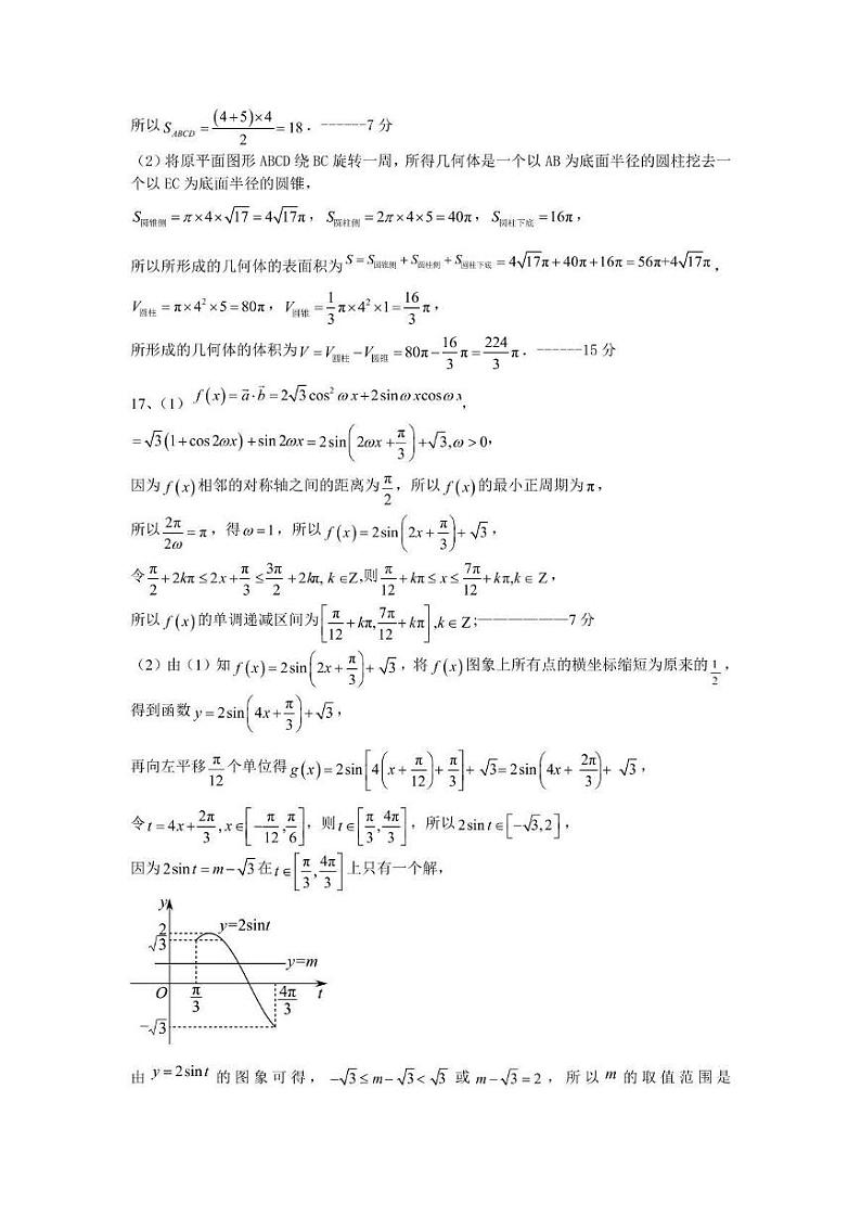
湖北武汉5G联合体2024年高一下学期期中考试数学试题+答案
展开湖北武汉育才高级中学2024年高一下学期4月月考数学试题+答案: 这是一份湖北武汉育才高级中学2024年高一下学期4月月考数学试题+答案,文件包含湖北省武汉市育才高级中学2023-2024学年高一下学期4月月考数学试题原卷版pdf、湖北省武汉市育才高级中学2023-2024学年高一下学期4月月考数学试题解析版pdf等2份试卷配套教学资源,其中试卷共24页, 欢迎下载使用。
湖北省武汉市5G联合体2022-2023学年高一下学期期末联考数学试题(学生版+解析): 这是一份湖北省武汉市5G联合体2022-2023学年高一下学期期末联考数学试题(学生版+解析),共30页。试卷主要包含了选择题的作答,非选择题的作答等内容,欢迎下载使用。
精品解析:湖北省武汉市5G联合体2022-2023学年高一下学期期末联考数学试题(解析版): 这是一份精品解析:湖北省武汉市5G联合体2022-2023学年高一下学期期末联考数学试题(解析版),共22页。试卷主要包含了选择题的作答,非选择题的作答等内容,欢迎下载使用。

