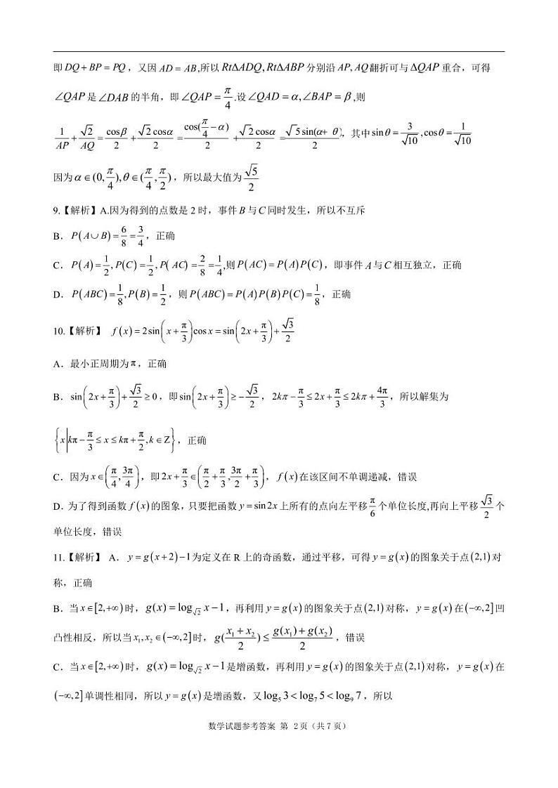
广东汕头2024年高一下学期期末数学试题+答案
展开广东汕头2024年高一下学期期末数学试题+答案: 这是一份广东汕头2024年高一下学期期末数学试题+答案,文件包含汕头市20247高一下学期期末数学试题pdf、广东汕头高一数学期末质量监测参考答案与评分标准pdf等2份试卷配套教学资源,其中试卷共11页, 欢迎下载使用。
2024届广东汕头高三上学期期末调研测试数学试题+答案: 这是一份2024届广东汕头高三上学期期末调研测试数学试题+答案,文件包含广东汕头2024届高三上学期期末调研测试数学试题原卷版pdf、广东汕头2024届高三上学期期末调研测试数学试题解析版pdf等2份试卷配套教学资源,其中试卷共27页, 欢迎下载使用。
广东省汕头市2022-2023学年高一下学期期末数学试题(解析版): 这是一份广东省汕头市2022-2023学年高一下学期期末数学试题(解析版),共22页。

