高中数学苏教版 (2019)选择性必修第二册6.2空间向量的坐标表示图片ppt课件
展开问题1:在平面向量中,我们借助平面直角坐标系得到了平面向量的坐标表示和坐标运算.在平面直角坐标系中如何用坐标表示向量呢?
问题2:类似于平面向量基本定理,类比推广到空间向量基本定理,能否将平面直角坐标系中的坐标表示向量类比推广到空间呢?
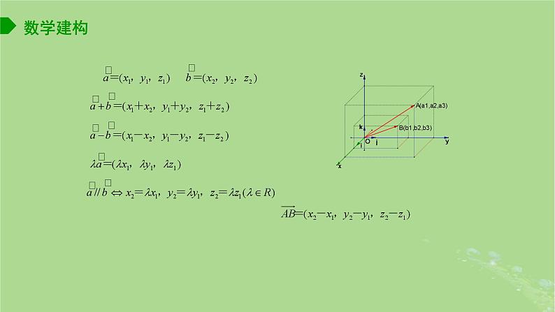
空间直角坐标系O-xyz的建立: 在空间选定一点O和一个单位正交基底{i,j,k}.以点O为原点,分别以i,j,k的方向为正方向建立三条数轴:x轴、y轴、z轴,它们都叫作坐标轴.这样就建立了一个空间直角坐标系O-xyz.其中点O叫坐标原点,三条坐标轴的每两条确定一个坐标平面,分别称为xOy平面、yOz平面、zOx平面.(链接介绍:右手直角坐标系)
苏教版 (2019)选择性必修第二册6.3空间向量的应用教课ppt课件: 这是一份苏教版 (2019)选择性必修第二册<a href="/sx/tb_c4009169_t3/?tag_id=26" target="_blank">6.3空间向量的应用教课ppt课件</a>,共13页。PPT课件主要包含了情境问题,数学建构,数学应用等内容,欢迎下载使用。
高中数学苏教版 (2019)选择性必修第二册6.2空间向量的坐标表示优秀ppt课件: 这是一份高中数学苏教版 (2019)选择性必修第二册6.2空间向量的坐标表示优秀ppt课件,共22页。PPT课件主要包含了学习目标,活动方案,检测反馈等内容,欢迎下载使用。
苏教版 (2019)选择性必修第二册6.2空间向量的坐标表示优秀ppt课件: 这是一份苏教版 (2019)选择性必修第二册6.2空间向量的坐标表示优秀ppt课件,共22页。PPT课件主要包含了学习目标,活动方案,检测反馈等内容,欢迎下载使用。

