高中数学人教A版 (2019)必修 第二册6.4 平面向量的应用习题课件ppt
展开1、向量的减法:2、向量的数量积:
相同起点,尾尾相连,指向被减向量。
a·b=|a||b|csθ
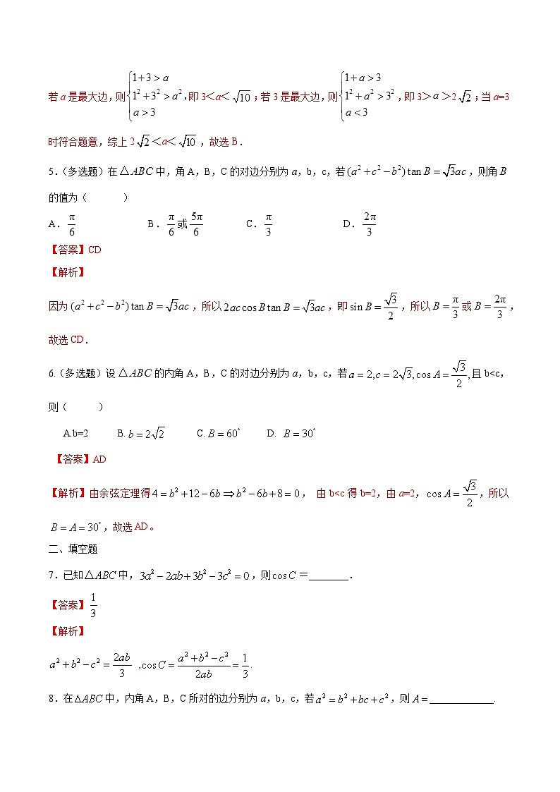
证明三角形全等的方法有哪些
ASA AAS SAS SSS
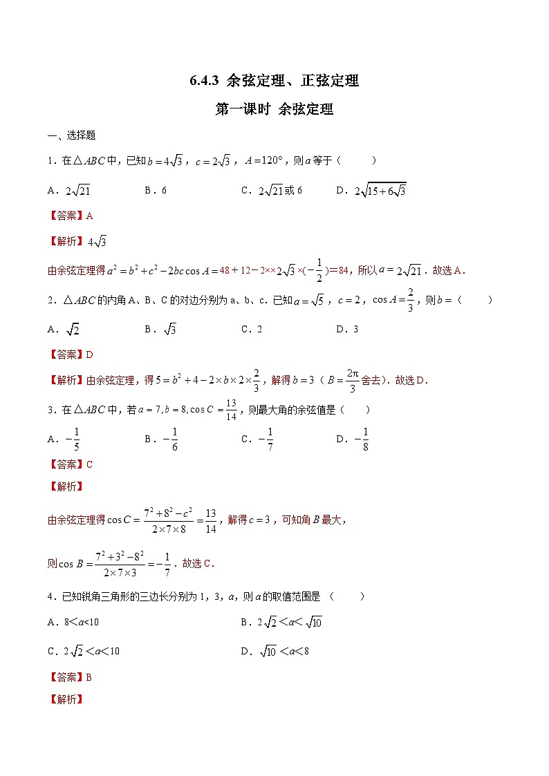
在三角形ABC中,三个角A,B,C所对的边分别为a,b,c,怎样用a,b和C表示c?
三角形任一边的平方等于其他两边平方的和减去这两边与它们夹角的余弦的积的两倍.
应用:已知两边和一个夹角,求第三边.
应用:已知三条边求角度.
思考:余弦定理指出了三角形的三条边与其中的一个角之间的关系,应用余弦定理,我们可以解决已知三角形的三边确定三角形的角的问题,怎么确定呢?
思考:勾股定理指出了直角三角形中的三条边之间的关系,余弦定理则指出了三角形的三条边与其中一个角之间的关系,你能说说这两个定理之间的关系吗?
一般地,三角形的三个角A,B,C和它们的对边a,b,c叫做三角形的元素,已知三角形的几个元素求其它元素的过程叫做解三角形。
例1.在 中,已知b=60cm,c=34cm, ,解这个三角形(角度精准到 ,边长精确到1cm.
例2.在 中,已知a=7,b=8,锐角C满足 ,求B。( 精准到 )
解:因为 ,且C为锐角。
人教A版 (2019)必修 第二册第六章 平面向量及其应用6.4 平面向量的应用教课内容课件ppt: 这是一份人教A版 (2019)必修 第二册第六章 平面向量及其应用6.4 平面向量的应用教课内容课件ppt,共22页。PPT课件主要包含了导入新课,精彩课堂,测量距离问题,测量高度问题,课堂练习,北偏东40°,课堂总结等内容,欢迎下载使用。
人教A版 (2019)必修 第二册第六章 平面向量及其应用6.4 平面向量的应用教学演示课件ppt: 这是一份人教A版 (2019)必修 第二册第六章 平面向量及其应用6.4 平面向量的应用教学演示课件ppt,共19页。PPT课件主要包含了导入新课,精彩课堂,典例解析,课堂练习,课堂总结等内容,欢迎下载使用。
高中数学人教A版 (2019)必修 第二册第六章 平面向量及其应用6.4 平面向量的应用课堂教学课件ppt: 这是一份高中数学人教A版 (2019)必修 第二册第六章 平面向量及其应用6.4 平面向量的应用课堂教学课件ppt,共20页。PPT课件主要包含了导入新课,精彩课堂,典例解析,课堂练习,课堂总结等内容,欢迎下载使用。

