还剩8页未读,
继续阅读
所属成套资源:高考数学经典多题一解
成套系列资料,整套一键下载
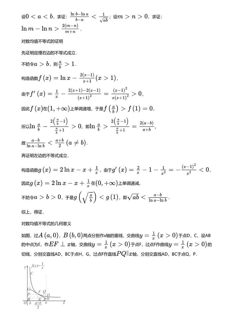
高考数学经典多题一解:函数与导数 [专题7] 对数均值不等式 巧妙解决双变量 【讲】
展开这是一份高考数学经典多题一解:函数与导数 [专题7] 对数均值不等式 巧妙解决双变量 【讲】,共11页。
相关试卷
高考数学经典多题一解:数列 [专题2] 奇偶分项 分组并项 【讲】:
这是一份高考数学经典多题一解:数列 [专题2] 奇偶分项 分组并项 【讲】,共8页。
高中数学高考专题24 利用导数解决双变量问题(原卷版):
这是一份高中数学高考专题24 利用导数解决双变量问题(原卷版),共5页。试卷主要包含了单选题,解答题等内容,欢迎下载使用。
专题23 利用导数解决双变量问题(原卷版):
这是一份专题23 利用导数解决双变量问题(原卷版),共5页。

