- 2025年高考数学一轮复习(基础版)课时精讲第3章 §3.3 导数与函数的极值、最值(2份打包,原卷版+含解析) 试卷 1 次下载
- 2025年高考数学一轮复习(基础版)课时精讲第4章 §4.1 任意角和弧度制、三角函数的概念(2份打包,原卷版+含解析) 试卷 0 次下载
- 2025年高考数学一轮复习(基础版)课时精讲第4章 §4.3 两角和与差的正弦、余弦和正切公式(2份打包,原卷版+含解析) 试卷 0 次下载
- 2025年高考数学一轮复习(基础版)课时精讲第4章 §4.4 简单的三角恒等变换(2份打包,原卷版+含解析) 试卷 0 次下载
- 2025年高考数学一轮复习(基础版)课时精讲第4章 §4.5 三角函数的图象与性质(2份打包,原卷版+含解析) 试卷 0 次下载
2025年高考数学一轮复习(基础版)课时精讲第4章 §4.2 同角三角函数基本关系式及诱导公式(2份打包,原卷版+含解析)
展开1.理解同角三角函数的基本关系式sin2α+cs2α=1,eq \f(sin α,cs α)=tan αeq \b\lc\(\rc\)(\a\vs4\al\c1(α≠\f(π,2)+kπ,k∈Z)).
2.掌握诱导公式,并会简单应用.
知识梳理
1.同角三角函数的基本关系
(1)平方关系:sin2α+cs2α=1.
(2)商数关系:eq \f(sin α,cs α)=tan αeq \b\lc\(\rc\)(\a\vs4\al\c1(α≠\f(π,2)+kπ,k∈Z)).
2.三角函数的诱导公式
常用结论
同角三角函数的基本关系式的常见变形
(1)sin2α=1-cs2α=(1+cs α)(1-cs α);
cs2α=1-sin2α=(1+sin α)(1-sin α);
(sin α±cs α)2=1±2sin αcs α.
(2)sin α=tan αcs αeq \b\lc\(\rc\)(\a\vs4\al\c1(α≠\f(π,2)+kπ,k∈Z)).
自主诊断
1.判断下列结论是否正确.(请在括号中打“√”或“×”)
(1)当α为钝角时,cs(π-α)=cs α.( )
(2)若sin(2kπ-α)=eq \f(3,5)(k∈Z),则sin α=eq \f(3,5).( )
(3)若α,β为锐角,则sin2α+cs2β=1.( )
(4)若α∈R,则tan α=eq \f(sin α,cs α)恒成立.( )
2.(多选)已知x∈R,则下列等式恒成立的是( )
A.sin(-x)=sin x B.sineq \b\lc\(\rc\)(\a\vs4\al\c1(\f(3π,2)-x))=cs x
C.cseq \b\lc\(\rc\)(\a\vs4\al\c1(\f(π,2)+x))=-sin x D.cs(x-π)=-cs x
3.若sin α=eq \f(\r(5),5),eq \f(π,2)<α<π,则tan α等于( )
A.-2 B.2 C.eq \f(1,2) D.-eq \f(1,2)
4.已知cs α=eq \f(1,5),-eq \f(π,2)<α<0,则eq \f(cs\b\lc\(\rc\)(\a\vs4\al\c1(\f(π,2)+α)),tanα+πcs-αtan α)的值为 .
题型一 同角三角函数基本关系式
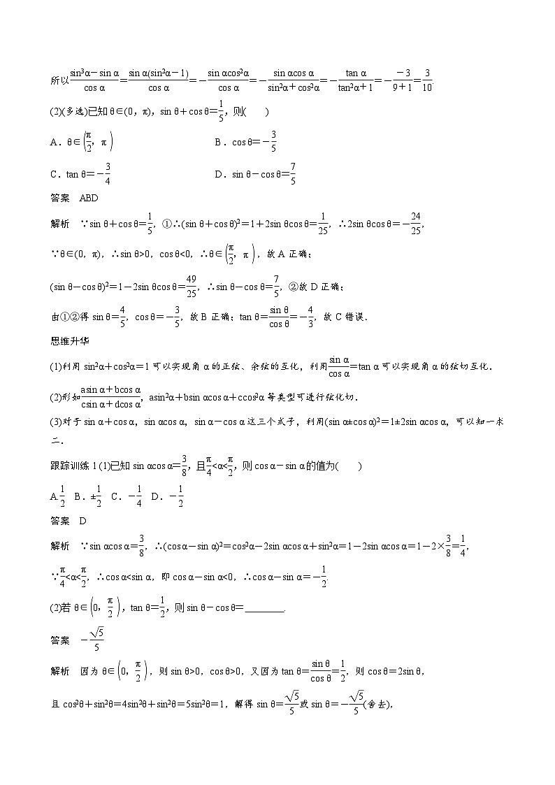
例1 (1)已知tan α=-3,则eq \f(sin3α-sin α,cs α)等于( )
A.-eq \f(3,4) B.eq \f(3,4) C.eq \f(3,10) D.-eq \f(3,10)
(2)(多选)已知θ∈(0,π),sin θ+cs θ=eq \f(1,5),则( )
A.θ∈eq \b\lc\(\rc\)(\a\vs4\al\c1(\f(π,2),π)) B.cs θ=-eq \f(3,5)
C.tan θ=-eq \f(3,4) D.sin θ-cs θ=eq \f(7,5)
跟踪训练1 (1)已知sin αcs α=eq \f(3,8),且eq \f(π,4)<α
(2)若θ∈eq \b\lc\(\rc\)(\a\vs4\al\c1(0,\f(π,2))),tan θ=eq \f(1,2),则sin θ-cs θ= .
题型二 诱导公式
例2 (1)若sin(π+α)=-eq \f(4,5),则cs(π-2α)等于( )
A.eq \f(3,5) B.-eq \f(3,5) C.eq \f(7,25) D.-eq \f(7,25)
(2)已知sineq \b\lc\(\rc\)(\a\vs4\al\c1(α+\f(π,3)))=eq \f(12,13),则cseq \b\lc\(\rc\)(\a\vs4\al\c1(\f(π,6)-α))等于( )
A.eq \f(5,13) B.eq \f(12,13) C.-eq \f(5,13) D.-eq \f(12,13)
延伸探究 若把本例(2)中条件换为“cseq \b\lc\(\rc\)(\a\vs4\al\c1(\f(π,6)+α))=-eq \f(1,3)”,那么sineq \b\lc\(\rc\)(\a\vs4\al\c1(\f(2π,3)+α))的值为 .
跟踪训练2 (1)化简:
eq \f(sinθ-5πcs\b\lc\(\rc\)(\a\vs4\al\c1(-\f(π,2)-θ))cs8π-θ,sin\b\lc\(\rc\)(\a\vs4\al\c1(θ-\f(3π,2)))sin-θ-4π)等于( )
A.-sin θ B.sin θ
C.cs θ D.-cs θ
(2)已知cseq \b\lc\(\rc\)(\a\vs4\al\c1(x-\f(π,3)))=eq \f(3,5),则cseq \b\lc\(\rc\)(\a\vs4\al\c1(\f(4π,3)-x))等于( )
A.-eq \f(4,5) B.-eq \f(3,5) C.eq \f(3,5) D.eq \f(4,5)
题型三 同角三角函数基本关系式和诱导公式的综合应用
例3 (1)已知α为锐角,且2tan(π-α)-3cseq \b\lc\(\rc\)(\a\vs4\al\c1(\f(π,2)+β))+5=0,tan(π+α)+6sin(π+β)-1=0,则sin α的值是( )
A.eq \f(2\r(5),5) B.eq \f(2\r(7),7) C.eq \f(3\r(10),10) D.eq \f(1,3)
(2)已知-π
A.eq \f(1,3) B.3 C.-eq \f(1,3) D.-3
(2)(多选)下列结论中,正确的是( )
A.sin(π+α)=-sin α成立的条件是角α是锐角
B.若cs(nπ-α)=eq \f(1,3)(n∈Z),则cs α=eq \f(1,3)
C.若α≠eq \f(kπ,2)(k∈Z),则taneq \b\lc\(\rc\)(\a\vs4\al\c1(\f(π,2)+α))=-eq \f(1,tan α)
D.若sin α+cs α=1,则sinnα+csnα=1
课时精练
一、单项选择题
1.若角α的终边在第三象限,则eq \f(cs α,\r(1-sin2α))+eq \f(2sin α,\r(1-cs2α))等于( )
A.3 B.-3 C.1 D.-1
2.以下四个数中,与sin 2 024°的值最接近的是( )
A.-eq \f(1,2) B.eq \f(1,2) C.-eq \f(\r(2),2) D.eq \f(\r(2),2)
3.已知sineq \b\lc\(\rc\)(\a\vs4\al\c1(\f(π,3)+θ))=eq \f(1,4),-eq \f(π,2)<θ
4.已知cs α=eq \f(3,5),α是第一象限角,且角α,β的终边关于y轴对称,则tan β等于( )
A.eq \f(3,4) B.-eq \f(3,4) C.eq \f(4,3) D.-eq \f(4,3)
5.已知α,β∈eq \b\lc\(\rc\)(\a\vs4\al\c1(0,\f(π,2))),且满足sin αcs β-2cs αsin β=0,则tan(2π+α)+taneq \b\lc\(\rc\)(\a\vs4\al\c1(\f(π,2)-β))的最小值为( )
A.2 B.eq \r(2) C.1 D.2eq \r(2)
二、多项选择题
6.在△ABC中,下列结论正确的是( )
A.sin(A+B)=sin C
B.sin eq \f(B+C,2)=cs eq \f(A,2)
C.tan(A+B)=-tan Ceq \b\lc\(\rc\)(\a\vs4\al\c1(C≠\f(π,2)))
D.cs(A+B)=cs C
7.已知sin θ+cs θ=t,θ∈eq \b\lc\(\rc\)(\a\vs4\al\c1(-\f(π,2),\f(π,2))),t∈(-1,eq \r(2)],函数f(θ)=sin θ+cs θ-sin θcs θ,则下列选项正确的是( )
A.当t=eq \f(1,2)时,sin θcs θ的值为eq \f(3,8)
B.当t=eq \f(1,2)时,sin3θ-cs3θ的值为-eq \f(5\r(7),16)
C.函数f(θ)的值域为(-1,eq \r(2)]
D.函数f(θ)的值域为(-1,1]
三、填空题
8.若sin α=2cs α,则cs2α+sin αcs α-sin2α= .
9.已知tan α=cs α,则eq \f(1,1-sin α)-eq \f(1,sin α)= .
10.已知cseq \b\lc\(\rc\)(\a\vs4\al\c1(\f(π,6)-α))=eq \f(1,3),则cseq \b\lc\(\rc\)(\a\vs4\al\c1(\f(5π,6)+α))= ,sineq \b\lc\(\rc\)(\a\vs4\al\c1(\f(2π,3)-α))= .
11.已知θ是第一象限角,若sin θ-2cs θ=-eq \f(2,5),则sin θ+cs θ= .
四、解答题
12.(1)若α是第二象限角,且cseq \b\lc\(\rc\)(\a\vs4\al\c1(\f(π,2)+α))=-eq \f(1,3),求tan α的值;
(2)已知f(α)=eq \f(sin3π-αcs2π-αsin\b\lc\(\rc\)(\a\vs4\al\c1(\f(3π,2)-α)),csπ-αsin-π-α),化简f(α),在(1)的条件下,求f(α)的值.
13.在①4sin(2 022π+α)=-3cs(2 024π+α);②sin α+cs α=eq \f(1,5);③α,β的终边关于x轴对称,并且4sin β=3cs β这三个条件中任选一个,补充在横线上,并回答问题.
已知第四象限角α满足 ,求下列各式的值.
(1)eq \f(3sin α+4cs α,cs α-sin α);
(2)sin2α+3sin αcs α.
公式
一
二
三
四
五
六
角
2kπ+α
(k∈Z)
π+α
-α
π-α
eq \f(π,2)-α
eq \f(π,2)+α
正弦
sin α
-sin α
-sin α
sin α
cs α
cs α
余弦
cs α
-cs α
cs α
-cs α
sin α
-sin α
正切
tan α
tan α
-tan α
-tan α
口诀
奇变偶不变,符号看象限
(新高考)高考数学一轮复习学案+巩固提升练习4.2《同角三角函数基本关系式及诱导公式》(2份打包,原卷版+教师版): 这是一份(新高考)高考数学一轮复习学案+巩固提升练习4.2《同角三角函数基本关系式及诱导公式》(2份打包,原卷版+教师版),文件包含新高考高考数学一轮复习讲义+巩固练习42《同角三角函数基本关系式及诱导公式》原卷版doc、新高考高考数学一轮复习讲义+巩固练习42《同角三角函数基本关系式及诱导公式》原卷版pdf、新高考高考数学一轮复习讲义+巩固练习42《同角三角函数基本关系式及诱导公式》教师版doc、新高考高考数学一轮复习讲义+巩固练习42《同角三角函数基本关系式及诱导公式》教师版pdf等4份试卷配套教学资源,其中试卷共41页, 欢迎下载使用。
(新高考)高考数学一轮复习学案+分层提升4.2《同角三角函数基本关系式及诱导公式》(2份打包,原卷版+教师版): 这是一份(新高考)高考数学一轮复习学案+分层提升4.2《同角三角函数基本关系式及诱导公式》(2份打包,原卷版+教师版),文件包含新高考高考数学一轮复习讲义+巩固练习42《同角三角函数基本关系式及诱导公式》原卷版doc、新高考高考数学一轮复习讲义+巩固练习42《同角三角函数基本关系式及诱导公式》原卷版pdf、新高考高考数学一轮复习讲义+巩固练习42《同角三角函数基本关系式及诱导公式》教师版doc、新高考高考数学一轮复习讲义+巩固练习42《同角三角函数基本关系式及诱导公式》教师版pdf等4份试卷配套教学资源,其中试卷共43页, 欢迎下载使用。
(新高考)高考数学一轮复习讲练测第4章§4.2同角三角函数基本关系式及诱导公式(含解析): 这是一份(新高考)高考数学一轮复习讲练测第4章§4.2同角三角函数基本关系式及诱导公式(含解析),共14页。试卷主要包含了掌握诱导公式,并会简单应用.等内容,欢迎下载使用。

