数学:广东省广州市2024届普通高中毕业班冲刺训练题(三)试题(解析版)
展开
这是一份数学:广东省广州市2024届普通高中毕业班冲刺训练题(三)试题(解析版),共21页。试卷主要包含了选择题,填空题,解答题等内容,欢迎下载使用。
一、选择题
1 设集合,,则( )
A. B. C. D.
【答案】D
【解析】因为,,
所以.
故选:D
2. 在复平面内,复数对应的点位于( )
A. 第一象限B. 第二象限
C. 第三象限D. 第四象限
【答案】B
【解析】因为复数,
所以对应的点为,位于第二象限.
故选:B.
3. 已知等差数列的前项和为,若,则( )
A. 1B. 2C. 4D. 6
【答案】B
【解析】因为为等差数列,可得,所以,
又由等差数列的性质,可得.
故选:B.
4. 设,是两个不同平面,,是两条不同直线,则的一个充分条件是( )
A. ,, B. ,,
C. ,, D. ,,与相交
【答案】C
【解析】对于选项A,当满足,,时,可能相交,如图:用四边形代表平面,用四边形代表平面,故A错误;
对于选项B,当满足,,时,可能相交,如图:用四边形代表平面,用四边形代表平面,故B错误;
对于选项C,因为,,又,所以,故,,是一个充分条件,故C正确;
对于选项D,当满足,,与相交时,可能相交,如图:用四边形代表平面,用四边形代表平面,故D错误;
故选:C.
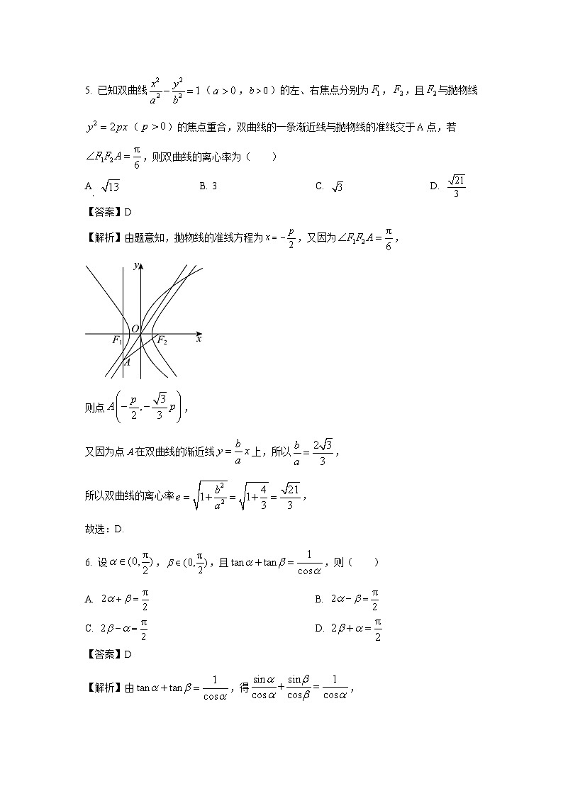
5. 已知双曲线(,)的左、右焦点分别为,,且与抛物线()的焦点重合,双曲线的一条渐近线与抛物线的准线交于点,若,则双曲线的离心率为( )
A B. 3C. D.
【答案】D
【解析】由题意知,抛物线的准线方程为,又因为,
则点,
又因为点在双曲线的渐近线上,所以,
所以双曲线的离心率,
故选:D.
6. 设,,且,则( )
A. B.
C. D.
【答案】D
【解析】由,得,
于是,即,
由,,得,
则或,即或(不符合题意,舍去),
所以.
故选:D
7. 已知半径为的球的球心到正四面体的四个面的距离都相等,若正四面体的棱与球的球面有公共点,则正四面体的棱长的取值范围为( )
A. B. C. D.
【答案】C
【解析】设正四面体的棱长为,则其高为.
当正四面体内接于球时,最小,此时,得.
当球与正四面体的每条棱都相切时,最大,
因为球球心到正四面体的四个面的距离都相等,
所以当球与正四面体的每条棱都相切时,
借助正四面体和球的结构特征可知切点均为棱的中点,
且球心到正四面体的顶点的距离为,
利用勾股定理可得,得.
故正四面体的棱长的取值范围为.
故选:C.
8. 在中,角、、的对边分别为、、,若,,的平分线的长为,则边上的中线的长等于( )
A. B. C. D.
【答案】A
【解析】由题意知,设,则,如图所示,
由可得,
整理得,即,
又因为,所以,
所以,所以,
在中,由余弦定理得,所以,
由是边上的中线,得
.
所以,中线长.
故选:A
二、选择题
9. 已知变量和变量的一组成对样本数据()的散点落在一条直线附近,,,相关系数为,线性回归方程为,则( )
参考公式:,.
A. 当越大时,成对样本数据的线性相关程度越强
B. 当时,
C. 当,时,成对样本数据()的相关系数满足
D. 当,时,成对样本数据()的线性回归方程满足
【答案】BCD
【解析】对于A,当越接近1时,成对样本数据的线性相关程度越强,故A错误;
对于B,当时,成对样本数据正相关,相关系数与符号相同,则,故B正确;
对于C,当,时,将这组数据添加后,不变,故相关系数的表达式中的分子和分母均不变,故C正确;
对于D,当,时,将这组数据添加后,不变,故线性回归方程中的斜率的表达式中的分子和分母均不变,所以,故D正确;
综上所述,正确的有B、C、D.故选:BCD.
10. 设函数,则( )
A. 函数的单调递增区间为
B. 函数有极小值且极小值为
C. 若方程有两个不等实根,则实数的取值范围为
D. 经过坐标原点的曲线的切线方程为
【答案】ACD
【解析】对A:由题意可知的定义域为,
,令,解得,
当时,,当时,,
所以函数在上单调递增,在上单调递减,故A正确;
对B:当时,取得极大值为,故B错误;
对C:由上分析可作出的图象,要使方程有两个不等实根,
只需要与有两个交点,由图可知,,
所以实数的取值范围为,故C正确.
对D:设曲线在处的切线经过坐标原点,
则切线斜率,得,解得,
所以切线斜率,所以切线方程为,故D正确.
故选:ACD
11. 已知抛物线:的焦点为,准线为,点,在上(在第一象限),点在上,以为直径的圆过焦点,(),则( )
A. 若,则
B. 若,则
C. 的面积最小值为
D. 的面积大于
【答案】ABD
【解析】对于A,设点在准线上的投影为,准线与轴交于点,
因为两点在抛物线上,根据抛物线的定义,,
又,
则,所以,故A正确;
对于B,设点在准线上的投影为点,
因为以为直径的圆过焦点,
所以,且,所以,
又因为,所以,
即,,
由焦半径公式,故B正确;
对于C,分两种情况:当点都在第一象限,
设,,
由焦半径公式可得,
,
所以,
令,
设,
且,
所以,
当且仅当时取得最小值,
当点在第二象限时,设,,
则,,
所以,
同理令,且,
所以,
所以,当且仅当时取得最小值,
综上,面积的最小值为,故C错误:
对于D,当点都在第一象限,,,,
则,
所以,
即,
所以
当点在第二象限时,同理可得,
即,
所以,
综上,的面积大于,故D正确.
故选:ABD.
三、填空题
12. 若,则______.
【答案】20
【解析】由,
令可得,,∴.
在中,
令,可得,
∴.
故答案为:20
13. 选手甲和乙进行乒乓球比赛,如果每局比赛甲获胜的概率为,乙获胜的概率为,采用五局三胜制,则在甲最终获胜的情况下,比赛进行了三局的概率为______.
【答案】
【解析】根据题意,设甲获胜为事件,比赛进行三局为事件,
,
,
故.
故答案为:.
14. 已知,若关于的不等式有整数解,则的取值范围为______.
【答案】
【解析】不等式,即,
设,,
设,,所以单调递增,且,,
所以存在,使,即,
当时,,在上单调递减,
当时,,在上单调递增,
所以,
因为,所以,
当时,,当时,,
不等式有整数解,即有整数解,
若时,即,因为函数在上单调递减,在上单调递增,
所以时,,所以无整数解,不符合题意,
当时,因为,
显然0,1是的两个整数解,符合题意,
综上可知,.
四、解答题
15. 已知数列的前项和为,数列是公差为的等差数列,且.
(1)求数列的通项公式;
(2)若存在,使得成立,求实数的取值范围.
解:(1)由题意知:数列是公差为的等差数列,又,
所以,整理得:,
又当时,,
因为满足上式,所以,
故数列的通项公式为.
(2)由(1)知,可得,
故;
解法1:由,可得,
即,则,
又由,
当且仅当即时取等号,故实数的取值范围为.
解法2:由,
可得,
当,即时,,
则,故实数的取值范围为.
16. 在四棱锥中,底面为直角梯形,,,,三棱锥的体积为,平面与平面的交线为.
(1)求四棱锥的体积,并在答卷上画出交线(注意保留作图痕迹);
(2)若,,且平面平面,在上是否存在点,使平面与平面所成角的余弦值为?若存在,求的长度;若不存在,请说明理由.
解:(1),,
∵,∴,
∴,
延长,,设的延长线和的延长线交点为,连接,
则平面和平面的交线为直线.
(2)取的中点,连接,
∵,是的中点,∴,
∵平面平面,平面平面,平面,,
∴平面,
,,解得.
以点为坐标原点,以直线,分别为,轴,
以过点作平面的垂线为轴,建立空间直角坐标系,如图所示.
则,,,,
∴,,,
设,则,
设平面的法向量为,
则,即
令,得,
设平面的法向量为,
则,即
令,可得,
平面与平面夹角的余弦值为
∴,
整理得,解得:或,
即在直线上存在点,平面与平面的夹角的余弦值为,
此时或,
则或.
17. 在第二十五届中国国际高新技术成果交易会上,中国科学院的科研团队带来了可以在零下70摄氏度到零上80摄氏度范围内正常使用的宽温域锂电池,为新能源汽车在冬季等极端温度下的使用提供了技术支撑.中国新能源汽车也在科研团队的努力下,在世界舞台上扮演着越来越重要的角色.已知某锂电池生产商对一批锂电池最低正常使用零下温度进行了检测,得到如下频率分布直方图.
(1)求最低正常使用零下温度的第60百分位数;
(2)若以抽样检测的频率作为实际情况的概率.
①若随机抽取3块电池,设抽到锂电池最低正常使用零下温度在的数量为,求的分布列;
②若锂电池最低正常使用零下温度在之间,则为类锂电池.若以抽样检测的频率作为实际情况的概率,从这批锂电池中随机抽取10块,抽到块为“类锂电池”的可能性最大,试求的值.
解:(1)设最低正常使用零下温度的第60百分位数为,
由直方图可知最低正常使用零下温度在的频率为0.4,
在的频率为0.65,因此最低正常使用零下温度的第60百分位数一定在内,
则有,解得,
所以最低正常使用零下温度的第60百分位数为28℃.
(2)①由题意可知的可能值是0,1,2,3,,
;
;
;
,
所以的分布列为
②由题意可知,设抽到类锂电池的数量为,则,
若抽到块的可能性最大,
则,,
即
即解得,
由于,故.
18. 将上各点的纵坐标变为原来的倍(横坐标不变),所得曲线为.记,过点的直线与交于不同的两点,直线,与分别交于点.
(1)求的方程;
(2)设直线,的倾斜角分别为,(,),求的值.
解:(1)设所求轨迹上的任意点为,与对应的点为,
根据题意,可得,即
代入方程,可得,整理得,
所以曲线的轨迹方程为.
(2)设,,,,
由题知,所以直线的斜率不可能为0,设直线的方程为
联立方程组,整理得,
,
由韦达定理得,,,
又因为,点在椭圆上,
所以,,
,同理可得,
又因为三点共线,可得,
即,
所以,
所以.
19. 已知函数.
(1)若对于任意恒成立,求a的取值范围;
(2)若函数的零点按照从大到小的顺序构成数列,,证明:;
(3)对于任意正实数,证明:.
(1)解;根据题意可知,
不等式在上恒成立,
设,
则,,
设,
则,,
则,
若,存在区间,使在区间上单调递减;
则,则在区间上单调递减,
则,不满足题意,
故,即.
下证明:当时,不等式成立,
因为,
,
设,
则,
设,
则,
所以在上单调递增,
则,
则成立,
故在上单调递增,
则,
所以恒成立,得证,
综上知,.
(2)证明:当时,
,设,
则,
则函数单调递增,
,
单调递增,
,,
在上单调递减,上单调递增,
又,,
,,
,.
由于,,,
,
由于在上单调递增,
,.
累加得.
(3)证明:要证
即证.
即证.
,设
,时,在上单调递增,
即在上单调递增,
设,,
由于在上单调递增,
,,在单调递增.
又,时
因此恒成立,原不等式恒成立,得证.0
1
2
3
0.064
0.288
0.432
0.216
相关试卷
这是一份2024年广州市普通高中毕业班冲刺训练题(一)数学试题(附参考答案),文件包含2024年广州市普通高中毕业班冲刺训练题一数学试题docx、2024届高三数学冲刺训练卷一参考答案定稿docx、2024届高三数学冲刺训练卷一参考答案定稿pdf等3份试卷配套教学资源,其中试卷共25页, 欢迎下载使用。
这是一份2024年广州市普通高中毕业班高三下学期冲刺训练题数学试题(三),文件包含2024年广州市普通高中毕业班冲刺训练题三试题定稿pdf、2024年广州市普通高中毕业班冲刺训练题三参考答案定稿pdf等2份试卷配套教学资源,其中试卷共15页, 欢迎下载使用。
这是一份2024年广州市普通高中毕业班高三下学期冲刺训练题数学试题(一),文件包含2024届高三数学冲刺训练卷一参考答案定稿pdf、2024届高三数学冲刺训练卷一试题定稿pdf等2份试卷配套教学资源,其中试卷共14页, 欢迎下载使用。

