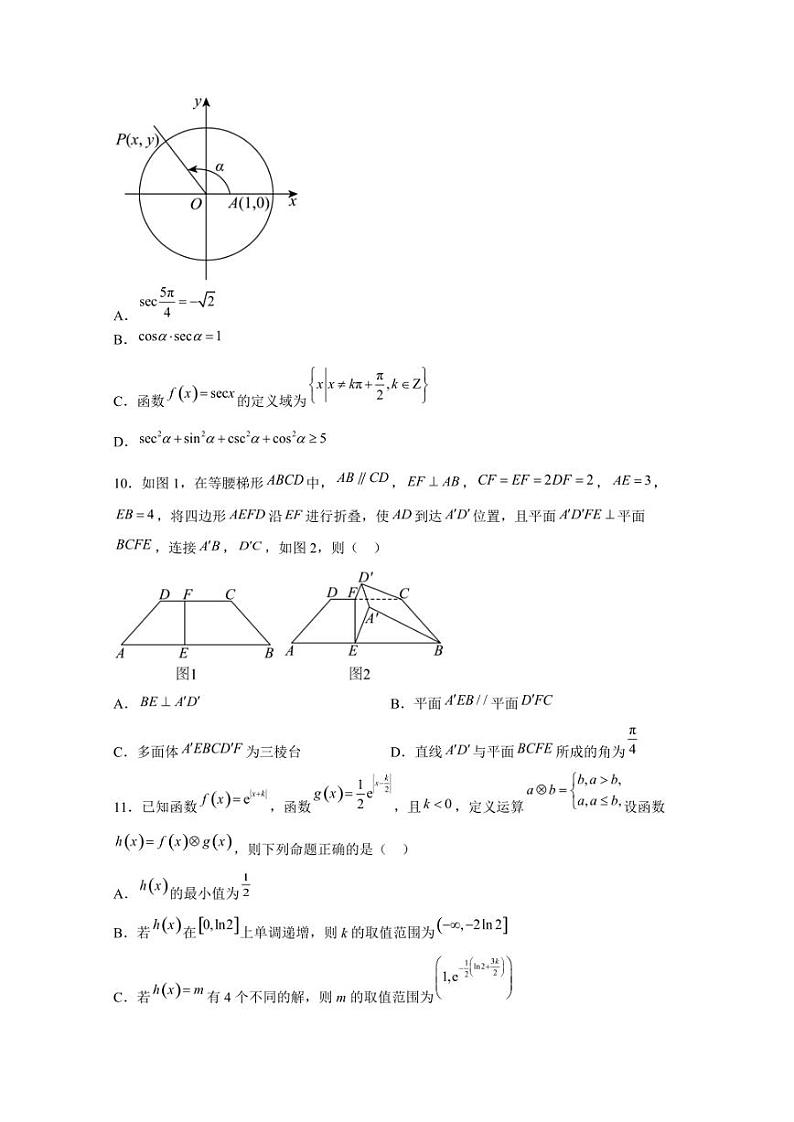
2024届山西省晋城市高三下学期高考数学仿真模拟联考试题(三模)含解析 (1)
展开2024年山西省晋城市高考数学二模试卷(含详细答案解析): 这是一份2024年山西省晋城市高考数学二模试卷(含详细答案解析),共18页。试卷主要包含了单选题,多选题,填空题,解答题等内容,欢迎下载使用。
2024年山西省晋城市高考数学二模试卷(含解析): 这是一份2024年山西省晋城市高考数学二模试卷(含解析),共18页。试卷主要包含了单选题,多选题,填空题,解答题等内容,欢迎下载使用。
2023届山西省名校联盟高三5月仿真模拟数学试题含解析: 这是一份2023届山西省名校联盟高三5月仿真模拟数学试题含解析,共24页。试卷主要包含了单选题,多选题,填空题,解答题等内容,欢迎下载使用。

