,与轴正半轴所成的角为,
所以与轴正半轴所成的角为,所以与关于轴对称,
所以,则,所以,故B正确;
因为,所以,故A错误;
,故C正确;
,故D错误.
故选:BC
10. 已知函数为偶函数,将图象上的所有点向左平移个单位长度,再把图象上所有点的横坐标变为原来的,得到函数的图象,若的图象过点,则( )
A. 函数的最小正周期为1
B. 函数图象的一条对称轴为
C. 函数在上单调递减
D. 函数在上恰有5个零点
【答案】AC
【解析】由函数为偶函数,得,而,则,
因此,,
由,得,于,解得,则,
对于A,函数的最小正周期为,A正确;
对于B,,函数图象关于不对称,B错误;
对于C,当时,,而余弦函数在上单调递减,因此函数在上单调递减,C正确;
对于D,由,得,解得,
由,解得,因此函数在上恰有6个零点,D错误.故选:AC
11. 已知函数若,且,则下列关系式一定成立的为( )
A. B.
C. D.
【答案】ACD
【解析】对于A,若,且,只能,有,
则,,所以,故A正确;
对于B,举反例:当时,
则,,
此时,故B不正确;
对于C,易知,且.若,且,则有:
(ⅰ)当时,有,
则,,
且,所以;
(ⅱ)当时,,
且,则.
综上所述:,故C正确;
对于D,若,则.若,且,分类讨论.
(ⅰ)当时,有,
从而,,
则;
(ⅱ)当时,则,,
因为,
则,从而.
综合所述:,故D正确.
故选:ACD.
三、填空题
12. 已知变量与的10对观测数据为,且,,若关于的经验回归方程为,则变量的平均值______;______.
【答案】10 9
【解析】依题意,,又,则,解得,
由,得.
故答案为:10;9
13. 已知,,,则______.
【答案】2
【解析】由,得,
即,
整理得,由,得,
则,,于是,又,
所以.
故答案为:2
14. 已知正项数列的前项和为,且,则的最小值为______.
【答案】
【解析】正项数列中,由,得,则,
即数列是以4为周期周期数列,而,则,
因此,
当且仅当时取等号,
所以的最小值为.故答案为:
四、解答题
15. 在中,为边的中点.
(1)若,,求的长;
(2)若,,试判断的形状.
解:(1)依题意,,在中,由正弦定理得,
即,解得,则,
在中,由余弦定理得,
即,所以.
(2)由,得,在中,,
在中,,又,两式作商得:
,即,则,
于是或,而,即,
因此,,所以为非直角的等腰三角形.
16. 如图,四棱锥中,底面为平行四边形,,,,.
(1)证明:;
(2)若,为的中点,求直线与平面所成角的正弦值.
(1)证明:在中,,
则,即,
由平面,得平面,
又平面,则,又平面,
于是平面,又平面,则,
而平面,因此平面,又平面,
所以.
(2)解:由(1)知,两两垂直,显然,
以为坐标原点,直线分别为轴建立空间直角坐标系,如图,
则,
,,
设平面的法向量为,
则,
令,得,
设直线与平面所成的角为,则,
所以直线与平面所成角的正弦值为.
17. 已知两个盒子中各有一个黑球,一个白球.每次从两个盒子中各随机取出一个小球交换后放回.记次交换后,盒子中有一黑一白两个小球的概率为盒子中黑球的个数为.
(1)求;
(2)求的数学期望.
解:(1)依题意,每次交换共有4种情况,其中有2种情况交换后、B盒子中仍为一黑一白两个小球,
另外2种情况交换后,盒子中有两个黑球或两个白球,再次交换后,B盒子中必为一黑一白两个小球,
则,,即有,
因此数列是以为首项,为公比的等比数列,即,
所以.
(2)依题意,的可能取值为0,1,2,
,,,
所以.
18. 已知椭圆的左、右焦点分别为,点在椭圆上,点与点关于原点对称,四边形的面积为4.
(1)求椭圆的方程;
(2)若直线与椭圆交于两点.与轴交于点.试判断是否存在,使得为定值?若存在,求出的值;若不存在,请说明理由.
解:(1)设椭圆的焦距为,依题意,,则,
四边形为平行四边形,其面积,得,即,
联立解得,
所以椭圆的方程为.
(2)存在.
由消去得,
当时,恒成立,
设,则,
,
则
当,即时,为定值,所以.
19. 如果三个互不相同的函数,,在区间上恒有或,则称为与在区间上的“分割函数”.
(1)证明:函数为函数与在上的分割函数;
(2)若函数为函数与在上的“分割函数”,求实数的取值范围;
(3)若,且存在实数,使得函数为函数与在区间上的“分割函数”,求的最大值.
解:(1)设,则,当时,在上单调递增,
当时,在单调递减,则在处取得极大值,即为最大值,
即,则当时,;
设,则,当时,在上单调递咸,
当时,在上单调递增,则在处取得极小值,即为最小值,
即,则当时,,
于是当时,,
所以函数为函数与在上的“分割函数”.
(2)因为函数为函数与在上的“分割函数”,
则对,恒成立,
而,于是函数在处切线方程为,
因此函数的图象在处的切线方程也为,又,
则,解得,
于是对恒成立,
即对恒成立,
因此,解得,
所以实数的取值范围是.
(3)对于函数,
当和时,,当和时,,
则为的极小值点,为极大值点,
函数的图象如图,
由函数为函数与在区间上的“分割函数”,
得存在,使得直线与函数的图象相切,
且切点横坐标,
此时切线方程为,即,
设直线与的图象交于点,
则消去y得,则,
于是
令,则,
当且仅当时,,所以在上单调递减,,
因此的最大值为,所以的最大值为.
数学:山东省菏泽市2024届高考冲刺押题卷(六)试题(解析版): 这是一份数学:山东省菏泽市2024届高考冲刺押题卷(六)试题(解析版),共19页。试卷主要包含了选择题,填空题,解答题等内容,欢迎下载使用。
山东省菏泽市2024届高三信息押题卷(二)数学试题(无答案): 这是一份山东省菏泽市2024届高三信息押题卷(二)数学试题(无答案),共4页。试卷主要包含了若函数,则函数的值域为,已知复数满足等内容,欢迎下载使用。
山东省菏泽市2024届高三下学期模拟冲刺押题卷(六)数学试题(PDF版附解析): 这是一份山东省菏泽市2024届高三下学期模拟冲刺押题卷(六)数学试题(PDF版附解析),共7页。

