2024年广州市普通高中毕业班冲刺训练题(一)数学试题(附参考答案)
展开1.C【详解】因为,
,因此,.故选:C.
2.A【详解】因为幂函数在上是增函数,
所以,解得.故选:A
3、D【详解】对于选项A,个数据从小到大排列,所以下四分位数即第25百分位数,,所以应该是第二个与第三个的平均数,故A不正确;
对于选项B, 因为,则,则,故B不正确;
对于选项C, 随机变量满足,则,故C不正确;
对于选项D,若,则,独立,,独立,,
故D正确.故选:D.
4. B【详解】 由可得,,,
,,
,即则使成立的最大正整数的值为18.故选:B.
5. B【详解】如图为该几何体的轴截面,其中圆是等腰梯形的内切圆,设圆与梯形的腰相切于点,与上、下底的分别切于点,,
设球的半径为,圆台上下底面的半径为,.注意到与均为角平分线,因此,
从而,故.设台体体积为,球体体积为,则
.
故选:B
6.C【详解】依次一个一个地往外取球(不放回)的试验,基本事件总数是,它们等可能,
对于A,表示第1次、第2次取出的球都是黑球,,A正确;
对于B, ,,B正确;
对于C,,所以,C错误.
对于D,,D正确,故选:C
7.D【详解】因为为锐角,所以,,
又,所以,
而,所以,,因此.故选:D.
8.D【详解】 ,令,
则,则在上单调递增,
由,为奇函数,得,则,
,
所以所以,不等式的解集为,故选
二、选择题:本题共3小题,每小题6分,共18分。在每小题给出选项中,有多项符合题目要求。全部选对得6分,部分选对得部分分,有选错的得0分。
9. 【答案】AD
【详解】对于A,设对应的向量分别为,则由向量三角不等式得,
所以恒成立,故 A正确;
对于B,取,但,故B错误;
对于C,当时,,而,故C错误;
对于D, ,故D正确;
故选 AD.
10.【答案】ABD
【详解】对于A,由及,得,所以,A正确.
对于B,由及,得,所以.同理可得.
又,所以,所以,B正确.
对于C,由及,得,所以,得,
所以,得,C错误.
对于D,由,得,所以.
因为,,所以,所以,D正确.
故选:ABD.
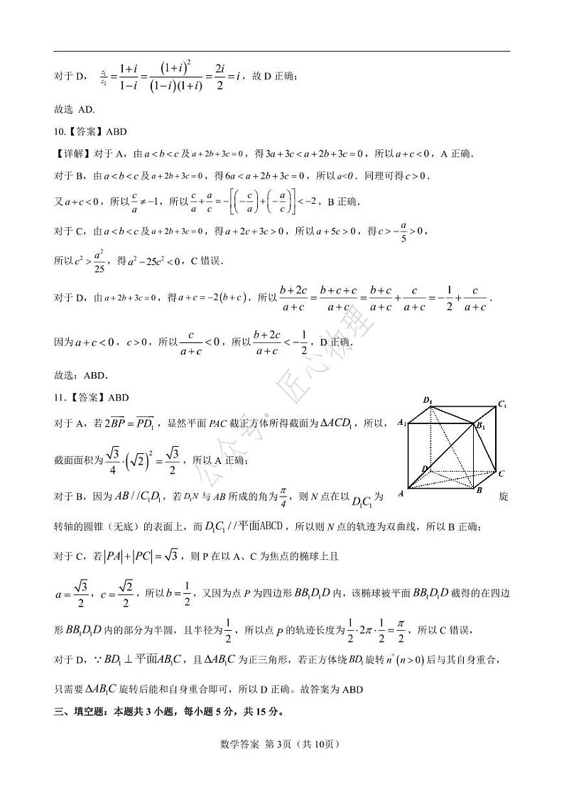
11.【答案】ABD
对于A,若,显然平面PAC截正方体所得截面为,所以,截面面积为,所以A正确;
对于B,因为,若与AB所成的角为,则N点在以为旋转轴的圆锥(无底)的表面上,而,所以则N点的轨迹为双曲线,所以B正确;
对于C,若,则P在以A、C为焦点的椭球上且
,,所以,又因为点P为四边形内,该椭球被平面截得的在四边形内的部分为半圆,且半径为,所以点的轨迹长度为,所以C错误,
对于D,,且为正三角形,若正方体绕旋转后与其自身重合,只需要旋转后能和自身重合即可,所以D正确。故答案为ABD
三、填空题:本题共3小题,每小题5分,共15分。
12.【答案】
【详解】在上的投影为,,则,即
又,平方得,则
即.故答案为:.
13.【答案】
【详解】由题意得, ,由此类推,,,,,,,,,,…,
观察规律,三角形会有1个相等的角,并且角的度数恰好是其内角的度数,正方形有2个,正五边形有3个,正六边形有4个,…, 所以正多边形有个.
令,解得,所以的最小值为,即满足条件的角至少要在正61边形中,所以,即的最小值为
14.【答案】
【详解】,,
,所以,即
而,,即,
在中,设,则,所以
所以
因为,所以,所以,,所以
所以,,而的面积为,所以,
所以,故答案为:
四、解答题:本题共 5 小题,共 77 分.解答应写出文字说明、证明过程或演算步骤.
15. 【详解】(1)解:因为, 分
当时,可得, 分
当,即时,取得最小值, 分
因为时,恒成立,所以,
即实数的取值范围为. 分
解:由题意,函数, 分
因为,所以, 分
又因为函数有且仅有5个零点,则满足, 分
解得, 所以实数的取值范围 分
16. 【详解】(1)①②③,
连接相交于,连接,由于底面是正方形,所以,
又,平面,
故平面,平面,故,
由于,故,
因此,平面,
故平面,(可得四棱锥是正四棱锥)
平面,故,
又平面,故平面. 分
②③①,
连接相交于,连接, 由于底面是正方形,所以,
又,平面,
故平面,平面,故,
又平面,平面,故,
平面,故平面,
结合底面是正方形,是正方形的中心,
所以四棱锥是正四棱锥,故, 分
①③②,
连接相交于,连接,平面,平面,故,
由于故,又,故,
故,
因此,平面,故平面,
故四棱锥是正四棱锥,
由于,又,平面,
故平面,平面,故, 分
(2)无论选择哪两个条件,都可以推出四棱锥是正四棱锥,
设四棱锥的底边边长为,则四,
所以,
故,
由于,当且仅当,即时取等号,故当四棱锥的底边边长为时,四棱棱锥体积的最大值为.
(法一)因为底面,由点向作垂线,垂足为,连接,
又因为底面,,所以为二面角的平面角,
,,,
即二面角的余弦值为. 分
(法二)以点为坐标原点建立如图空间直角坐标系,
则,所以,,
设面的法向量为,
则即,不妨取,则,所以,
易得平面的法向量,
设二面角的平面角为,
即二面角的余弦值为. 分
17.解:设,, 分
故求动点的轨迹方程.为. 分
, 分
,即, 分
设直线的方程为,,,,,
联立,得,,, 分
且 分
∴, 分
代入可得∴, 分
∴直线方程为,即直线过定点 分
此时,
∴. 分
18.【详解】(1);
第一种情况:,概率为; 分
第二种情况:,概率为; 分
第三种情况:,概率为; 分
第四种情况:甲→甲→乙→甲,概率为 分
所以三次投掷骰子后球在甲手中的概率为. 分
(2)由于投掷次骰子后球不在乙手中的概率为,此时无论球在甲手中还是球在丙手中,均有的概率传给乙,故有. 分
变形为.
又,所以数列是首项为,公比为的等比数列. 分
所以. 分
所以数列的通项公式. 分
(3)由(2)可得, 分
则
分
当是奇数时,
分
当是偶数时,
分
综上, 分
19.解:(1) S4={1,2,3,4} 的全部非空子集为 {1},{2},{3},{4},{1,2},{1,3},{1,4},{2,3},{2,4},
{3,4},{1,2,3},{1,2,4},{1,3,4},{2,3,4},{1,2,3,4}, 其中好子集有 {1},{2},{3},{4},
{1,2},{1,4},{2,3},{3,4},{1,2,3},{2,3,4},{1,2,3,4}, 共有 11个. 所以 f(4)=11. 分
(2)将 X 的元素从小到大排列, 即 X=a1,a2,…,ak,k⩾3, 其中 a1
因此, 对任意的 1⩽i⩽k−2,ai 和 ai+2 奇偶性相同, 于是 ai+ai+22∈Z, 所以 ai+ai+22∈X,而 ai+ai+22∈ai,ai+2 且 X∩ai,ai+2=ai, 所以 ai+ai+22=ai.
即对任意的 1⩽i⩽k−2, ai+ai+2=2ai, 即 ai+2−ai+1=ai+1−ai. 由 i 的任意性知, a1,a2,…,ak 是一个等差数列. 分
(3)记 n=2022. 首先证明 Sn+2 中包含 1 的好子集个数为 f(n+2)−f(n+1).
Sn+2={1,2,…,n+2} 的好子集分为两类: 包含 1 的和不包含 1 的.
因为 Sn+2 中不包含 1 的好子集每个元素均减去 1 即为 Sn+1 的好子集,
Sn+1 的每个好子集每个元素均加上 1 即为 Sn+2 的好子集, 所以 Sn+2 的不包含 1 的好子集与 Sn+1 的好
子集一一对应, 其个数为 f(n+1). 故 Sn+2 包含 1 的好子集个数为 f(n+2)−f(n+1).
同理可证: Sn+1 中包含 1 的好子集个数为 f(n+1)−f(n), 这也恰是 Sn+2 中包含 1 但不包含 n+2
的好子集个数.
于是 Sn+2 中包含 1 且包含 n+2 的好子集的个数为
(f(n+2)−f(n+1))−(f(n+1)−f(n))=f(n+2)−2f(n+1)+f(n)
故题目所求的 f(2024)−2f(2023)+f(2022) 为 S2024 的包含 1, 2024 的所有好子集的个数.
显然, {1,2024} 是好子集.
若好子集 X 中除了 1,2024 外至少还有一个元素, 则由 (2) 可知,
X 中元素从小到大排列可以构成一个等差数列, 设为 a1=1,a2,…,ak=2024.
设公差为 d, 因为 2024−1=ak−a1=(k−1)d, 而 k−1⩾2, 所以 d 为 2023=7×172 的小于 20232
的正约数, 故 d=1,7,17,7×17,172.
而每一个 d 都唯一对应一个 S2024 的包含 1,2024 的好子集,这样的子集有 5 个.
因此 f2024−2f2023+f2022=5+1=6. 分
2024 年广州市普通高中毕业班冲刺训练题(一)数学试卷及参考答案: 这是一份2024 年广州市普通高中毕业班冲刺训练题(一)数学试卷及参考答案,文件包含2024年广州市普通高中毕业班冲刺训练题一数学试卷pdf、2024年广州市普通高中毕业班冲刺训练题一数学参考答案docx等2份试卷配套教学资源,其中试卷共14页, 欢迎下载使用。
2024 年广州市普通高中毕业班冲刺训练题 (三)数学试卷及参考答案: 这是一份2024 年广州市普通高中毕业班冲刺训练题 (三)数学试卷及参考答案,文件包含2024年广州市普通高中毕业班冲刺训练题三试题定稿pdf、2024年广州市普通高中毕业班冲刺训练题三参考答案定稿docx等2份试卷配套教学资源,其中试卷共16页, 欢迎下载使用。
2024 年广州市普通高中毕业班冲刺训练题 (二)数学试卷及参考答案: 这是一份2024 年广州市普通高中毕业班冲刺训练题 (二)数学试卷及参考答案,文件包含2024年广州市普通高中毕业班冲刺训练题二数学试卷pdf、2024年广州市普通高中毕业班冲刺训练题二参考答案定稿pdf等2份试卷配套教学资源,其中试卷共11页, 欢迎下载使用。

