2022-2023学年广东省深圳市宝安中学高一(下)期中数学试卷
展开1.(5分)若i(1﹣z)=1,则复数z的虚部为( )
A.﹣1B.﹣iC.1D.i
2.(5分)平面向量,,,则与的夹角是( )
A.B.C.D.
3.(5分)已知向量,的夹角为,且||=2,=(1,1),则在上投影向量的坐标为( )
A.(,)B.(,)C.(,)D.(1,1)
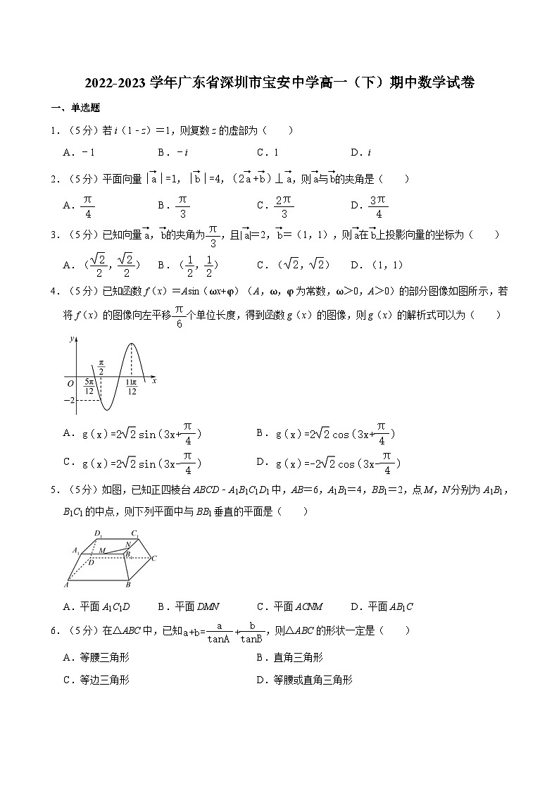
4.(5分)已知函数f(x)=Asin(ωx+φ)(A,ω,φ为常数,ω>0,A>0)的部分图像如图所示,若将f(x)的图像向左平移个单位长度,得到函数g(x)的图像,则g(x)的解析式可以为( )
A.B.
C.D.
5.(5分)如图,已知正四棱台ABCD﹣A1B1C1D1中,AB=6,A1B1=4,BB1=2,点M,N分别为A1B1,B1C1的中点,则下列平面中与BB1垂直的平面是( )
A.平面A1C1DB.平面DMNC.平面ACNMD.平面AB1C
6.(5分)在△ABC中,已知,则△ABC的形状一定是( )
A.等腰三角形B.直角三角形
C.等边三角形D.等腰或直角三角形
7.(5分)如图所示的矩形ABCD中,AB=4,AD=3,以B为圆心的圆与AC相切,P为圆上一点,且,若,则λμ的值为( )
A.B.C.D.
8.(5分)在棱长为1的正方体ABCD﹣A1B1C1D1中,M,N分别为BD1,B1C1的中点,点P在正方体的表面上运动,且满足MP∥平面CND1,则下列说法正确的是( )
A.点P可以是棱BB1的中点B.线段MP的最大值为
C.点P的轨迹是正方形D.点P轨迹的长度为
二、多选题
(多选)9.(5分)已知复数z满足z﹣2i=zi+4,则下列说法中正确的是( )
A.复数z的模为
B.复数z在复平面内所对应的点在第四象限
C.复数z的共轭复数为﹣1+3i
D.
(多选)10.(5分)如图,点A,B,C,M,N是正方体的顶点或所在棱的中点,则满足MN∥平面ABC的有( )
A.B.C.D.
(多选)11.(5分)已知函数f(x)=sinxcsx,g(x)=sinx+csx,则( )
A.f(x)与g(x)均在(0,)单调递增
B.f(x)的图象可由g(x)的图象平移得到
C.f(x)图象的对称轴均为g(x)图象的对称轴
D.函数y=f(x)+g(x)的最大值为
(多选)12.(5分)已知△ABC的内角A,B,C所对边的长分别为a,b,c,已知b=4,c=6,△ABC的面积S满足,点O为△ABC的外心,满足,则下列结论正确的是( )
A.S=6B.C.D.
三、填空题
13.(5分)计算:= .
14.(5分)将边长为20的正三角形ABC,按“斜二测”画法在水平放置的平面上画出为△A′B′C′,则A′C′= .
15.(5分)湿地公园是国家湿地保护体系的重要组成部分,某市计划在如图所示的四边形ABCD区域建一处湿地公园.已知∠DAB=90°,∠DBA=45°,∠BAC=30°,∠DBC=60°,千米,则CD= 千米.
16.(5分)如图,矩形ABCD中,AD=2AB=2,M为BC的中点,将△ABM沿直线AM翻折,构成四棱锥B1﹣AMCD,N为B1D的中点,则在翻折过程中,
①对于任意一个位置总有CN∥平面AB1M;
②存在某个位置,使得CN⊥AB1;
③存在某个位置,使得AD⊥MB1;
④四棱锥B1﹣AMCD的体积最大值为.
上面说法中所有正确的序号是 .
四、解答题
17.(10分)已知向量=(5,﹣12),=(﹣3,4).
(1)求与夹角θ的余弦值;
(2)若向量+t与﹣垂直,求实数t的值.
18.(12分)已知函数.
(1)求函数f(x)的最小正周期和对称轴.
(2)当时,求函数f(x)的单调增区间.
19.(12分)如图,在Rt△PAB中,PA⊥AB,且,AB=2,将△PAB绕直角边PA旋转到△PAC处,得到圆锥的一部分,点D是底面圆弧BC(不含端点)上的一个动点.
(1)是否存在点D,使得BC⊥PD?若存在,求出∠CAD的大小;若不存在,请说明理由;
(2)当四棱锥P﹣ABDC体积最大时,求C沿圆锥侧面到达点D的最短距离.
20.(12分)在锐角△ABC中,内角A,B,C的对边分别为a,b,c,且c﹣2bcsA=b.
(1)求证:A=2B;
(2)若A的角平分线交BC于D,且c=2,求△ABD面积的取值范围.
21.(12分)如图,在多面体ABCDE中,平面ACD⊥平面ABC,BE⊥平面ABC,△ABC和△ACD均为正三角形,AC=4,BE=.
(1)求多面体ABCDE的体积.
(2)在线段AC上是否存在点F,使得BF∥平面ADE?说明理由;
22.(12分)深圳别称“鹏城”,是中国的窗口,“深圳之光”摩天轮是中国之眼,如图(1),代表着开拓创新、包容开放的精神,向世界展示着中国自信.摩天轮的半径为6(单位:10m),圆心O在水平地面上的射影点为A,摩天轮上任意一点P在水平地面上的射影点都在直线l上.水平地面上有三个观景点B、C、D,如图(2)所示.在三角形ABC中,AB=AC,BD=8DC,∠BAD=90°,BC∥l,∠OBA=45°,记OA=a(单位:10m).
(1)在△ABC中,求cs∠ABC的值;
(2)若摩天轮上任意一点P与O点连线与水平正方向所成的角为θ(0≤θ<2π)如图(3)所示,点P在水平地面上的投影为P0.
①用θ表示PP0,BP0,BP的长;
②因安全因素考虑,观景点B与摩天轮上任意一点P的之间距离不超过(单位:10m),求实数a的取值范围.
2022-2023学年广东省深圳市宝安中学高一(下)期中数学试卷
参考答案与试题解析
一、单选题
1.(5分)若i(1﹣z)=1,则复数z的虚部为( )
A.﹣1B.﹣iC.1D.i
【分析】根据已知条件,结合复数的四则运算,以及虚部的定义,即可求解.
【解答】解:i(1﹣z)=1,
则1﹣z=,
故z=1+i,其虚部为1.
故选:C.
【点评】本题主要考查复数的四则运算,以及虚部的定义,属于基础题.
2.(5分)平面向量,,,则与的夹角是( )
A.B.C.D.
【分析】根据已知条件,结合向量垂直的性质,以及平面向量的数量积运算,即可求解.
【解答】解:设与的夹角是θ,θ∈[0,π],
∵,
∴=,
∵,,
∴2+1×4×csθ=0,解得csθ=,
∴与的夹角是.
故选:C.
【点评】本题主要考查向量垂直的性质,以及平面向量的数量积运算,属于基础题.
3.(5分)已知向量,的夹角为,且||=2,=(1,1),则在上投影向量的坐标为( )
A.(,)B.(,)C.(,)D.(1,1)
【分析】根据已知条件,结合投影向量的公式,即可求解.
【解答】解:向量,的夹角为,且||=2,=(1,1),
则,=,
故==.
故选:A.
【点评】本题主要考查投影向量的公式,属于基础题.
4.(5分)已知函数f(x)=Asin(ωx+φ)(A,ω,φ为常数,ω>0,A>0)的部分图像如图所示,若将f(x)的图像向左平移个单位长度,得到函数g(x)的图像,则g(x)的解析式可以为( )
A.B.
C.D.
【分析】由图知,最小正周期T=,从而知ω=3,由f()=A,推出φ=2kπ﹣,k∈Z,不妨取k=1,φ=﹣,再由f()=﹣2,求出A的值,得f(x)的解析式,然后根据函数图象的平移法则,得解.
【解答】解:由图知,最小正周期T=(﹣)=,
所以ω==3,
又f()=A,所以Asin(3•+φ)=A,即sin(+φ)=1,
所以+φ=+2kπ,k∈Z,即φ=2kπ﹣,k∈Z,
当k=1时,φ=﹣,此时f(x)=Asin(3x﹣),
因为f()=﹣2,所以Asin(3•﹣)=﹣2,即Asin=﹣A=﹣2,
所以A=2,
所以f(x)=2sin(3x﹣),
因为将f(x)的图像向左平移个单位长度,得到函数g(x)的图像,
所以g(x)=2sin[3(x+)﹣]=2sin(3x+).
故选:A.
【点评】本题考查三角函数的图象与性质,利用函数的图象求解析式,考查逻辑推理能力和运算能力,属于中档题.
5.(5分)如图,已知正四棱台ABCD﹣A1B1C1D1中,AB=6,A1B1=4,BB1=2,点M,N分别为A1B1,B1C1的中点,则下列平面中与BB1垂直的平面是( )
A.平面A1C1DB.平面DMNC.平面ACNMD.平面AB1C
【分析】延长AA1,BB1,CC1,DD1交于一点P,取PB中点Q,连接AQ,CQ,根据三角形相似及长度关系可得△PAB为等边三角形,即可得AQ⊥PB,CQ⊥PB,由长度关系及平行可证明△QB1M∽△QBA,△QB1N∽△QBC,即可证明M在AQ上,N在CQ上,再根据线面垂直的判定定理即可得出结果.
【解答】解:延长AA1,BB1,CC1,DD1交于一点P,取PB中点Q,连接AQ,CQ,如图所示:
因为正四棱台ABCD﹣A1B1C1D1,所以P﹣A1B1C1D1为正四棱锥,
因为AB=6,A1B1=4,BB1=2,且△PA1B1∽△PAB,
所以,即,解得PB1=4,
所以PB=PA=AB=6,即△PAB为等边三角形,
因为Q为PB中点,所以AQ⊥PB,且QB=3,同理可得CQ⊥PB,
因为BB1=2,所以QB1=1,即,
因为M,N为A1B1,B1C1中点,所以MB1=NB1=2,
故,,
因为∠QB1M=∠QBA,∠QB1N=∠QBC,
所以△QB1M∽△QBA,△QB1N∽△QBC,
所以∠QMB1=∠QAB,∠QNB1=∠QCB,
因为MB1∥AB,NB1∥CB,
所以M在AQ上,N在CQ上,
因为AQ⊥PB,CQ⊥PB,所以AM⊥PB,CN⊥PB,
即AM⊥BB1,CN⊥BB1,因为AM⊂平面AMCN,CN⊂平面AMCN,AM∩CN=Q,所以BB1⊥平面AMCN.
故选:C.
【点评】本题主要考查线面垂直的判定,棱台的结构特征,考查逻辑推理能力,属于中档题.
6.(5分)在△ABC中,已知,则△ABC的形状一定是( )
A.等腰三角形B.直角三角形
C.等边三角形D.等腰或直角三角形
【分析】先通过“边化角”,再通过辅助角公式即可求解.
【解答】解:因为,
所以sinA+sinB=+=csA+csB,整理可得sinA﹣csA=﹣sinB+csB,
所以sin(A﹣)=﹣sin(B﹣),
又因为A,B∈(0,π),
所以A﹣∈(﹣,),B﹣∈(﹣,),
所以A﹣=﹣(B﹣),可得A+B=,
所以△ABC的形状一定是直角三角形.
故选:B.
【点评】本题主要考查了正弦定理,同角三角函数基本关系式,两角差的正弦公式以及正弦函数的性质在解三角形中的应用,考查了转化思想和函数思想,属于中档题.
7.(5分)如图所示的矩形ABCD中,AB=4,AD=3,以B为圆心的圆与AC相切,P为圆上一点,且,若,则λμ的值为( )
A.B.C.D.
【分析】过点P做PE⊥AB交AB延长线于点E,先根据相切及等面积法求出圆的半径即BP的长度,再根据,求出BE,PE的长度,根据长度之间的比例及向量共线定理分别可得与之间的等式关系,代入中,故可得λ,μ的值,即可选出结果.
【解答】解:过点P做PE⊥AB交AB延长线于点E,如图所示:
因为矩形ABCD中,AB=4,AD=3,所以,
因为P为圆上一点,所以BP为圆的半径,
因为圆与AC相切,根据△ACB面积相等可得:,即,
解得,因为,所以,
所以,
因为PE⊥AB,
所以PE∥AD,
因为AD=3,,
所以,
所以,
因为,AB=4,
所以,
所以,
所以,
所以,
故,所以.
故选:C.
【点评】本题主要考查平面向量基本定理,属于中档题.
8.(5分)在棱长为1的正方体ABCD﹣A1B1C1D1中,M,N分别为BD1,B1C1的中点,点P在正方体的表面上运动,且满足MP∥平面CND1,则下列说法正确的是( )
A.点P可以是棱BB1的中点
B.线段MP的最大值为
C.点P的轨迹是正方形
D.点P轨迹的长度为
【分析】取棱BC的中点E,连接DE,B1E,ME,进而证明平面B1EM平面CND1,再结合题意可知直线B1M必过D点,进而取A1D1中点F,连接B1F,FD,DE,证明F∈平面B1EM即可得四边形B1EDF为点P的轨迹,再根据几何关系依次判断各选项即可.
【解答】解:如图,取棱BC的中点E,连接DE,B1E,ME,
因为M,N分别为BD1,B1C1的中点,
所以在△BCD1中,ME∥CD1,由于ME⊄平面CND1,CD1⊂平面CND1,
所以ME∥平面CND1,
因为B1N∥CE,B1N=CE,所以,四边形CNB1E为平行四边形,
所以CN∥B1E,因为CN⊂平面CND1,B1E⊄平面CND1,
所以B1E∥平面CND1,
因为B1E∩ME=E,B1E,ME⊂平面B1EM,
所以平面B1EM∥平面CND1,
由于M为体对角线BD1的中点,
所以,连接B1M并延长,直线B1M必过D点,
故取A1D1中点F,连接B1F,FD,DE,
所以由正方体的性质易知FD1∥CE,FD1=CE,
所以四边形CD1FE是平行四边形,EF∥CD1,EF=CD1,
因为ME∥CD1,,
所以E,F,M共线,即F∈平面B1EM,
所以四边形B1EDF为点P的轨迹,故A选项错误;
由正方体的棱长为1,所以四边形B1EDF的棱长均为,且对角线为,
所以四边形B1EDF为菱形,周长为,故CD选项错误,
由菱形的性质知,线段MP的最大值为,故B选项正确.
故选:B.
【点评】本题主要考查了棱柱的结构特征,考查了直线与平面平行的判定定理,属于中档题.
二、多选题
(多选)9.(5分)已知复数z满足z﹣2i=zi+4,则下列说法中正确的是( )
A.复数z的模为
B.复数z在复平面内所对应的点在第四象限
C.复数z的共轭复数为﹣1+3i
D.
【分析】根据复数的四则运算和几何意义求解即可.
【解答】解:因为z﹣2i=zi+4,
所以(1﹣i)z=4+2i,,
有,故A正确;
复数z在复平面内所对应的点为(1,3),位于第一象限,故B错误;
复数z的共轭复数为z=1﹣3i,故C错误;
因为,故D正确.
故选:AD.
【点评】本题主要考查复数的四则运算,以及复数的性质,属于基础题.
(多选)10.(5分)如图,点A,B,C,M,N是正方体的顶点或所在棱的中点,则满足MN∥平面ABC的有( )
A.
B.
C.
D.
【分析】结合线面的位置关系以及线面平行的判定定理确定正确选项.
【解答】解:对于A选项,由下图可知MN∥DE∥AC,MN⊄平面ABC,AC⊂平面ABC,所以MN∥平面ABC,A正确.
对于B选项,设H是EG的中点,由下图,结合正方体的性质可知,AB∥NH,MN∥AH∥BC,AM∥CH,所以A,B,C,H,N,M六点共面,B错误.
对于C选项,如下图所示,根据正方体的性质可知MN∥AD,由于AD⊄平面ABC,所以MN⊄平面ABC,所以C错误.
对于D选项,设AC∩NE=D,由于四边形AECN是矩形,所以D是NE中点,由于B是ME中点,所以MN∥BD,
由于MN⊄平面ABC,BD⊂平面ABC,所以MN∥平面ABC,D正确.
故选:AD.
【点评】本题主要考查空间中直线和平面的位置关系,属于基础题.
(多选)11.(5分)已知函数f(x)=sinxcsx,g(x)=sinx+csx,则( )
A.f(x)与g(x)均在(0,)单调递增
B.f(x)的图象可由g(x)的图象平移得到
C.f(x)图象的对称轴均为g(x)图象的对称轴
D.函数y=f(x)+g(x)的最大值为
【分析】利用二倍角公式化简可得f(x)=sin2x,利用辅助角公式化简可得g(x)=sin(x+),再结合正弦函数的图象与性质,逐一分析选项,即可.
【解答】解:f(x)=sinxcsx=sin2x,g(x)=sinx+csx=sin(x+),
选项A,由x∈(0,)知,2x∈(0,),x+∈(,),
又函数y=sinx在(0,)上单调递增,
所以f(x)与g(x)均在(0,)单调递增,即A正确;
选项B,f(x)的图象需由g(x)的图象经过平移和伸缩变换得到,即B错误;
选项C,令2x=+k1π,k1∈Z,则x=+,k1∈Z,
所以f(x)图象的对称轴为x=+,k1∈Z,
令x+=+k2π,k2∈Z,则x=+k2π,k2∈Z,
所以g(x)图象的对称轴为x=+k2π,k2∈Z,
所以g(x)图象的对称轴均为f(x)图象的对称轴,即C错误;
选项D,f(x)max=,g(x)max=,
而当x=时,f(x)max=与g(x)max=可同时成立,
所以y=f(x)+g(x)的最大值为,即D正确.
故选:AD.
【点评】本题考查三角函数的图象与性质,熟练掌握正弦函数的图象与性质是解题的关键,考查逻辑推理能力和运算能力,属于中档题.
(多选)12.(5分)已知△ABC的内角A,B,C所对边的长分别为a,b,c,已知b=4,c=6,△ABC的面积S满足,点O为△ABC的外心,满足,则下列结论正确的是( )
A.S=6B.C.D.
【分析】根据及b=4,c=6及余弦定理可得出,两边平方即可求出,,然后根据三角形面积公式可求出S=6,A正确;根据及向量数量积的计算公式可求出的值,从而判断B的正误;由可得出,然后可得出关于λ,μ的方程组,解出λ即可判断D的正误;根据余弦定理可求出a,根据正弦定理可求出的值,从而判断C的正误.
【解答】解:∵,且b=4,c=6,
∴,
∴,
∴,
∴,
∴,解得或﹣1(舍去),∴,
∴,A正确;
如图,O为△ABC的外心,则:
====,B正确;
∵,∴,且,,
∴,化简得,解得,,D正确;
根据余弦定理,a2=b2+c2﹣2bccsA=16+36﹣=,∴,
根据正弦定理,=,∴,C错误.
故选:ABD.
【点评】本题考查了正弦定理和余弦定理,向量数量积的运算及计算公式,三角形外心的定义,考查了计算能力,属于难题.
三、填空题
13.(5分)计算:= .
【分析】直接利用三角函数的关系式的变换的应用求出结果.
【解答】解:=.
故答案为:.
【点评】本题考查的知识要点:三角函数关系式的恒等变换,主要考查学生的运算能力和数学思维能力,属于基础题.
14.(5分)将边长为20的正三角形ABC,按“斜二测”画法在水平放置的平面上画出为△A′B′C′,则A′C′= 5(﹣1) .
【分析】先在直角坐标系中得出各边的数值,再按“斜二测”画法作图,得出相关关系,再利用余弦定理,求出边A′C′
【解答】解:由题意,在平面直角坐标系中,三角形ABC是边长为20的正三角形,
∴AB=BC=20,BC边上的高为,
按“斜二测”画法如下图所示:
∴,,
在三角形A'C'D'中,∠A'D'C'=45°,
由余弦定理得,.
故答案为:.
【点评】本题考查斜二测画法相关知识,属于中档题.
15.(5分)湿地公园是国家湿地保护体系的重要组成部分,某市计划在如图所示的四边形ABCD区域建一处湿地公园.已知∠DAB=90°,∠DBA=45°,∠BAC=30°,∠DBC=60°,千米,则CD= 千米.
【分析】在△BAC中由正弦定理可得AC,在△DAC中由余弦定理可得CD.
【解答】解:由题意可知,,
所以,
即,
所以,
所以,
又∠DAB=90°,∠DBA=45°,
所以△ABD为等腰直角三角形,
所以,
在△DAC中由余弦定理得
=,
所以.
故答案为:.
【点评】本题主要考查三角形中的几何计算,考查转化能力,属于中档题.
16.(5分)如图,矩形ABCD中,AD=2AB=2,M为BC的中点,将△ABM沿直线AM翻折,构成四棱锥B1﹣AMCD,N为B1D的中点,则在翻折过程中,
①对于任意一个位置总有CN∥平面AB1M;
②存在某个位置,使得CN⊥AB1;
③存在某个位置,使得AD⊥MB1;
④四棱锥B1﹣AMCD的体积最大值为.
上面说法中所有正确的序号是 ①④ .
【分析】证明EM∥NC,结合线面平行判定判断①;由EM∥NC结合AB1与EM不垂直,判断②;由线面垂直的判定得出点B1与点F重合,从而判断③;取AM的中点为G,连接B1G,当B1G⊥平面AMCD时,四棱锥B1﹣AMCD的体积最大,从而判断④.
【解答】解:如图,分别取AB1,AD的中点为E,F,连接EN,EM,B1F,FM,
因为AB1,B1D的中点分别为E,N,所以EN∥AD∥MC,且EN=AD=MC,
即四边形ENCM为平行四边形,故EM∥NC,由线面平行的判定可知对于任意一个位置总有CN∥平面AB1M,故①正确;
因为∠AB1M=90°,所以AB1与EM不垂直,由EM∥NC可知,AB1与NC不垂直,故②错误;
由题意AB1⊥B1M,若AD⊥MB1,则由线面垂直的判定可得MB1⊥平面AB1D,则MB1⊥B1D,
因为AM=MD,所以△AMB1与△MB1D全等,则AB1=B1D=1,此时点B1与点F重合,不能形成四棱锥B1﹣AMCD,故③错误;
如图,取AM的中点为G,连接B1G,B1G=,
当B1G⊥平面AMCD时,四棱锥B1﹣AMCD的体积最大,最大值为(1+2)×1×=,故④正确;
故答案为:①④.
【点评】本题主要考查线线、线面位置关系的判断,棱锥体积的求法,考查逻辑推理能力与运算求解能力,属于中档题.
四、解答题
17.(10分)已知向量=(5,﹣12),=(﹣3,4).
(1)求与夹角θ的余弦值;
(2)若向量+t与﹣垂直,求实数t的值.
【分析】(1)结合向量数量积性质夹角公式的坐标表示即可求解;
(2)由向量垂直的坐标表示即可求解.
【解答】解:(1)∵,
∴,
(2)∵,
又与垂直,
∴,
即8(5﹣3t)﹣16(﹣12+4t)=0,解得.
【点评】本题主要考查了向量数量积的坐标表示的简单应用,属于基础试题.
18.(12分)已知函数.
(1)求函数f(x)的最小正周期和对称轴.
(2)当时,求函数f(x)的单调增区间.
【分析】(Ⅰ)先由诱导公式、二倍角公式及变形公式、辅助角公式等进行三角变换,将f(x)化为Asin(ωx+φ)+b形式,再利用周期公式求出周期;
(Ⅱ)由x的范围求出2x+的范围,进而求出函数f(x)的单调增区间.
【解答】解:(Ⅰ)
=
=,
∴函数f(x)的最小正周期;
由2x+=kπ+,解得x=+,k∈Z;
(Ⅱ)当时,,
∴当即时,函数f(x)单调递增,
即函数f(x)的单调增区间为[﹣,].
【点评】本题考查诱导公式、二倍角公式及变形公式、辅助角公式等进行三角变换,以及函数性质的求解,属于基础题.
19.(12分)如图,在Rt△PAB中,PA⊥AB,且,AB=2,将△PAB绕直角边PA旋转到△PAC处,得到圆锥的一部分,点D是底面圆弧BC(不含端点)上的一个动点.
(1)是否存在点D,使得BC⊥PD?若存在,求出∠CAD的大小;若不存在,请说明理由;
(2)当四棱锥P﹣ABDC体积最大时,求C沿圆锥侧面到达点D的最短距离.
【分析】(1)根据线面垂直的判定定理进行判断求解即可.
(2)根据条件得到四棱锥P﹣ABDC体积最大时对应的等价条件,利用扇形的弧长公式以及余弦定理进行计算即可.
【解答】解:(1)∵在圆锥中,PA⊥底面ABC,
∴PA⊥BC,
若BC⊥PD,
∵PD∩PA=P,∴BC⊥平面PAD即可,
则BC⊥AD,即可,
∵AB=AC,即△ABC是等腰三角形,∴AD是BC边上的中垂线即可,
即当D是弧BC的中点时,满足BC⊥PD,此时∠CAD==.
(2)在四棱锥P﹣ABDC,高PA=2是定值,要使四棱锥P﹣ABDC体积最大,则只需要四边形ABCB的面积最大即可,
设∠CAD=θ,(0<θ<),则∠BAD=﹣θ,
设圆锥底面半径为R,则R=AB=2,
则ABCB的面积S=S△CAD+S△BAD=R2sinθ+R2sin(﹣θ)=2sinθ+2sin(﹣θ)=2sinθ+csθ+sinθ=3sinθ+csθ=2(sinθ+csθ)=2sin(θ+),
∵0<θ<,∴<θ+<,
则当θ+=时,即θ=时,ABCB的面积S最大,此时四棱锥P﹣ABDC体积最大,此时D为的中点,
其中=×AC=,
将圆锥的侧面展开后得到扇形如图:
∵,AB=2,
∴母线PB==4,
则圆心角∠CPB==,
∵D是的中点,
∴∠CPD=∠CPB=,
则CD2=PC2+PB2﹣2PC•PBcs=16+16﹣2×4×4×=32﹣16=8(4﹣2)=8(﹣1)2,
则CD=×()=2().
【点评】本题主要考查空间直线垂直的判定,利用线面垂直的判定定理以及扇形的弧长公式,余弦定理进行转化求解是解决本题的关键,是中档题.
20.(12分)在锐角△ABC中,内角A,B,C的对边分别为a,b,c,且c﹣2bcsA=b.
(1)求证:A=2B;
(2)若A的角平分线交BC于D,且c=2,求△ABD面积的取值范围.
【分析】(1)根据已知条件,结合正弦定理,以及三角函数的恒等变换,即可求证;
(2)根据已知条件,结合正弦定理,推得AD=BD=,再结合三角形的面积公式,以及角B的取值范围,即可求解.
【解答】证明:(1)∵c﹣2bcsA=b,
∴由正弦定理可得,sinC﹣2sinBcsA=sinB,
∵A+B+C=π,
∴sin(A+B)=sinC,
∴sin(A+B)﹣2sinBcsA=sinAcsB+csAsinB﹣2sinBcsA=sinB,
∴sin(A﹣B)=sinB,
∵△ABC为锐角三角形,
∴A∈(0,),B∈(0,),
∴A﹣B∈,
∵y=sinx在(﹣,)上单调递增,
∴A﹣B=B,即A=2B;
(2)解:∵A=2B,
∴在△ABD中,∠ABC=∠BAD,
由正弦定理可得,=,
∴AD=BD=,
∴=,
∵△ABC为锐角三角形,
∴,解得,
∴,
∴△ABD面积的取值范围为().
【点评】本题主要考查解三角形,考查转化能力,属于中档题.
21.(12分)如图,在多面体ABCDE中,平面ACD⊥平面ABC,BE⊥平面ABC,△ABC和△ACD均为正三角形,AC=4,BE=.
(1)求多面体ABCDE的体积.
(2)在线段AC上是否存在点F,使得BF∥平面ADE?说明理由;
【分析】(1)在平面ABC内,过B作BH⊥AC,垂足点为H,则易得BH⊥平面ACD,同理可得DH⊥平面ABC,从而易得E到平面ACD的距离等于B到平面ACD的距离,即为BH,又多面体ABCDE的体积为:VE﹣ABC+VE﹣ACD,最后根据锥体的体积公式,计算即可求解;
(2)取DH的中点G,取AH的中点F,则易证平面BGF∥平面ADE,从而得BF∥平面ADE.
【解答】解:(1)如图,在平面ABC内,过B作BH⊥AC,垂足点为H,
又平面ACD⊥平面ABC,且平面ACD∩平面ABC=AC,
∴BH⊥平面ACD,
∵△ABC和△ACD均为正三角形,∴H为AC中点,DH⊥AC,
又平面ACD⊥平面ABC,且平面ACD∩平面ABC=AC,
∴DH⊥平面ABC,又BE⊥平面ABC,
∴DH∥EB,又EB⊄平面ACD,DH⊂平面ACD,
∴EB∥平面ACD,
∴E到平面ACD的距离等于B到平面ACD的距离,即为BH,
又AC=4,BE=,∴BH=DH=,
∴多面体ABCDE的体积为:
VE﹣ABC+VE﹣ACD=+=12;
(2)由(1)可知四边形DHBE为直角梯形,DH=2EB,且H为AC中点,
取DH的中点G,连接GB,则易知GB∥DE,
又GB⊄平面ADE,DE⊂平面ADE,∴GB∥平面ADE,
再取AH的中点F,连接GF,FB,则GF∥AD,
同理可证GF∥平面ADE,又GF∩GB=G,
∴平面BGF∥平面ADE,又BF⊂平面BGF,
∴BF∥平面ADE,
∵H为AC中点,F为AH的中点,
∴AC=4AF,
故AC上存在点F,且AC=4AF,使得BF∥平面ADE.
【点评】本题考查多面体的体积的求解,线面平行的证明,面面垂直的性质定理,面面平行的判定定理与性质,化归转化思想,属中档题.
22.(12分)深圳别称“鹏城”,是中国的窗口,“深圳之光”摩天轮是中国之眼,如图(1),代表着开拓创新、包容开放的精神,向世界展示着中国自信.摩天轮的半径为6(单位:10m),圆心O在水平地面上的射影点为A,摩天轮上任意一点P在水平地面上的射影点都在直线l上.水平地面上有三个观景点B、C、D,如图(2)所示.在三角形ABC中,AB=AC,BD=8DC,∠BAD=90°,BC∥l,∠OBA=45°,记OA=a(单位:10m).
(1)在△ABC中,求cs∠ABC的值;
(2)若摩天轮上任意一点P与O点连线与水平正方向所成的角为θ(0≤θ<2π)如图(3)所示,点P在水平地面上的投影为P0.
①用θ表示PP0,BP0,BP的长;
②因安全因素考虑,观景点B与摩天轮上任意一点P的之间距离不超过(单位:10m),求实数a的取值范围.
【分析】(1)设DC=m,则BD=8m,进而由余弦定理求解即可得答案,要注意OA⊥平面ABC;(2)过点P作PQ⊥l于点Q,连接BQ,PB,要使PB尽可能的大,结合几何关系得PB,利用三角换元求解得,最后解不等式 即可得答案.
【解答】解:设DC=m,则BD=8m,所以在△ABD和△ABC中,
分别利用余弦定理得:,
所以a2=36m2,所以a=6m,则 ;
(2)根据题意,观景点B与摩天轮上任意一点P的之间距离不超过,
即 ,过点P作PQ⊥l于点Q,连接BQ,PB,
要使PB尽可能的大,则点P在直线m的上方部分,
且Q在点A的右侧,如图,设PQ=h,AQ=x,a≤h≤a+6,由于PQ垂直底面ABC,
在Rt△OPE中,(h﹣a)2+x2=36,则h2+a2+x2﹣2ah=36,
所以
==,令,
则2h+x=2a+12csθ+9sinθ=2a+15sn(θ+φ)≤2a+15(其中tanφ=),
所以 ,即2a2+15a﹣203≤0,
所以(a﹣7)(2a+29)≤0,解得a≤7,所以实数a的取值范围(6,7].
【点评】本题考查三角函数的实际应用,考查三角的综合应用,属于中档题.
声明:试题解析著作权属菁优网所有,未经书面同意,不得复制发布日期:2024/4/18 11:24:05;用户:1848518485;邮箱:1848518485@qq.cm;学号:20021486
菁优网APP 菁优网公众号 菁优网小程序
2023-2024学年广东省深圳市宝安区宝安中学高二(下)月考数学试卷(含解析): 这是一份2023-2024学年广东省深圳市宝安区宝安中学高二(下)月考数学试卷(含解析),共17页。试卷主要包含了单选题,多选题,填空题,解答题等内容,欢迎下载使用。
2022-2023学年广东省深圳市龙华中学高一(下)期中数学试卷: 这是一份2022-2023学年广东省深圳市龙华中学高一(下)期中数学试卷,共53页。试卷主要包含了单选题,多选题,填空题,解答题等内容,欢迎下载使用。
2022-2023学年广东省深圳市宝安中学高一(下)期中数学试卷: 这是一份2022-2023学年广东省深圳市宝安中学高一(下)期中数学试卷,共58页。试卷主要包含了单选题,多选题,填空题,解答题等内容,欢迎下载使用。

