所属成套资源:2025版高考数学一轮总复习课时作业全套(附解析)
2025高考数学一轮课时作业第七章立体几何7.5空间向量与立体几何第1课时空间向量及基本应用(附解析)
展开
这是一份2025高考数学一轮课时作业第七章立体几何7.5空间向量与立体几何第1课时空间向量及基本应用(附解析),共9页。
1. 已知空间两点,,则线段的中点坐标是( A )
A. B. C. D.
解:由题意,可知线段 的中点坐标为,,,即.故选.
2. 在下列命题中:
①若向量,共线,则向量,所在的直线平行;
②若向量,所在的直线为异面直线,则向量,一定不共面;
③若三个向量,,两两共面,则向量,,共面;
④已知空间的三个向量,,,则对于空间的任意一个向量,总存在实数,,使得.
其中正确命题的个数是( A )
A. 0B. 1C. 2D. 3
解:与 共线,,所在的直线也可能重合,故①不正确.
空间任意两向量,都共面,故②不正确.
三个向量,,中任意两个一定共面,但它们三个却不一定共面,故③不正确.
只有当,,不共面时,空间任意一向量 才能表示为,故④不正确.
综上,可知四个命题中正确的个数为0.
故选.
3. 已知向量,,则与的夹角为( C )
A. B. C. D.
解:由题意,得,.设 与 的夹角为 ,则.则 .故选.
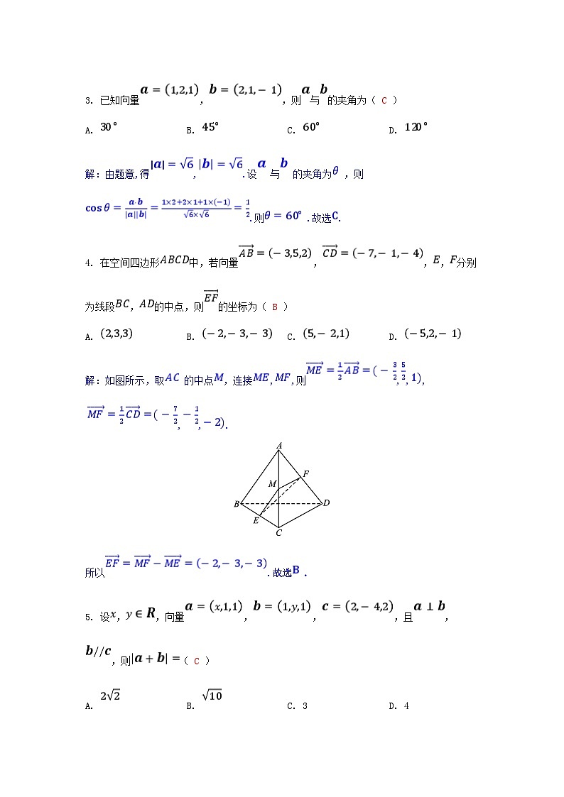
4. 在空间四边形中,若向量,,,分别为线段,的中点,则的坐标为( B )
A. B. C. D.
解:如图所示,取 的中点,连接,,则,,,,,.
所以.故选 .
5. 设,,向量,,,且,,则( C )
A. B. C. 3D. 4
解:因为//,所以,所以.
所以.
因为,所以.
所以.所以.所以,所以.故选.
6. 已知平面 内有一点,平面 的一个法向量为,点在平面 内,则点的坐标可能是( A )
A. B. C. D.
解:对于,,
,所以.
所以点 在平面 内.
同理,可验证其他三个点均不在平面 内.故选.
7. 如图,在四面体中,,,,为的中点,为的中点,若,则,,的值分别为( A )
A. ,,B. ,,C. ,,D. ,,
解:.故选.
8. 如图,在四棱锥中, 底面,,,,,为棱的中点.证明:
(1) ;
证明:因为 底面,所以,.又,所以以点 为坐标原点,,,所在直线分别为 轴、轴、轴建立如图所示的空间直角坐标系.
则,,,.
由点 为 的中点,得.
[答案]
,,
,所以.
(2) 平面;
[答案]
因为 平面, 平面,
所以.又,,, 平面,所以 平面.
所以 为平面 的一个法向量.
而,所以.
又 平面,所以 平面.
(3) 平面 平面.
[答案]
由(2)知平面 的一个法向量为,.
设平面 的法向量为,则 取,可得.
因为,
所以.所以平面 平面.
【综合运用】
9. 已知空间向量,,,若,,共面,则( C )
A. 1B. 2C. 6D.
解:若,,共面,则存在实数,,使得,即.
则 解得 所以.
故选.
10. 如图所示,已知空间四边形,,且,则,的值为( A )
A. 0B. C. D.
解:设,,.由已知,得,,,且,,所以,.故选.
11. 如图,在三棱锥中,是边长为3的正三角形,是上一点且,为的中点,为上一点且,则( D )
A. 5B. 3C. D.
解:以 为一组基底,
则
,
所以.故选.
12. 如图,在三棱锥中,,为的中点, 平面,垂足落在线段上.已知,,,.
(1) 证明:.
证明:由,是 的中点,得.
以 为坐标原点,,所在直线为 轴、轴,过点 作平行于 的直线为 轴,建立空间直角坐标系,如图所示.
则,,,,.
于是,,所以,所以,即.
(2) 若点是线段上一点,且.试证明平面 平面.
[答案]
由(1)知.又,且点 在线段 上,
所以.又,
所以.
则,
所以,即.
又根据(1)的结论,知,且,
所以 平面.
于是 平面.
又 平面,故平面 平面.
【拓广探索】
13. 已知点在棱长为2的正方体的表面上运动,则的最大值为( C )
A. 6B. 7C. 8D. 9
解:取 的中点,连接,如图所示.
则.
当点 在正方体表面上运动,运动到点 或点 处时,最大.
,所以 的最大值为8.
故选 .
相关试卷
这是一份2025年高考数学一轮复习专题8.4 空间向量与立体几何-(原卷版+解析版),文件包含2025年高考数学一轮复习专题84空间向量与立体几何原卷版docx、2025年高考数学一轮复习专题84空间向量与立体几何解析版docx等2份试卷配套教学资源,其中试卷共105页, 欢迎下载使用。
这是一份2025届高考数学一轮复习专项练习课时规范练38空间向量在立体几何中的应用,共15页。
这是一份2025届高考数学一轮复习专项练习单元质检卷七空间向量与立体几何,共17页。试卷主要包含了选择题,填空题,解答题等内容,欢迎下载使用。

