- 2024届浙江省县域教研联盟高三三模英语试题 试卷 1 次下载
- 2024届浙江省县域教研联盟高三三模历史试题 试卷 0 次下载
- 2024届浙江省县域教研联盟高三三模地理试题 试卷 0 次下载
- 2024届浙江省县域教研联盟高三三模政治试题 试卷 0 次下载
- 2024届浙江省县域教研联盟高三三模物理试题 试卷 2 次下载
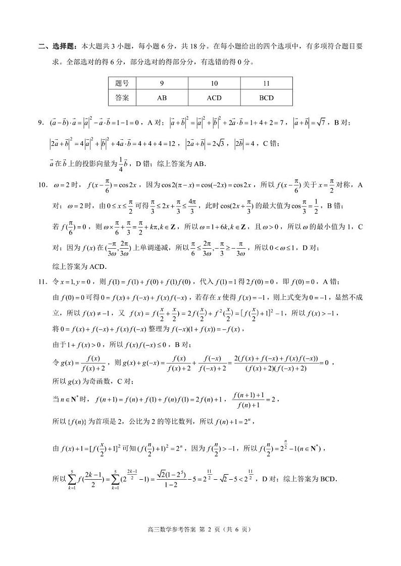
2024届浙江省县域教研联盟高三三模数学试题
展开浙江省名校新高考研究联盟Z20联盟2023届高三三模数学试题: 这是一份浙江省名校新高考研究联盟Z20联盟2023届高三三模数学试题,共5页。
2023届辽宁省教研联盟高三第一次调研测试(一模)数学试题: 这是一份2023届辽宁省教研联盟高三第一次调研测试(一模)数学试题,共14页。
浙江省名校新高考研究联盟Z20联盟2023届高三三模数学试题(无解析): 这是一份浙江省名校新高考研究联盟Z20联盟2023届高三三模数学试题(无解析),共5页。试卷主要包含了单选题,未知,多选题,填空题,解答题等内容,欢迎下载使用。

