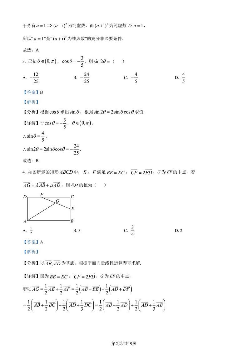
湖北武汉育才高级中学2024年高一下学期4月月考数学试题+答案
展开湖北省武汉市育才高级中学2023-2024学年高一下学期4月月考数学试题(附解析版): 这是一份湖北省武汉市育才高级中学2023-2024学年高一下学期4月月考数学试题(附解析版),文件包含湖北省武汉市育才高级中学2023-2024学年高一下学期4月月考数学试题原卷版pdf、湖北省武汉市育才高级中学2023-2024学年高一下学期4月月考数学试题解析版pdf等2份试卷配套教学资源,其中试卷共24页, 欢迎下载使用。
湖北省武汉市育才高级中学2023-2024学年高一下学期4月月考数学试题(原卷版+解析版): 这是一份湖北省武汉市育才高级中学2023-2024学年高一下学期4月月考数学试题(原卷版+解析版),文件包含湖北省武汉市育才高级中学2023-2024学年高一下学期4月月考数学试题原卷版docx、湖北省武汉市育才高级中学2023-2024学年高一下学期4月月考数学试题解析版docx等2份试卷配套教学资源,其中试卷共24页, 欢迎下载使用。
广东深圳盐田高级中学2024年高一下学期4月月考数学试题+答案: 这是一份广东深圳盐田高级中学2024年高一下学期4月月考数学试题+答案,共9页。

