2024高中数学解答题常考公式及答题模板
展开
这是一份2024高中数学解答题常考公式及答题模板,共86页。试卷主要包含了弧度制的定义和公式,三角函数性质,诱导公式的记忆口诀,两角和差,二倍角和升降幂,万能公式,辅助角公式等内容,欢迎下载使用。
1、弧度制的定义和公式
定义: α=l/R ; 弧长公式 l=θr ; 扇形面积公式: S易形=12lr=12θr2 ; 弧度: 1rad≈57.3∘
2、三角函数性质
3 、图像变换
4 、同角三角函数的基本关系:
(1) sin2α+cs2α=1⇒sin2α=1−cs2α,cs2α=1−sin2α,sinα±csα2=1±2sinαcsα
(2) sinαcsα=tanα⇒sinα=tanαcsα,csα=sinαtanα . 5、诱导公式的记忆口诀:
“奇变偶不变, 符号看象限”, 其中的奇、偶是指 π2 的奇数倍和偶数倍,变与不变指函数名称变化. 三角函数值在各象限的符号规律:
一全正, 二正弦, 三正切, 四余弦.
6、两角和差: csα±β=csαcsβ∓sinαsinβsinα±β=sinαcsβ±csαsinβtanα±β=tanα±tanβ1∓tanαtanβ⇒tanα±tanβ=tanα±β1∓tanαtanβ
7、二倍角和升降幂:
sin2α=2sinαcsα , ⇒1±sin2α=sin2α+cs2α±2sinαcsα=sinα±csα2
cs2α=cs2α−sin2α=2cs2α−1=1−2sin2α .
⇒ ,升幂公式 1+csα=2cs2α2,1−csα=2sin2α2
⇒ 、降幂公式 cs2α=cs2α+12,sin2α=1−cs2α2 .
8、万能公式: sinα=2tanα21+tan2α2;csα=1−tan2α21+tan2α2
半角公式: csα2=±1+csα2;sinα2=±1−csα2 ;
tanα2=±1−csα1+csα=sinα1+csα=1−csαsinα.
9、辅助角公式: asinx±bcsx=a2+b2sinx±φ ,(其中 tanφ=ba );
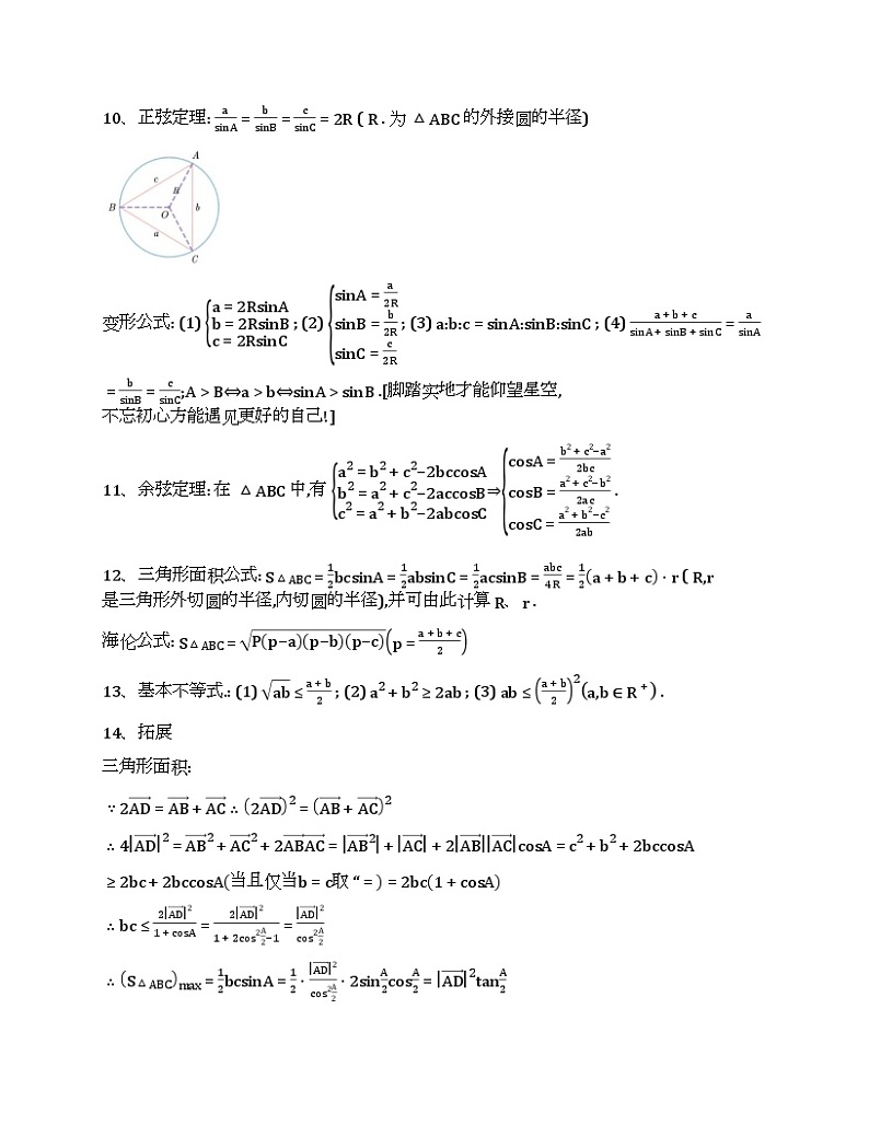
10、正弦定理: asinA=bsinB=csinC=2R ( R . 为 △ABC 的外接圆的半径)
变形公式: (1) a=2RsinAb=2RsinBc=2RsinC ; (2) sinA=a2RsinB=b2RsinC=c2R ; (3) a:b:c=sinA:sinB:sinC ; (4) a+b+csinA+sinB+sinC=asinA=bsinB=csinC;A>B⇔a>b⇔sinA>sinB .[脚踏实地才能仰望星空, 不忘初心方能遇见更好的自己!]
11、余弦定理: 在 △ABC 中,有 a2=b2+c2−2bccsAb2=a2+c2−2accsBc2=a2+b2−2abcsC⇒csA=b2+c2−a22bccsB=a2+c2−b22accsC=a2+b2−c22ab .
12、三角形面积公式: S△ABC=12bcsinA=12absinC=12acsinB=abc4R=12a+b+c⋅r ( R,r 是三角形外切圆的半径,内切圆的半径),并可由此计算 R、r .
海伦公式: S△ABC=Pp−ap−bp−cp=a+b+c2
13、基本不等式.: (1) ab≤a+b2 ; (2) a2+b2≥2ab ; (3) ab≤a+b22a,b∈R+ .
14、拓展
三角形面积:
∵2AD=AB+AC∴2AD2=AB+AC2
∴4AD2=AB2+AC2+2ABAC=AB2+AC+2ABACcsA=c2+b2+2bccsA
≥2bc+2bccsA当且仅当b=c取 “==2bc1+csA
∴bc≤2AD21+csA=2AD21+2cs2A2−1=AD2cs2A2
∴S△ABCmax=12bcsinA=12⋅AD2cs2A2⋅2sinA2csA2=AD2tanA2
三角形的周长:
4AD2=c2+b2+2bccsA=b+c2−2bc+2bccsA=b+c2+2bccsA−1
≤b+c2+2b+c22csA−1 当且仅当 b=c取“=”=12b+c21+csA
⇒b+c2≥8AD21+csA=8AD21+2cs2A2−1=4AD2cs2A2 即 b+cmin=2ADcsA2
射影定理: a=bcsC+ccsBb=acsC+ccsAc=bcsA+acsB
中线定理:
∵2AD=AB+AC∴2AD2=AB+AC2
∴4AD2=AB+AC+2ABAC=AB+AC+2AB+2ABACcsA=c2+b2+2bccsA
角平分线定理:
推导过程: S△ABDS△ACD=12AB⋅AD⋅sin∠BAD12AC⋅AD⋅sin∠CAD=12BD⋅h12CD⋅hh为高,⇒ABAC=BDCD∴ABBD=ACCD
三内角和定理:
A+B+C=π⇔π−A+B⇔C2=π2−A+B2⇔…
角的变换:
(1) 2α 是 α 的二倍; 4α 是 2α∞ 的二倍; α 是 α2 的二倍; α2 是 α4 的二倍;
(2) 15∘=45∘−30∘=60∘−45∘=30∘2 ; (3) α=α+β−β .; (4) π4+α=π2−π4−α ;
(5) 2α=α+β+α−β=π4+α−π4−α . 等等。
sinA+B=sinC,csA+B=−csC,tanA+B=−tanC,
sinA+B2=sinC2,csA+B2=sinC2,tanA+B2=csC2/sinC2=ctC2 .
在 △ABC 中 sinA=sinB⇒A=B 或者 A+B=π (舍), sin2A=sin2B⇒2A=2B 或者 2A+ 2B=π→C=π2⋯[脚踏实地才能仰望星空, 不忘初心方能遇见更好的自己!]
锐角三角形: (1)三内角都是锐角; (2)三内角的余弦值为正值; (3)任两角和都是钝角; (4)任意两边的 平方和大于第三边的平方.
特殊三角形: 直角三角形、等腰三角形、正三角形特性
常用名称和术语: 坡角, 俯角, 仰角, 方位角, 方向角
例&1: (2021 新高考一卷 19) 记 △ABC 是内角 A,B,C 的对边分别为 a,b,c . 已知 b2=ac ,点 D 在 边 AC 上, BDsin∠ABC=asinC . (1) 证明: BD=b ; (2) 若 AD=2DC ,求 cs∠ABC . 例&2: (2020 年新课标 II 17) △ABC 中, sin2A−sin2B−sin2C=sinBsinC .
(1) 求 A ;
(2) 若 BC=3 ,求 △ABC 周长的最大值.
例&3: (2019 新课标 III 18) △ABC 的内角 A,B,C 的对边分别为 a,b,c ,已知 asinA+C2=bsinA . (1) 求 B ; (2) 若 ΔABC 为锐角三角形,且 c=1 ,求 △ABC 面积的取值范围.[脚踏实地才能仰望星空, 不忘初心方能遇见更好的自己!]
例&4: (2021 新高考二卷 18) 在 △ABC 中,角 A、B、C 所对的边长分别为 a、b、c,b=a+1,c=a +2 . .
(1) 若 2sinC=3sinA ,求 △ABC 的面积;
(2) 是否存在正整数 a ,使得 △ABC 为钝角三角形? 若存在,求出 a 的值; 若不存在,说明理由
例&5: (2021 北京卷 16) 已知在 △ABC 中, c=2bcsB,C=2π3 .
(1) 求 B 的大小;
(2) 在下列三个条件中选择一个作为已知,使 △ABC 存在且唯一确定,并求出 BC 边上的中线 的长度. (1) c=2b ; (2)周长为 4+23 ; (3) 面积为 S△ABC=334 ;
专题二: 数列
1、概念: 按照一定的次序排列的一列数。分有穷、无穷、增值、递减、摆动、常数数列等
通项: an=fn ,前 n 和: Sn=a1+a2+⋯+an,⇒an=S1,n=1,Sn−Sn−1,n≥2.
2、等差数列概念
定义: an+1−an=dd为常数⇒d=am−anm−n,n=an−a1d+1
通项: an=a1+n−1d 或 an=am+n−md ; 前 n 和: Sn=na1+an2,Sn=na1+nn−12d ;
性质:
若 A 为 a 与 b 的等差中项,且 A=a+b2⇒ 当 m+n=p+q 时,则有 am+an=ap+aq ,
若 an 是等差数列,则 Sn,S2n−Sn,S3n−S2n,⋯ 也成等差数列
若 an=m,am=nm≠n ,则 am+n=0 ; 若 Sn=m,Sm=nm≠n ,则 Sm+n=−m+n
若项数为 2nn∈N* ,则 S2n=nan+an+1 ,且 S偶−S辛=nd,S偶S奇=anan+1
若项数为 2n−1n∈N* ,则 S2n−1=2n−1an ,且 S体−S侧=an,S等S的=nn−1 其中 S等=nan,S每 =n−1an .
3、等比数列概念
定义: an+1an=qq 为常数 ) ,其中 q≠0,an≠0;⇒q=n−manam ,通项: an=a1qn−1 ;
前 n 和: Sn=na1q=1a11−qn1−q=a1−anq1−qq≠1qn 指数表示项数,后者有前后两项;
性质:
当 m+n=p+q 时,则有 aman=apaq ,特别地,当 m+n=2p 时,则有 aman=ap2 .
若项数为 2nn∈N* ,则 S偶S奇=q
若 an 是等比数列, Sn,S2n−Sn,S3n−S2n 成等比数列 q≠−1 .
如果数列 an 既成等差数列又成等比数列, an 是非零常数数列.[脚踏实地才能仰望星空, 不忘初心方能遇见更好的自己!]
4 、数列的单调性
5、数列中的项的最值的求法: 根据数列与函数之间的对应关系, 构造相应函数求解.
求一般数列中的最大或最小项
前多少项和最大:
法一 (邻项变号法): 由不等式 an≥0 确定出前多少项为非负 (或非正),求出各项变化趋势符号; 法二: 因等差数列前 n 项是关于 n 的二次函数,故化为求二次函数最值,注意数列特殊性 n∈N* 。 法三: 数形结合处理,由等差数列得 Sn=d2n2+a1−d2nd0 , 从而 d0,a140,p>0
针对递推关系: an+1=panqp>0 ,处理时,可以将等式两边同取常用对数: lgan+1=lgpanq ,即 lgan+1=qlgan+lgp ,再令 bn=lgan,r=lgp 可以得到: bn+1=qbn+r ,这样就可以求出 bn 的通 项公式,进而求出 an 的通项公式.
归纳法: 先通过计算数列的前几项,再观察数列中的项与系数,根据 an 与项数 n 的关系,猜想数列 的通项公式, 最后再证明.
第一数学归纳法: 通过假设 n=k 成立,再结合其它条件去证 n=k+1 成立即可.
证明的步骤如下:
(1) 归纳验证: 验证 n=n0n0 是满足条件的最小整数) 时,命题成立
(2) 归纳假设: 假设 n=kk≥n0,n∈N 成立,证明当 n=k+1 时,命题也成立
(3) 归纳结论: 得到结论: n≥n0,n∈N 时,命题均成立
第二数学归纳法: 证明的步骤如下:
(1) 归纳验证: 验证 n=n0n0 是满足条件的最小整数) 时,命题成立
(2) 归纳假设: 假设 n≤kk≥n0,n∈N 成立,证明当 n=k+1 时,命题也成立
(3) 归纳结论: 得到结论: n≥n0,n∈N 时,命题均成立. 10 、常用求和方法
公式法:
(1) 常见的等差数列的前 n 项和公式
(1) Sn=a1+ann2 ;
(2) Sn=na1+nn−12d=nan−nn−12d ; (3) Sn=An2+Bn 其中 A=d2,B=a1−d2 .
(2) 常见的等比数列的前 n 项和公式
(1) Sn=na1q=1 ; (2) Sn=a11−qn1−qq≠1,q≠0 ;
(3) Sn=a1−anq1−qq≠1,q≠0 ; (4) Sn=mqn−m (其中 q≠1,q≠0 ).
(3) 其他的求和公式
(1) 12+22+32+⋯+n2=16nn+12n+1 ;
(2) 13+23+33+⋯+n3=1+2+3+⋯+n2=14n2n+12 ;
(3) Cn0+Cn1+⋯+Cnn=2n .
分组法:
适用于当 cn=an+bn ,求 Sn=c1+c2+c3+⋯+cn ,其中 an,bn 为两类不同性质的数列,诸如等 差、等比数列等. 求和过程如下:
Sn=c1+c2+c3+⋯+cn=a1+b1+a2+b2+a3+b3+⋯+an+bn
=a1+a2+a3+⋯+an+b1+b2+b3+⋯+bn=Tn+Hn
裂项法:
(1) 适用于 cn=man⋅an+1 ,求 Sn=c1+c2+c3+⋯+cn ,其中 an 为等差数列,公差为 d,m 为常数. 求和过程如下: 先裂项 cn=man⋅an+1=md1an−1an+1 ,再求和:
Sn=c1+c2+c3+⋯+cn=md1a1−1a2+md1a2−1a3+md1a3−1a4+⋯+md1an−1an+1
=md1a1−1a2+1a2−1a3+1a3−1a4+⋯+1an−1an+1=md1a1−1an+1[脚踏实地才能仰望星空, 不忘初心方能遇见更好的自己!]
(2) 适用于 cn=man⋅an+2 ,求 Sn=c1+c2+c3+⋯+cn ,其中 an 为等差数列,公差为 d,m 为常数. 求和过程如下: 先裂项 cn=man⋅an+2=m2d1an−1an+2 ,再求和:
Sn=c1+c2+c3+⋯+cn=m2d1a1−1a3+m2d1a2−1a4+m2d1a3−1a5+⋯+m2d1an−1an+2
=m2d1a1−1a3+1a2−1a4+⋯+1an−1an+2=m2d1a1+1a2−1an+1−1an+2
(3) 高中阶段其他的裂项形式
(1) 1nn+1n+2=121nn+1−1n+1n+2 ,(2) 1n+k+n=1kn+k−n ;
(3) ln1+kn=lnn+k−lnn ; (4) n⋅n!=n+1!−n! ;
(5) nn+1!=1n!−1n+1! ; (6) n+2n!+n+1!+n+2!=1n+1!−1n+2! ;
(7) n+2n⋅n+1⋅2n=1n⋅2n−1−1n+1⋅2n ; (8) Cnm−1=Cn+1m−Cnm ;
(9) 1n2=44n2b>0⇔x=asecθy=btanθy2a2−x2b2=1a>b>0⇔x=btanθy=asecθ .
注参数 θ ,同椭圆类似,是物理上的离心角,结合离心率理解.
3. 双曲线的一般式方程 Ax2+By2=1AB0,B0 ,同时,半焦距 c 、长半轴为 a 和短半轴为 b 是一组勾股数,满足关系式: c2=a2+b2.
6. 离心率 e=cae>1 ,离心率越大,开口越大;
双曲线的离心率是描述双曲线 “张口”大小的一个重要数据,分析和上面的椭圆类似,譬如,当 e 接近 1 时, b 越来越小,双曲线的“张口”越来越小.[脚踏实地才能仰望星空, 不忘初心方能遇见更好的自己!]
7. (1) 准线 x=±a2c ; 或 y=±a2c ; (2) 焦准距 p=a2c−c=b2c ; (3) 通径 2ep=2b2ap为焦准距 .
8. 焦半径设 Px0,y0 为双曲线上的一点,由于双曲线分两支,故焦半径分为两种.
(1) 焦点在 x 轴: P 在左支 PF1=−a−ex0PF2=a−ex0,P 在右支 PF1=a+ex0PF2=−a+ex0 ;
(2) 焦点在 y 轴: P 在下支 PF1=−a−ey0PF2=a−ey0,P 在上支 PF1=a+ey0PF2=−a+ey0 .
9. 焦点弦若过焦点的直线与双曲线的一支相交于两点 AxA,yA 和 BxB,yB ,则称线段 AB 为焦 点弦.
注双曲线焦点弦的推导方法与椭圆类似, 结果也是仅与弦中点的横坐标或者纵坐标有关.
10. 双曲线的渐近线:
x2a2−y2b2=1a>b>0⇔y=±bax; 或y2a2−x2b2=1a>b>0⇔y=±abx.
(1) 求双曲线的渐近线, 把标准方程中的 “ 1 ” 用 “ 0 ” 替换, 然后因式分解或者开方得到.
(2) 反之,若渐近线方程为 y=±bax⇔xa±yb=0⇒ 双曲线可设为: x2a2−y2b2=λ ; 类似,若已知 渐近线的方程为 mx±ny=0 ,则双曲线的方程可设为: m2x2−n2y2=λλ≠0且为常数 .
(3) 与双曲线 x2a2−y2b2=1 有公共渐近线的双曲线系方程是: x2a2−y2b2=λ(λ>0 ,焦点在 x 轴上, λ b>0 ,左、右两焦点分别为 F1、F2,Px0,y0 是椭圆上一点,在 焦点三角形 PF1F2 中, ∠F1PF2=θ,r 为 △PF1F2 的内切圆半径,则有:
(1) PF1PF2=2b21+csθ ; (2) S△F1PF2=b2tanθ2=cy0=a+c⋅r .
证明不要只记结论,推导过程也要熟悉! 根据 S△F1PF2=12PF1PF2sinθ ,只要利用 “椭圆的第一 定义 + 余弦定理”,求出 PF1PF2=2b21+csθ 即可!
易错提醒使用焦点三角形的面积公式之时,有时要注意检验 y0 的存在性 ! 张角最大与拓展:
短轴端点处 ∠F1PF2 张角最大已知椭圆 x2a2+y2b2=1a>b>0 的左、右两焦点分别为 F1、F2,P 是椭圆上一动点,在焦点三角形 PF1F2 中,若 ∠F1PF2 最大,则点 P 为椭圆短轴的端点.
证明设 PF1=m,PF1=n ,则 m+n=2a ,在 △F1PF2 中,利用余弦定理,可得:
csθ=m2+n2−4c22mn=m+n2−2mn−4c22mn=2b2mn−1≥2b2m+n22−1=2b2a2−1 ,
其中,当且仅当 m=n 时取等号,此时点 P 位于短轴端点,又因为余弦函数 y=csx 在 0,π 上单 调递减,所以,当点 P 位于短轴端点时, ∠F1PF2 取得最大值.
10 、双曲线焦点三角形的面积公式:
已知双曲线方程为 x2a2−y2b2=1a>0,b>0 ,左右两焦点分别为 F1、F2,Px0,y0 是双曲线上一 点,在焦点三角形 PF1F2 中, ∠F1PF2=θ ,则有:
(1) PF1PF2=2b21−csθ ; (2) S△F1PF2=b2tanθ2=cyb .
11、抛物线的定义:
抛物线的定义平面内与一个定点的距离等于到一条定直线的距离点的轨迹; 其中, 定点为抛物线 的焦点, 定直线叫做准线.
注 (1) 抛物线的定义,其实质可归结为 “一动三定”. 一个动点 M ,一个定点 F (抛物线的焦点), 一条定直线 l (抛物线的准线),一个定值 (点 M 与点 F 的距离和它到直线 l 的距离之比等于 1 ). (2) 定点 F∉l ,否则动点 M 的轨迹不是抛物线,而是过点 F 垂直于直线 l 的一条直线.
12、抛物线的基本参数:
下面以抛物线标准方程 y2=2pxp>0 为例,焦点在 x 轴上,开口向右;
p 的几何意义参数 p 是焦点到准线的距离,称为焦准距,故 p 恒为正数.
顶点为原点 O0,0 ,以 x 轴为对称轴,且没有对称中心,焦点为 Fp2,0 ,准线为 x=−p2 ,由于[脚踏实地才能仰望星空, 不忘初心方能遇见更好的自己!]
抛物线的离心率 e 都等于 1,故抛物线通径为 2ep=2p ;
焦半径 PF=x0+p2 ,实质就是抛物线的定义.
焦点弦 x1+x2+p=p1−csθ=2psin2θθ≠0 ; 特殊地,当 θ=π2 时,为通径 2p . [极坐标秒之] 抛物线的其他标准方程如 y2=−2px ,焦点在 x 轴上,开口向左; x2=2py ,焦点在 y 轴上,开口向 上; x2=−2py ,焦点在 y 轴上,开口向下,和以上类似,不再赘述.
13 、抛物线和椭圆、双曲线的比较:
(1) 抛物线的性质和椭圆、双曲线比较起来, 差别较大. 它的离心率等于 1 ; 它只有一个焦点、一个 顶点、一条对称轴、一条准线; 它无中心, 也没有渐近线.
(2) 椭圆、双曲线都有中心, 它们均可称为有心圆锥曲线; 抛物线没有中心, 称为无心圆锥曲线. 抛物线的焦点弦模型:
过抛物线 y2=2pxp>0 焦点 F ,且倾斜角为 θ 的直线交抛物线于 Ax1,y1、Bx2,y2 两点,设 M x0,y0 是 AB 的中点, l 是抛物线的准线,过点 A、M、B 分别作 l 的垂线,垂足分别为 C、D、N . AC、BD 分别交 y 轴于点 S、T . 连结 MN 交抛物线于点 Q ,延长 AB 交准线 l 于点 P ,则有如下 的性质:
1. 焦半径 AF=AC=x1+p2=p1−csθ,BF=BD=x2+p2=p1−csθ+π= p1+csθ ,其中 θ≠0 ; [极坐标的形式,很常用,很好使,一定要熟记! 不过,在大题中,需要提前 推导一遍才能使用 !! ]
2. 1FA+1FB=2p ; [可推广至 n 个,结合前面的极坐标专题!]
3. 焦点弦 AB=x1+x2+p=2psin2θθ≠0 ; 此外,当 θ=π2 时,此时的焦点弦也叫作通径,它是 最短的焦点弦,长度为 2p .
4. 原点 O 到焦点弦 AB 的距离为 p2sinθ ,又 AB=2psin2θ ,则 S△AOB=p22sinθ . [半个 p 方除正 弦] 5. y1y2=−p2,x1x2=p24 . [显然是等比替换性质的特例]
6. (1) 以焦点弦 AB 为直径的圆与准线 l 相切于点 N ,则 DNA⊥NB;2 在 Rt△ANB 中, NM= 12AB,NF2=AF⋅BF,AN2+BN2=AB2=AF+BF2=2MN2=4MN2; (3) 由于点 O 在以 AB 为直径的圆内,易知 ∠AOB 必为钝角,即 kOA⋅kOB0 焦点 F 的直线交抛物线于 A、B 两点,过 A、B 作抛 物线的两条切线交于点 N 、作 AC、BD 垂直于准线 l 分别于 C、D,l 与 x 轴交点为 G .
求证: (1) N 在 l 上; (2) NF⊥AB ; (3) NA⊥NB;⋯⋯
证明设 AF=λFB,Ax1,y1,Bx2,y2 ,则 x1+λx21+λ=p2y1+λy21+λ=0 ,即 x1+λx2=p21+λ⋯ (1)
又 AC=λBD ,可得 x1−λx2=p2λ−1⋯ (2),由 (1)(2) 可得: x1=pλ2,x2=p2λ ,不妨假设点 A 在 x 轴上方,则 y1=pλ,y2=−pλ . (1) 又 AN、BN 的方程分别为: yy=px+x1、yy=px+x2 ,解此方程组,并代入 A、B 两点的 坐标,可得点 N 坐标为 −p2,p2λ−1λ ,故点 N 在 l 上;[脚踏实地才能仰望星空, 不忘初心方能遇见更好的自己!]
至此, A、B、N 的坐标全部都用一个字母 λ 表示,对于接下来 (2) (3) 的证明,就很 easy了.
14 、抛物线的切线专题 (极点极线):
根据点 P 的位置分成如下三种情况:
(1) 极点 P 在抛物线上,对应的极线 l 是抛物线的切线方程
(1) 抛物线 y2=2px 上的一点 Px0,y0 切线方程方程为: y0y=px+x0 .
(2)抛物线 x2=2py 上的一点 Px0,y0 切线方程方程为: x0x=py+y0 .
(2) 极点 P 在抛物线外,对应的极线 l 是抛物线的切点弦方程
(1)抛物线 y2=2px 外一点 Px0,y0 对抛物线的切点弦的方程为: y0y=px+x0 .
(2)抛物线 x2=2py 外一点 Px0,y0 对抛物线的切点弦的方程为: x0x=py+y0 .
(3) 极点 P 在抛物线内,对应的极线 l 是过点 P 的弦两端端点的切线交点的轨迹,且此时的极线 l 必和抛物线相离
(1) 抛物线 y2=2px 内一点 Px0,y0 对抛物线的极线方程为: y0y=px+x0 .
(2) 抛物线 x2=2py 内一点 Px0,y0 对抛物线的极线方程为: x0x=py+y0 .
抛物线两条切线的交点一一双切线模型:
焦点在 x 轴如图所示,直线和抛物线 y2=2pxp>0 交于 A、B 两点,过点 A、B 分别作切线交于 点 P ,设 Ax1,y1,Bx2,y2 ,则点 P 的坐标为 y1y22p,y1+y22 .
因此,过点 P 作 PQ 平行 x 轴,交 AB 于点 Q ,则 Q 是弦 AB 的中点.
证明易知抛物线在点 A、B 处的切线方程为: y1y=px+x1y2y=px+x2 ,即 y1y=px+y122p⋯(1)y2y=px+y222p⋯(2) ,
由(1) - (2) 可得: y1−y2y=y1+y2y1−y22 ,即 y=y1+y22 ,进而易得 x=y1y22p .
记忆说明显然,切线交点 P 的纵坐标是两个切点 A、B 纵坐标和的一半,而横坐标和抛物线的替 15、阿基米德三角形:
抛物线的弦与过弦的端点的两条切线所围的三角形, 这个三角形常被称为阿基米德三角形. 这 是由于阿基米德最早利用逼近的思想证明了: 抛物线的弦与抛物线所围成的封闭图形的面积等 于阿基米德三角形面积的 23 .
16 、阿基米德三角形的常见性质:
此处以抛物线 y2=2pxp>0 为例进行说明: 以 F 为焦点的抛物线 y2=2pxp>0 在点 A、B 处 的切线相交于点 P ,则 △PAB 就是阿基米德三角形,且称弦 AB 为阿基米德三角形的底边.
抛物线在点 I 处的切线分别交 PA、PB 于点 S、T ,此时,一般称 △PST 为切线三角形, △IAB 为 切点三角形.
1. 设点 Ax1,y1,Bx2,y2 ,则点 P 的坐标为 y1y22p,y1+y22 .
2. (1) 若点 P 为定点 x0,y0 ,则底边 AB 的方程为 y0y=px+x0 ;
(2) 若底边 AB 过定点 x0,y0 ,则点 P 在定直线 ygy=px+x0 上; 特殊地,若底边 AB 过的定点是 焦点 p2,0 ,则点 P 在准线 x=−p2 上. [参考抛物线的极点极线专题]
3. (1) 阿基米德三角形的底边中线平行于 x 轴,如图,设底边 AB 的中点为 Q ,则 PQ//x 轴; (2) 设 PQ 与抛物线交于点 M ,则 M 是线段 PQ 的中点;
(3) 过点 M 作抛物线的切线,则此切线和底边 AB 平行.
抛物线的中切线性质已知二次函数的割线与二次函数相交于 A、B 两点,若二次函数在点 C 处的 切线与割线平行,则 A、B 中点与点 C 的横坐标相同.
证明不妨令二次函数为 fx=ax2 ,设 Ax1,ax12,Bx2,ax22,Cx1+x22,ax1+x222 ,
则 kAB=ax12−ax22x1−x2=ax1+x2=2a×x1+x22=f′x1+x22 .
4. AF⋅BF=PF2 ,即 AF、PF、BF 成等比数列. [ AB 不是焦点弦也成立!]
5. ∠PFA=∠PFB . [4 和 5 的证明,可参考下面的例题,对于 5 的证明,也可以利用光学性质,[脚踏实地才能仰望星空, 不忘初心方能遇见更好的自己!]
具体参见前面的相关专题]
6. 切点 △IAB 的面积是切线 △PST 面积的 2 倍,即 S△IABT=2S△PST .
证明设 Ay122p,y1,By222p,y2,Iy322p,y3 ,则 Py1y22p,y1+y22,Sy1y32p,y1+y32,Ty2y32p,y2+y32 .
注意到 yA−yB=yA−y2,yS−yT=yA+yb2−y2+yb2=12yA−y2 ,联想到三角形面积的分割 法! 因此,过点 I 作 x 轴的平行线交 AB 于点 I1 ,过点 P 作 x 轴的平行线交 ET 于点 P1 ,则
S△IAB=12Π1yA−yB=12Π1yA−y2,S△PST=12PP1yS−yT=14PP1yA−y2 ,
所以,欲证明 S△IAB=2S△PST 成立,只需证明 H1=PP1 成立即可.
直线 AB 的方程为: y1+y2y=2px+y1y2 ,令 y=y3 得: xI1=y1+y2y3−y1y22p .
抛物线在点 I 处的切线为: yy3=px+x3 ,令 y=y1+y22 得: xP1=y1+y2y32p−x3= y1+y2y3−y322p .
由于 Π1=xl1−xl=y1+y2y3−y1y22p−y322p,PP1=xP1−xP=y1+y2y3−y322p−y1y22p ,显然,
I1=PP1 是成立的!
7. (1) 切线 △PST 的外接圆过抛物线的焦点 F ,即 P、S、T、F 四点共圆,如图中的圆 O1 ;
(2) 特殊地,设直线 AP、BP 分别与 y 轴交于点 C、D ,则 P、C、D、F 四点在以 PF 为直径的圆 上,如图中的圆 O2 .
证明 (1) 设 Ay122p,y1,By222p,y2,Iy022p,y0 ,易得 Sy0y12p,y0+y12,Ty0y22p,y0+y22 , Py1y22p,y1+y22 .
注意到 ∠SPT ,即 ∠APB 的大小只和 y1、y2 有关,因此,只要能够证明 ∠SFT 的大小也只和 y1、y2 有关,而与 y0 无关,亦即利用到角公式,证明 tan∠APB+tan∠SFT=0 成立即可.
易知 kAP=py1,kBP=py2 ,故 tan∠APB=kAP−kBP1+kAP⋅kBP=py1−py21+py1⋅py2=py2−y1y1y2+p2 ; 由于 kSF=y0+y12y0y12p−p2=py0+y1y0y1−p2 ,同理 kTF=py0+y2y0y2−p2 ,故
tan∠SFT=kTF−kSF1−kTF⋅kSF=py0+yby0y2−p2−py0+yby0y0−p21+py0+yby0y2−p2⋅py0+yby0y1−p2=−py2−y0y02+p2y1y2+p2y02+p2=−py2−y0y1y2+p2,
因此, tan∠APB+tan∠SFT=0 ,亦即 ∠APB+∠SFT=π ,即 P、S、T、F 四点共圆得证.
(2) 直线 AP 为 yyh=px+x1=px+yh22p ,令 x=0 ,可得 C0,yh2 ,因此, kCF=yh20−p2=−yhp , 显然 kCF*kAP=−1 ,同理可得 kDF⋅kBP=−1 ,所以, ∠PCF=∠PDF=π2 ,即 P、C、D、F 四点在 以 PF 为直径的圆上.
8. 切线 △PST 的垂心 H 在抛物线的准线 x=−p2 上.
9. (1) 当点 P 在直线 x=m 上运动时,则底边 AB 恒过定点 −m,0 ,且 kPA⋅kPB 为定值 p2m ;
(2) 特殊地,当点 P 在准线 x=−p2 上运动时,则底边 AB 恒过焦点 p2,0 ,且 kPA⋅kPB=−1 ,即 PA⊥PB ; 同时,亦有 kPF⋅kAB=−1 ,即 PF⊥AB . [串联到焦点弦模型]
10. 设底边 AB 与 x 轴的焦点为 N ,则 kPA+kPB=2kPN ,即 kPA、kPN、kPB 成等差数列.
11. (1) 设 Px0,y0 ,则阿基米德 △PAB 的面积为: S△PAB=y02−2px03p=y1−y238p ;
(2) 特殊地,当底边 AB 过焦点 Fp2,0 时,由于 y1y2=−p2 ,故此时 S△PAB 的最小值为 p2 .
证明 (1) 直线 AB 的方程为: y1+y2y=2px+y1y2 ,又 x0=y1y22py0=y1+y22 ,故点 P 到直线 AB 的距离为:
d=y1+y2⋅y1+y22−2p⋅y1y22p−y1y2y1+y22+4p2=y1−y222y1+y22+4p2,
又 AB=1+y1+y224p2y1−y2=y1+y22+4p22p⋅y1−y2 ,故 S△PAB=12⋅d⋅AB=y1−y238p .[脚踏实地才能仰望星空, 不忘初心方能遇见更好的自己!]
如果利用 x0=y1y22pyb=y1+y22 换掉 yh−y2=y1+y22−2y1y2 ,亦可得到 S△PAB=y02−2px03p .
注(1)原汁原味含参推导是最快的, 且和抛物线的两点式方程相呼应! 即使是过焦点! !
(2)阿基米德三角形面积公式的形式有两个, 该选择哪个? 根据具体的题目具体选择使用.
12. (1) ASSP=SIIT=PTTB ;
(2) 对 △IAB 而言,可以视切线 △PST 为割线应用 “梅涅劳斯定理”,即为 ASSI⋅ITTB⋅BPPA=1 . 证明转化为坐标比即可, 比较简单, 此处以 (1) 为例进行证明.
设点 A、B、I 的纵坐标分别为 yA、y2、y3 ,则点 P、S、T 的纵坐标分别为 yA+y22、yA+y32、y2+y32 .
则 ASSP=yh−yh+yh2yh+yh2−yh+yh2=yh−yhyh−yh,SIIT=yh+yh2−yhyh−yh=yh−yhyh−yh ,所以 ASSP=SIIT ;
同理可证得: PTTB=SIIT ,故 ASSP=SIIT=PTTB 得证.
13. 抛物线的焦点到切线三角形三个顶点的距离之积与到切点三角形三个顶点的距离之积相等. 16 、直线与圆锥曲线的位置关系:
1. 代数法: 把圆锥曲线方程 C 与直线方程 l 联立,消去 y (也可以消去 x ),整理得到关于 x (或者 y ) 的一元方程 ax2+bx+c=0 .
(1) 当 a≠0 时: 计算 Δ=b2−4ac .
若 Δ>0 ,则 C 与 l 相交;
若 Δ=0 ,则 C 与 l 相切;
若 Δ0 ,过焦点 F 的直线与抛物线交于 A,B 两点,
设 Ax1,y1,Bx2,y2 ,那么 AF=x1+p2BF=x2+p2,AB=AF+BF=x1+x2+p
(2) 已知抛物线 x2=2pyp>0 ,过焦点 F 的直线与抛物线交于 A,B 两点,
设 Ax1,y1,Bx2,y2 ,那么同理: AB=y1+y2+p
21 、圆锥曲线题目中的条件往往与坐标无关, 那么具体如何转化为坐标表达:
下面举出常见的案例
已知直线 AB 与某曲线相交,设 Ax1,y1,Bx2,y2,M2,0,O 为原点,将下列问题换为关于 x1
,x2,y1,y2 的坐标表达式
情形一: 当遇到 OA⊥OB 可转化为 OA⋅OB=0⇔x1x2+y1y2=0
遇到 MA⊥MB 或者 AM=2MB 怎么办?
情形二: 遇到 MA=MB 可转化为 x1−22+y2=x2−22+y22
情形三: 遇到 A,B,M 三点共线可转化为 kMA=kMB⇔y1x1−2=y2x2−2 情形四: 遇到 ∠AMB 为锐角 ⇒MA⋅MB>0
情形五: M 在直线 AB 上, AM=2BM⇒1+1k2y1−0=21+1k2y2−0( 弦长公式 )
情形六: △AOM 的面积等于 ΔBOM 的面积的 2 倍 ⇒y1=2y2
情形七: ∠AMO=∠BMO⇒kAM+kBM=0⇔y1x1−2+y2x2−2=0
情形八: AB 的中垂线过点 M
答: AM=BM⇔x1−22+y12=x2−22+y22
或者取 AB 的中点为 M0 ,则 kABkMM0=−1,M0 代入直线 AB 的方程等号成立.
情形九: 点 M 在以 AB 为直径的圆上转化为 MA⋅MB=0
若点 M 在以 AB 为直径的圆内转化为 MA⋅MB∠AMO⇔AM>OA (正弦定理)
情形十七: OAcs∠AOB=OA⋅OBOB数量积与投影
可以看出: 上述案例转化后的落脚点都是长度、垂直、平行、向量表示、三点[脚踏实地才能仰望星空, 不忘初心方能遇见更好的自己!]
共线、直线方程。这是因为我们的长度有距离公式的坐标表达, 像垂直、平行、
向量都可转化为相应的坐标表达。对于角度的处理, 我们往往借助三角函数,
可以把角度转化为长度表达. 有时候还需要借助几何分析: 如初中三角函数定义,
相似三角形, 圆的相关几何定理, 平行四边形的性质等。
22 、韦达定理公式和硬解定理:
1. 一元二次方程公式
(1) 求根公式设 x1、x2 是二次方程 ax2+bx+c=0 的两个根,则有 x1,2=−b±b2−4ac2a .
注(1)推导方法一般利用配方法,即 ax+b2a2+4ac−b24a=0 ; (2)记忆方法或者结合对称轴和判 别式,简记为 x1,2=−b±Δ2a .
(2) 韦达定理设 x1、x2 是二次方程 ax2+bx+c=0 的两个根,则有 x1+x2=−ba,x1⋅x2=ca .
拓展公式(1) x1−x2=x1+x22=x1+x22−4x1x2=−ba2−4ca=b2−4aca=Δa .
(2) x1x2+x2x1+2=x1+x22x1x2=b2ac ,即 b2=x1x2+x2x1+2ac .
注(2)的用法见后面的非对称韦达定理专题.
2. 硬解定理一一此处以直线和椭圆方程的联立为例进行说明
联立 x2a2+y2b2=1Ax+By+C=0 消去 y ,可得: a2A2+b2B2x2+2AC⋅a2x+a2C2−b2B2=0 .
(1) 韦达定理 x1+x2=−2AC⋅a2a2A2+b2B2,x1x2=a2C2−b2B2a2A2+b2B2 .
注 (1) a2A2+b2B2 ,等效判别式的前半部分; 消去 y 时,都有 a2;x1+x2 中的 −2AC 强记一下; x1x2 中 的 C2−b2B2 ,消去谁就减去谁.
(2) 如果是消去 x ,只需要把公式中的字母中的 a、A 分别换为 b、B 即可,而分母和 C 均不用变!
即 y1+y2=−2BC⋅b2a2A2+b2B2,x1x2=b2C2−a2A2a2A2+b2B2 .
(3)考试的时候, 可以先写出韦达定理, 再逆推出联立的方程!! (2) 完全判别式 Δx=4a2b2⋅B2⋅a2A2+b2B2−C2 ,
注(1)一定要和 “等效判别式” Δ′=a2A2+b2B2−C2 区分开! ! 对于等效判别式,可以借助三角函数 进行记忆.
(2)判别式中的 B2 ,消去谁就留谁! 故消去 x ,对应的判别式为: Δy=4a2b2⋅A2⋅a2A2+b2B2−C2 .
(3) 弦长公式弦长 =2a2b2A2+B2a2A2+b2B2−c2a2A2+b2B2
注(1)公式的分母都是 a2A2+b2B2;a2b2A2+B2a2A2+b2B2 ,这部分是一顺写.
(2)记忆口诀这个公式有点“二”,小方积、大方和,大方小方成对去虐单 C 方,虐完 C 方去下方.
(3)公式的好处传统的弦长公式有两个,一定要注意区分两者的区别!!, 因此, 熟记上述弦长公式, 可以避免由于用错弦长公式而带来的错误!!!!
消 y 版: 弦长 =1+k2⋅x1−x2=1+k2⋅Δxa=2a2b2A2+B2a2A2+b2B2−c2a2A2+b2B2 ;
消 x 版: 弦长 =1+1k2⋅y1−y2=1+1k2⋅Δya=2a2b2A2+B2a2A2+b2B2−c2a2A2+b2B2 .
(4)和判别式串联显然利用(3)中的公式,也可轻松逆推出判别式 Δx 或 Δy .
(5)易错提醒如果是椭圆, 公式中绝对值符号可以直接拿掉! 但是, 对于双曲线, 绝对值符号不能 省略!! 同时,直线和双曲线的渐近线二合一方程 “ x2a2−y2b2=0 ”,也不能用此弦长公式!!!
(4) 求根公式写出通式,利用上面韦达定理和判别式相应代入即可! 不过,实际没啥用!!
x1,2=−b±Δx2a=−−2AC⋅a2±4a2b2⋅B2⋅a2A2+b2B2−C22a2A2+b2B2
=AC⋅a2±a2b2⋅B2⋅a2A2+b2B2−C2a2A2+b2B2
y1,2=−b±Δy2a=−−2BC⋅b2±4a2b2⋅A2⋅a2A2+b2B2−C22a2A2+b2B2
=BC⋅b2±a2b2⋅A2⋅a2A2+b2B2−C2a2A2+b2B2
请思考如果是直线和双曲线联立,即 x2a2−y2b2=1Ax+By+C=0 ,此时又当如何?[脚踏实地才能仰望星空, 不忘初心方能遇见更好的自己!]
分析由于 x2a2−y2b2=x2a2+y2−b2=1 ,只需要将 −b2 替换上面的 b2 即可,也就是 b2 的前面添个负 号 !! 其实,如果把上述推导过程中的 a2、b2 分别换为 m、n ,则更显然 ! !
易错提醒对于直线和双曲线的渐近线二合一方程 “ x2a2−y2b2=0 ” 联立,即 x2a2−y2b2=0Ax+By+C=0 ,上
述硬解定理是不成立的!!
使用说明硬解定理以前在网络上还是很流行的, 所以本人在此给出一个简单总结, 其中包含的公 式有很多, 但是, 个人认为, 只有那个弦长公式还有点实用性, 毕竟解析几何大题中, 经常用到弦 长公式, 考试之时, 可以作为检验之用! 同时, 弦长公式有口诀, 也不是很难记忆! !
至于韦达定理公式, 实际上也没啥大用, 毕竟把直线和圆锥曲线联立, 这个过程并不复杂;
至于完全判别式公式, 实际解题时, 往往 “等效判别式”就足够用的了, 因此, 也么啥用.
23 、直线方程复杂时的换元联立:
比如联立 y=kx−x0+y0x2a2+y2b2=1 ,显然会很复杂,
因此,可以令 m=y0−kx0 ,再联立 y=kx+mx2a2+y2b2=1 就简单很多了.
24 、两种点差法:
点差法: 中点点差法和对称点点差法
(1) 设 AB 是椭圆 x2a2+y2b2=1 的不平行于对称轴的弦, M 为 AB 的中点, C 是椭圆上一点,且弦 BC (也叫椭圆的直径) 过椭圆的中心 O ,则有: kOM⋅kAB=kAB⋅kAC=−b2a2 .
证明设 Ax1,y1,Bx2,y2,C−x2,−y2,Mx0,y0 ,
则 x12a2+y12b2=1x22a2+y22b2=1 作差可得: y1−y2x1−x2⋅y1+y2x1+x2=y1−y2x1−x2⋅y0x0=−b2a2 ,即 kAB⋅kAC=kOM⋅kAB=−b2a2 ,
故得证.
注(1)对于 kOM⋅kAB=−b2a2 ,这个性质一般称为有心圆锥曲线的 “垂径定理”,一般也称作 “中点点 差法”!
(2) 对于 kAB⋅kAC=−b2a2 ,一般称作“对称点点差法”,第三定义就是此形式的一个特例.
(3)当点 A、B 不断接近,直至为同一点 M 时,设点 M 处的切线为 l ,此时亦有 kOM⋅kl=−b2a2 !
(2) 设 AB 是双曲线 x2a2−y2b2=1 的不平行于对称轴的弦, M 为 AB 的中点, C 是双曲线上一点, 且弦 BC 过双曲线的中心 O ,则有: kOM⋅kAB=kAB⋅kAC=b2a2 .
(3) 如图,设 AB 是抛物线 y2=2px 的不垂直于对称轴的弦, M 为 AB 的中点,设 Mx0,y0 ,则有: (1) kAB=py0 ; (2) kOM⋅kAB=px0 .
易错提醒 1 由于 “ AB 是不平行于对称轴的弦”,因此,在使用点差法解题之时,需要讨论斜率为 0 和斜率不存在两种情况!!
易错提醒 2 点差法是形式化的定义, 与有心圆锥曲线的焦点在哪个轴没有关系! !
25、中点弦和弦中点轨迹
1. 中点弦的轨迹方程
(1) 在椭圆 x2a2+y2b2=1 中,若弦 AB 的中点为 Mx0,y0 ,弦 AB 称为中点弦,则中点弦的方程是: xx0a2+yy0b2=x02a2+y02b2 ,是直线方程!
注当中点 M 无限接近椭圆时,则 x02a2+y02b2→1 ,亦即 xx0a2+yy0b2→1 ,可以理解为割线 AB 变为切 线 AB .
(2) 在双曲线 x2a2−y2b2=1 中,若弦 AB 的中点为 Mx0,y0 ,弦 AB 称为中点弦,则中点弦的方程 是: xx0a2−yy0b2=x02a2−y02b2 ,是直线方程!
注双曲线中点弦存在定理: 若 Mx0,y0 不是原点,则双曲线 x2a2−y2b2=1 存在以 Mx0,y0 为中点 的中点弦的充要条件是点 M 的坐标满足: x02a2−y02b21 ,其中, x02a2−y02b2>1 对应 的是双曲线的内部, x02a2−y02b20⇒ρ=ep1−ecsαP到左焦点的距离,即曲线开口朝正方向ρ=ep1+ecsαP到右焦点的距离,即曲线开口朝负方向
(2)双曲线的极坐标相对复杂一点, 但是, “右右”和“左左”和上面的规律是一致的.
x2a2−y2b2=1a>0,b>0
⇒ρ=ep1−ecsα曲线开口朝正方向ρ=ep1+ecsαρ=ep1−ecsα右右,即P在右支,到右焦点的距离ρ=−ep1−ecsα右左,即P在右支,到左焦点的距离ρ=ep1+ecsα左左,即P在左支,到右焦点的距离ρ=−ep1+ecsα左右,即P在左支,到右焦点的距离 (3)抛物线的极坐标 y2=2pxp>0⇒ρ=p1−csα . 28 、焦弦常数
焦弦常数设点 P 为椭圆或双曲线上任一点,过焦点 F1、F2 分别作弦 PA、PB ,设 PF1=λF1A,PF2 =μF2B ,连结 AF2、BF1 交于点 Q ,则:
(1) λ+μ=2a2+c2a2−c2=21+e21−e2 ;
(2) QF1+QF2=2aλ+μ−11+λ+μ ,即点 Q 的轨迹是以 F1、F2 为焦点的椭圆.
证明 (1) 1PF1+1AF1=2ep⇒1+λ=2ep⋅PF11PF2+1BF1=2ep⇒1+μ=2ep⋅PF2⇒2+λ+μ=2ep×2a⇒λ+μ=21+e21−e2 .
(2) 如图,作 CF2//BF1 交 PA 于点 C ,则 PF1F1A⋅AQQF2⋅F2BBP=PF1F1A⋅AF1F1C⋅F1CPF1=1( 实际上,就是 对 △PAF2 和割线 BQF1 利用梅氏定理),即:
λ⋅2a−AF1−QF2QF2⋅11+μ=1,解得QF2=λ2a−AF11+λ+μ.
同理可得: QF1=μ2a−BF21+λ+μ ,故
QF1+QF2=2aλ+μ−λAF1+μBF21+λ+μ=2aλ+μ−PF1+PF21+λ+μ=2aλ+μ−11+λ+μ .
推广如果将焦点 F1、F2 换成 M1−m,0、M2m,0 ,则 λ+μ=2a2+m2a2−m2 .
证明对 PM1=λM1APM2=μM2A ,利用定比点差法易得: 2xp=−m−a2m+−m+a2mλ2xp=m+a2m+m−a2mμ ,后略.
28 、焦点弦的弦长公式:
焦点弦的弦长公式:
(1) 对于椭圆, AB=ep1−ecsθ+ep1−ecsπ+θ=2ep1−e2cs2θ .
(2) 对于双曲线, 分成两种情况:
(1)若 A、B 在双曲线同一支上, AB=ep1−ecsθ+ep1−ecsπ+θ=2ep1−e2cs2θ ;[脚踏实地才能仰望星空, 不忘初心方能遇见更好的自己!]
(2) 若 A、B 在双曲线不同支上, AB=−ep1+ecsθ−ep1−ecsθ=−2ep1−e2cs2θ .
(3) 对于抛物线, AB=p1−csθ+p1−csπ+θ=2psin2θ .
29 、题型: AF=λFB
性质已知圆雉曲线 ψ 的离心率为 e ,过焦点 F 的弦 AB 与 ψ 的焦点所在的轴的夹角为 θ ,且 AF= λFB ,则有:
(1) 当焦点 F 内分弦 AB 时,有 e⋅csθ=1−λ1+λ ;
设直线 AB 的斜率为 k ,则有:
(1) e1+k2=1−λ1+λ (焦点 F 在 x 轴); (2) e1+1k2=1−λ1+λ (焦点 F 在 y 轴).
(2) 当焦点 F 外分弦 AB 时 (此时曲线为双曲线),有 e⋅csθ=1+λ1−λ ,即 e1+k2=1+λ1−λ . 设直线 AB 的斜率为 k ,则有:
(1) e1+k2=1+λ1−λ (焦点 F 在 x 轴); (2) e1+1k2=1+λ1−λ (焦点 F 在 y 轴).
证明 AF=λFB⇔AF=λFB (内分) 或 AF=−λFB (外分),利用极坐标方程即可轻松证 明, 具体过程略.
注(1)注意到 θ 是夹角,不是直线的倾斜角!
(2)对于双曲线,要先判断弦 AB 和双曲线的位置关系,是交于单支还是双支;
(3)上面的公式可能很多,但是,考试中,一般都是焦点在 x 轴的情况,且内分,因此,可以熟记公式
e⋅csθ=e1+k2=1−λ1+λ,
而且分母的结构类似, 便于记忆. 至于其他的公式, 可以在此公式的基础上,进行相应的修改即 可.
(4)如果可以预先知道 λ 和 1 的大小关系,可以先去掉公式中的绝对值符号.
(5)当然了, 如果记不住上面的公式, 那就老老实实利用极坐标公式求解!! ! 个人并不推荐记忆这些公式!!
30 、原点为极点的极坐标系:
在直角坐标系中,如果以原点为极点,极轴与 x 轴的正方向同向,建立极坐标系,根据极坐标和直 角坐标系的转换关系: x=ρcsθy=ρsinθ ,可得圆雉曲线在两个坐标系下的对应方程形式如下:
椭圆: x2a2+y2b2=1⇔1ρ2=cs2θa2+sin2θb2 ;
双曲线: x2a2−y2b2=1⇔1ρ2=cs2θa2−sin2θb2 ;
抛物线: y2=2px⇔ρ=2pcsθsin2θ .
此时, ρ 的几何意义是: 圆锥曲线的上的点到原点的距离.
原点极坐标系的使用说明: 特征条件,夹角是 π2 .
注原点极坐标系和三角函数的的定义是相通的, 因此, 解题时, 也可以直接以三角函数定义的形 式书写, 具体参考例题.
31 、直线参数方程基础知识
1. 直线参数方程的标准式
过点 P0x0,y0 ,倾斜角为 α 的直线 l 的参数方程是: x=x0+tcsα,y=y0+tsinα ( t 为参数). 其中,直线 l 的方 向向量为 csα,sinα ,斜率为 tanα,α 为倾斜角,且 0≤α0 ; 当点 P 在点 P0 的下方时, t1 的 左、右顶点, 例&34: (2021. 全国乙卷) 已知抛物线 C:y2=2pxp>0 的焦点 F 到准线的距离为 2 . G 为 E 的上顶点, AG⋅GB=8,P 为直线 x=6 上的动点, PA 与 E 的另一交点为 C,PB 与 (1) 求 C 的方程;
E 的另一交点为 D . (2) 已知 O 为坐标原点,点 P 在 C 上,点 Q 满足 PQ=9QF ,求直线 OQ 斜率的最大值.
(1) 求 E 的方程;
(2) 证明: 直线 CD 过定点.[脚踏实地才能仰望星空, 不忘初心方能遇见更好的自己!]
例&35: (2020 年北京卷 20) 已知椭圆 C:x2a2+y2b2=1 过点 A−2,−1 ,且 a=2b .
(I) 求椭圆 C 的方程:
(II) 过点 B−4,0 的直线 l 交椭圆 C 于点 M,N ,直线 MA,NA 分别交直线 x=−4 于点 P
, Q . 求 PBBQ 的值. 例&36: (2021 年高考全国乙卷理科) 已知抛物线 C:x2=2pyp>0 的焦点为 F ,且 F 与圆 M:x2
+y+42=1 上点的距离的最小值为 4 .
(1) 求 p ;
(2) 若点 P 在 M 上, PA,PB 是 C 的两条切线, A,B 是切点,求 △PAB 面积的最大值.
[脚踏实地才能仰望星空, 不忘初心方能遇见更好的自己!]
例37: (2021. 全国甲卷) 抛物线 C 的顶点为坐标原点 O . 焦点在 x 轴上,直线 l:x=1 交 C 于 P , Q 两点,且 OP⊥OQ . 已知点 M2,0 ,且 ⊙M 与 l 相切.
(1) 求 C,⊙M 的方程;
(2) 设 A1,A2,A3 是 C 上的三个点,直线 A1A2,A1A3 均与 ⊙M 相切. 判断直线 A2A3 与 ⊙M 的 位置关系, 并说明理由.
例&38: (2021 新高考 1 卷 ) 在平面直角坐标系 xOy 中,已知点 F1−17,0、F217,0,MF1− MF2=2 ,点 M 的轨迹为 C .
(1) 求 C 的方程;
(2) 设点 T 在直线 x=12 上,过 T 的两条直线分别交 C 于 A、B 两点和 P,Q 两点,且 TA⋅ TB=TP⋅TQ ,求直线 AB 的斜率与直线 PQ 的斜率之和.[脚踏实地才能仰望星空, 不忘初心方能遇见更好的自己!]
例&39: (2021 ⋅ 新高考 II ) 已知椭圆 C 的方程为 x2a2+y2b2=1a>b>0 ,右焦点为 F2,0 ,且高 心率为 63 .
(I) 求椭圆 C 的方程;
(II) 设 M,N 是椭圆 C 上的两点,直线 MN 与曲线 x2+y2=b2x>0 相切. 证明: M,N,F 三点共线的充要条件是 MN=3 . 例&40: (2019. 新课标 III ) 已知曲线 C:y=x22,D 为直线 y=−12 上的动点,过 D 作 C 的两条切 线,切点分别为 A,B .
(1) 证明: 直线 AB 过定点。;
(2) 若以 E0,52 为圆心的圆与直线 AB 相切,且切点为线段 AB 的中点,求四边形 ADBE 的面积.[脚踏实地才能仰望星空, 不忘初心方能遇见更好的自己!]
例&41: (2017 年高考数学新课标 I 卷) 已知椭圆 C:x2a2+y2b2=1a>b>0 ,四点 P11,1,P20,1 ,P3−1,32,P41,32 中恰有三点在椭圆 C 上.
(1) 求 C 的方程;
(2) 设直线 l 不经过 P2 点且与 C 相交于 A,B 两点,若直线 P2A 与直线 P2B 的斜率的和为 -1, 证明: l 过定点.
例&42: (2019 年高考数学课标全国 II 卷) 已知点 A−2,0,B2,0 ,动点 Mx,y 满足直线 AM 与 BM 的斜率之积为 −12 . 记 M 的轨迹为曲线 C .
(1) 求 C 的方程,并说明 C 是什么曲线;
(2) 过坐标原点的直线交 C 于 P,Q 两点,点 P 在第一象限, PE⊥x 轴,垂足为 E ,连结 QE 并 延长交 C 于点 G .
(i) 证明: △POG 是直角三角形; (ii) 求 △POG 面积的最大值.
[脚踏实地才能仰望星空, 不忘初心方能遇见更好的自己!]
一般地,求函数 y=fx 在区间 [a,b] 上的最大值和最小值的步骤如下:
(1) 求函数 y=fx 在区间 a,b 上的极值;
(2) 将函数 y=fx 的各极值与端点处的函数值 fa,fb 比较,其中最大的一个是最大值,其中 最小的一个是最小值. 说明:
(1)可以学会使用的符号: (1) fxmax=max{fp,fq}=⋯,Qfxmin=min{fp,fq}=⋯ . (2)若函数 y=fx 在区间 a,b 上无极值点,则它必为单调函数;
(3)若函数 y=fx 在区间 a,b 上只有唯一极值点,则它必为最值点; 7、零点
函数 Fx=fx−gx 有零点或者方程 fx=gx 有解:
(1) (代数法) 根据极值正负,画图观察函数 Fx=fx−gx 图像与 X 轴交点情况;
(2) (几何法) 作图要准确。方程 fx=gx ,两个函数图像有交点。
零点定理: 设函数 fx 在闭区间 [a,b] 上连续,且 fa⋅fb0 ;
(4) ∀x∈D ,均有 fx0,fxe16 ;
(2) eλx>lnxλ⇒λeλx>lnx⇒λx⋅eλx>xlnx⇒λx⋅eλx>lnx⋅elnx⇒λx>lnx⇒λ>1e ;
(3) eax+ax>lnx+1+x+1=elnx+1+lnx+1⇒ax>lnx+1[脚踏实地才能仰望星空, 不忘初心方能遇见更好的自己!]
2. 构法特点: 观察式子结构的特征, 结合 “变脸”、“改头换面” (也即指对互化), 构法通常有:
(1) 乘法同构,即乘 x 同构,如 lna⋅exlna>lnx⇔xlna⋅exlna>lnx⋅elnx ;
(2) 加法同构,即加 x 同构,
如ax>lgax⇔ax+x>lgax+x=algax+lgax,
再比如 eλx>lnxλ⇒eλx+x>lnxλ+x=eλ⋅lnxλ+lnxλ .
(3) 两种构法的区别:
(1)乘法同构,对变形要求低,找亲戚函数 xex 与 xlnx 易实现,但构造的函数 xex 与 xlnx 均不是单 调函数;
(2)加法同构, 要求不等式两边互为反函数, 构造后的函数为单调函数, 可直接由函数不等式求参 数范围;
如 ax>lgax⇔ax+x>lgax+x 恒成立中, y=ax 与 y=lgax 互为反函数,只需 ax>x 即可.
3. 指、对互反中的反函数对称 –即关于 y=x 的对称.
如 ax>lgax 中, y=ax 与 y=lgax 互为反函数, ax>lgax⇔ax>xa>1 ,数形结合,直观高 效.
15 、巧用放缩法, 常用的放缩公式 (考试时需给出证明过程)
第一组: 对数放缩
(放缩成一次函数) lnx≤x−1,lnx−1,ln1x≥−x+1x>0
(放缩成双撒函数) lnx1,lnx>12x−1x0
相关试卷
这是一份2024年高考数学第一轮复习:高中数学各题型答题模板+公式(2)(1),共37页。
这是一份高中数学考试答题模板,共25页。
这是一份高中数学万能答题模板二,共3页。

