上海市进才中学2023-2024学年高一下学期期中数学试题(原卷版+解析版)
展开
这是一份上海市进才中学2023-2024学年高一下学期期中数学试题(原卷版+解析版),文件包含上海市进才中学2023-2024学年高一下学期期中数学试题原卷版docx、上海市进才中学2023-2024学年高一下学期期中数学试题解析版docx等2份试卷配套教学资源,其中试卷共23页, 欢迎下载使用。
2024.4
一、填空题 (本大题共有12小题,满分54分) 考生应在答题纸相应编号的空格内直接填写结果,1-6题每个空格填对得4分,7-12题每个空格填对得5分,否则一律得0分.
1. 扇形的半径为1,圆心角所对的长为3,则该扇形的面积是______.
【答案】
【解析】
【分析】根据给定条件,利用扇形面积公式计算即得.
【详解】扇形的半径为1,圆心角所对的长为3,
所以该扇形的面积.
故答案为:
2. 已知点,,若点满足,则点的坐标为______.
【答案】
【解析】
【分析】设点的坐标是,利用共线向量的坐标运算可得,求解可得点的坐标.
【详解】设点的坐标是,由,,
可得,,
又,则有,
即,解得.
故答案为:.
3. 向量在向量方向上的数量投影为________.
【答案】
【解析】
【分析】利用数量积的几何意义根据题意直接求解即可
【详解】向量在向量方向上的数量投影为
,
故答案为:
4. 函数的单调增区间是______.
【答案】
【解析】
【分析】根据正切函数的单调性即可得出答案.
【详解】解:令,
得,
所以函数的单调增区间是.
故答案为:.
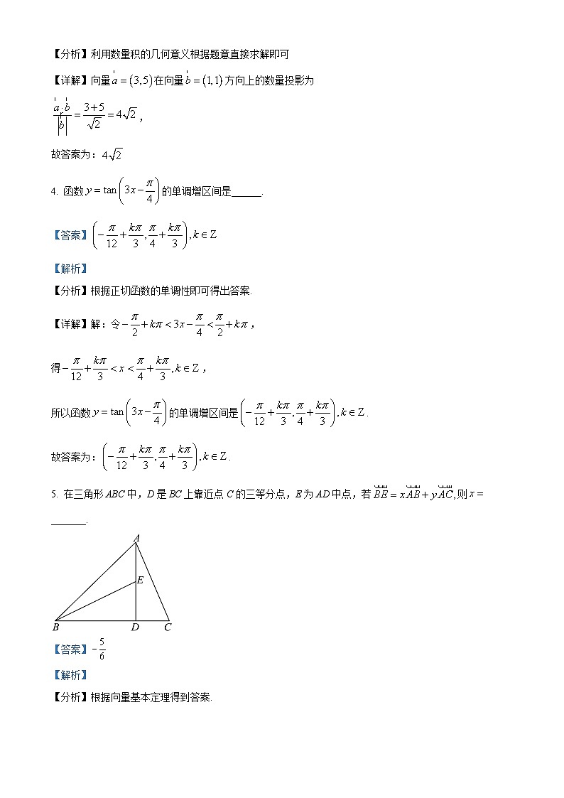
5. 在三角形ABC中,D是BC上靠近点C的三等分点,E为AD中点,若则_______.
【答案】
【解析】
【分析】根据向量基本定理得到答案.
【详解】因为E为AD中点,所以,
因为D是BC上靠近点C的三等分点,所以,
所以.
故答案为:
6. 在上的值域为______.
【答案】
【解析】
【分析】根据题意,由三角恒等变换公式化简,再由正弦型函数的值域即可得到结果.
【详解】
.
故答案为:
7. 向量,的夹角为钝角,则实数的取值范围是______.
【答案】
【解析】
【分析】由向量夹角为钝角可得且,由向量坐标运算可构造不等式求得结果.
【详解】夹角为钝角,且,
解得:且,的取值范围为.
故答案为:.
8. 在中,角、、的对边分别为、、,,则角______.
【答案】或
【解析】
【分析】根据余弦的倍角公式,求得,进而求得的值,得到答案.
【详解】由,因为,可得,
因为,可得,所以或.
故答案为:或.
9. 已知函数在区间有且仅有3个零点,则的取值范围是______.
【答案】
【解析】
【分析】由,求得,得出函数的零点,集合题意,得出不等式,即可求解.
【详解】由函数,令,即,
解得,可得,
因为,则对应的零点为
因为函数在区间有且仅有3个零点,
则满足,解得,即实数的取值范围为.
故答案为:.
10. 平面上三点的坐标分别是.小林同学在点处休息,进而小猫沿着所在直线来回跑动,小猫离小林同学最近时的坐标为______.
【答案】
【解析】
【分析】根据题意,求得设的方程为,设,结合,列出方程求得,即可求解.
【详解】设的方程为,
将点代入得,解得且,则,
由题意知,小猫离小林同学最近时所在位置的点与的连线与垂直
设,则,
所以,解得,所以点.
故答案为:.
11. 矩形中,,,动点满足,,则下列说法中正确的是______.
①若,则的面积为定值 ②若,则的最小值为4
③若,则满足的点不存在 ④若,,则的面积为
【答案】①③④
【解析】
【分析】根据、的不同取值,分析点所在的位置,结合题意逐项分析即可.
【详解】
对于①,当时,由向量加法的平行四边形法则知,点应该在边上,
在中,以为底边,高为点到的距离,
所以为定值,故①正确;
对于②,当时,由向量加法的平行四边形法则知,点应该在边上,
当位于点处时, 有最小值2,故②错误;
对于③,当时,取的中点,的中点,连接,
此时点位于上,如图点与重合,此时、夹角为,
同理,若点与重合,此时、夹角也为,
若不与、重合,设、夹角为,则,
又因为,,
所以
,
因为、,所以、,
所以,由题意知,,
、夹角为,所以,
又因为、夹角为, 所以,
,,且,所以,
当且仅当时,等号成立,
所以,所以,所以、夹角为锐角,
综上,无论怎么移动,,都不会垂直,故③正确;
对于④,当,时,由向量加法的平行四边形法则作图,
此时到的距离为,
所以,故④正确.
故答案为:①③④
12. 在中,,,.为所在平面内的动点,且,则的取值范围是________.
【答案】
【解析】
【分析】建立直角坐标系表示各点坐标,再利用三角恒等变换即可求出结果.
【详解】
如图所示建立直角坐标系,设,
为所在平面内的动点,且,
设,
则,
,
其中,
则的取值范围是,
故答案为:.
二、选择题(本大题共有4题,满分18分,第13、14题每题4分,第15、16题每题5分)每题有且只有一个正确选项.考生应在答题纸的相应位置,将代表正确选项的小方格涂黑.
13. 下列函数中,最小正周期为的奇函数是( )
A. B.
C. D.
【答案】B
【解析】
【分析】求出周期排除AC;判断奇偶性即可得解.
【详解】函数、的最小正周期为,AC不是;
函数是偶函数,D不是,是奇函数,且最小正周期为,B是.
故选:B
14. 已知,则( ).
A. B. C. D.
【答案】B
【解析】
【分析】根据给定条件,利用和角、差角的正弦公式求出,再利用二倍角的余弦公式计算作答.
【详解】因为,而,因此,
则,
所以.
故选:B
【点睛】方法点睛:三角函数求值的类型及方法
(1)“给角求值”:一般所给出的角都是非特殊角,从表面来看较难,但非特殊角与特殊角总有一定关系.解题时,要利用观察得到的关系,结合三角函数公式转化为特殊角的三角函数.
(2)“给值求值”:给出某些角的三角函数值,求另外一些角的三角函数值,解题关键在于“变角”,使其角相同或具有某种关系.
(3)“给值求角”:实质上也转化为“给值求值”,关键也是变角,把所求角用含已知角的式子表示,由所得的函数值结合该函数的单调区间求得角,有时要压缩角的取值范围.
15. 是平面上一定点,,,平面上不共线的三个点,动点满足,,则的轨迹一定通过的( )
A. 外心B. 内心C. 重心D. 垂心
【答案】D
【解析】
【分析】利用向量的数量积的定义式结合三角函数诱导公式化简已知等式,再由向量的数量积为零推出向量垂直即可.
【详解】如图所示,过点作,垂足为点.
则,
同理,
动点满足,.
,.
,
,
因此的轨迹一定通过的垂心.
故选:D.
16. 若非零不共线的向量满足,则( ).
A. B. C. D.
【答案】C
【解析】
【分析】根据向量加法的三角形法则,构图即可判断
【详解】
(2)
由非零向量,满足
当,不共线时, 可考虑构造等腰三角形, 如图(1)所示, ,
则. 在图(1)中, ,
不能比较与大小;
在图(2)中, 由, 得,
所以 为的直角三角形.
易知
由三角形中大角对大边, 得.
故选:C
三、解答题 (本大题满分78分) 本大题共有5题,解答下列各题必须在答题纸相应编号的规定区域内写出必要的步骤
17. 已知平面向量满足,且.
(1)求向量的夹角;
(2)若,求实数值.
【答案】(1);
(2)﹒
【解析】
【分析】(1)由平方,根据向量数量积的运算方法即可求出csθ,从而可求θ;
(2)由得,根据向量的数量积运算律即可求出λ﹒
【小问1详解】
由平方得,
∵,∴,解得,
∵,∴;
【小问2详解】
由(1)知.
∵,∴,
化简得,
∴,解得.
18. 某同学用“五点法”画函数在某一个周期内的图像时,列表并填入了部分数据,如下表:
(1)请直接写出表中的值,并求出函数的解析式和最小正周期;
(2)若关于的方程在上有两个不同的实数解,求实数的取值范围.
【答案】(1),最小正周期为
(2)
【解析】
【分析】(1)利用周期可求得,利用五点作图法的第二个关键点可求,进而求得解析式可求;
(2)由题意可得与的图象在上有两个交点,结合图象可求实数的取值范围.
【小问1详解】
根据表中的数据,得,
,又,,
函数的解析式为,
令,解得,
可得,
数据补全如下表:
则最小正周期为
【小问2详解】
关于的方程在上有两个不同的实数解,
则与的图象有两个交点,
作出两函数的图象如图所示:
结合函数图像可知
实数的取值范围为.
19. 如图,有一景区的平面图是一个半圆形,其中O为圆心,直径的长为,C,D两点在半圆弧上,且,设;
(1)当时,求四边形的面积.
(2)若要在景区内铺设一条由线段,,和组成的观光道路,则当为何值时,观光道路的总长l最长,并求出l的最大值.
【答案】(1);(2)5
【解析】
【分析】(1)把四边形分解为三个等腰三角形:,利用三角形的面积公式即得解;
(2)利用表示(1)中三个等腰三角形的顶角,利用正弦定理分别表示,和,令,转化为二次函数的最值问题,即得解.
【详解】(1)连结,则
四边形的面积为
(2)由题意,在中,,由正弦定理
同理在中,,由正弦定理
令
时,即,的最大值为5
【点睛】本题考查了三角函数和解三角形综合实际应用问题,考查了学生综合分析,数学建模,转化划归,数学运算能力,属于较难题
20. 已知函数的图象如图所示,点为与轴的交点,点,分别为的最高点和最低点,而函数在处取得最小值.
(1)求参数的值;
(2)若,求向量与向量的夹角;
(3)若点为函数图象上的动点,当点在,之间运动时,恒成立,求的取值范围.
【答案】(1)
(2)
(3)
【解析】
【分析】(1)由对称轴之间的距离可得周期,根据周期求出,利用在处取得最小值求出;
(2)由函数解析式求出零点,根据向量的坐标求夹角即可;
(3)设,利用向量数量积的坐标表示出,观察取最小值时点P位置,然后根据最小值大于等于1可得的取值范围.
【小问1详解】
由题意可得在处取得最小值,则,,
所以,,
,则.
【小问2详解】
由题,,
则,,,
则,,
,,,
设向量与向量的夹角为,
则,
,.
【小问3详解】
,,,
是上动点,
设,,
,
,
易知,在或处有最小值,
在或处有最大值,
当或时,有最小值,
即当在或时,有最小值,此时或,
若,则,,,
又,解得,
若,则,,,
又,解得,
综上可得.
【点睛】关键点点睛:本题的关键是利用三角函数的性质解决点的问题,并代入向量的坐标表示,第三问的关键两个函数的最值同时取得,从而转化为求函数的最小值.
21. 个有次序的实数,,,所组成的有序数组,,,称为一个维向量,其中,2,,称为该向量的第个分量.特别地,对一个维向量,若,,,称为维信号向量.设,,则和的内积定义为,且.
(1)直接写出4个两两垂直的4维信号向量.
(2)证明:不存在6个两两垂直的6维信号向量.
(3)已知个两两垂直的2024维信号向量,,,满足它们的前个分量都是相同的,求证:.
【答案】(1),1,1,,,,1,,,1,,,,1,1,
(2)证明见解析 (3)证明见解析.
【解析】
【分析】(1)由维信号向量的定义可写出4个两两垂直的4维信号向量;
(2)假设存在6个两两垂直的6维信号向量,根据题意不妨设,利用,可得有3个分量为,进而可得的前3个分量中有个,则后3个分量中有个,,由题意可得,可证结论;
(3)任取,计算内积,,设第个分量之和为,利用,可得结论.
【小问1详解】
依题意,可写出4个两两垂直的4维信号向量为:
,,,.
【小问2详解】
假设存在6个两两垂直的6维信号向量,
因为将这6个向量的某个分量同时变号或将某两个位置的分量同时互换位置,任意两个向量的内积不变,
所以不妨设,
因为,所以有3个分量为,
设的前3个分量中有个,则后3个分量中有个,,
则,
,则,矛盾,
所以不存在6个两两垂直的6维信号向量.
【小问3详解】
任取,计算内积,
将所有这些内积求和得到,则,
设的第个分量之和为,
则从每个分量的角度考虑,每个分量为的贡献为,
所以,
则,所以,故.
【点睛】方法点睛:新定义题型,认真阅读,弄清题意是关键,理解内积的定义,与所学内容类比,转化,考查运算求解能力与逻辑思维能力,对综合素养要求较高.
0
0
1
0
0
0
1
0
0
相关试卷
这是一份上海市进才中学2023-2024学年高一下学期3月月考数学试卷(原卷版+解析版),文件包含精品解析上海市进才中学2023-2024学年高一下学期3月月考数学试卷原卷版docx、精品解析上海市进才中学2023-2024学年高一下学期3月月考数学试卷解析版docx等2份试卷配套教学资源,其中试卷共19页, 欢迎下载使用。
这是一份2022-2023学年上海市进才中学高一下学期期中数学试题含解析,共15页。试卷主要包含了填空题,单选题,解答题等内容,欢迎下载使用。
这是一份2022-2023学年上海市进才中学高二下学期期中数学试题含解析,共13页。试卷主要包含了填空题,单选题,解答题等内容,欢迎下载使用。

