2025年高考数学一轮复习 第九章 -第3课时 最值与范围【课件】
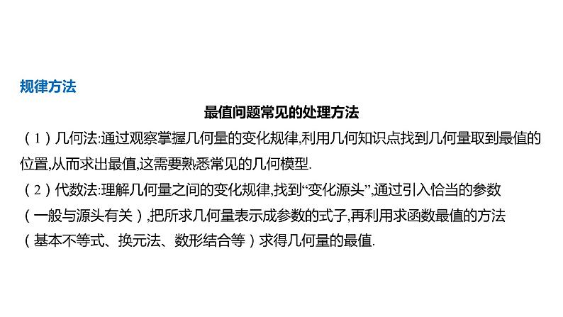
展开规律方法最值问题常见的处理方法(1)几何法:通过观察掌握几何量的变化规律,利用几何知识点找到几何量取到最值的位置,从而求出最值,这需要熟悉常见的几何模型.(2)代数法:理解几何量之间的变化规律,找到“变化源头”,通过引入恰当的参数(一般与源头有关),把所求几何量表示成参数的式子,再利用求函数最值的方法(基本不等式、换元法、数形结合等)求得几何量的最值.
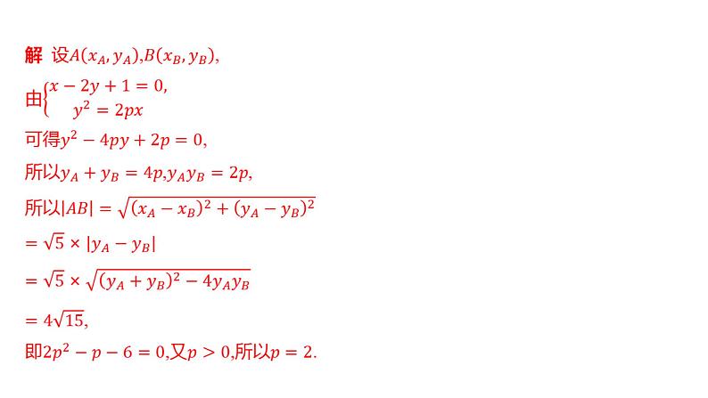
(1)求该椭圆的离心率.
规律方法解决圆锥曲线中的取值范围问题常用的五大策略(1)利用圆锥曲线的几何性质或判别式构造不等关系,从而确定参数的取值范围;(2)利用已知参数的范围,求新参数的范围,解这类问题的核心是建立两个参数之间的等量关系;(3)利用隐含的不等关系建立不等式,从而求出参数的取值范围;(4)利用已知的不等关系构造不等式或者建立关于某变量的一元二次方程,利用判别式求参数的取值范围;(5)利用求函数值域的方法将待求量表示为其他变量的函数,求其值域,从而确定参数的取值范围.
2024年高考数学一轮复习专题六第1课时范围、最值、证明问题课件: 这是一份2024年高考数学一轮复习专题六第1课时范围、最值、证明问题课件,共40页。PPT课件主要包含了题后反思等内容,欢迎下载使用。
高考数学一轮复习第8章第8节第2课时范围、最值问题课件: 这是一份高考数学一轮复习第8章第8节第2课时范围、最值问题课件,共60页。PPT课件主要包含了考点1考点2等内容,欢迎下载使用。
高考数学一轮复习配套课件 第九章 第九节 第3课时 圆锥曲线的最值、范围及探索性问题: 这是一份高考数学一轮复习配套课件 第九章 第九节 第3课时 圆锥曲线的最值、范围及探索性问题,共59页。PPT课件主要包含了关键能力考点突破,微专题,x+4y+5=0,答案A等内容,欢迎下载使用。

