- 2024荆州中学高一上学期期末考试语文含解析 试卷 0 次下载
- 2024荆州中学高一上学期期末考试数学含答案 试卷 0 次下载
- 2024荆州中学高一上学期期末考试政治含解析 试卷 0 次下载
- 2024荆州中学高一上学期期末考试地理含答案 试卷 0 次下载
- 2024荆州中学高一上学期期末考试生物含答案 试卷 0 次下载
2024荆州中学高一上学期期末考试英语含答案(含听力)
展开第一部分 听力
1-5 ACBCA 5-10 CABCB 11-15 ACACB 16-20 BABCA
第二部分 阅读
21-25 CADCA 25-30 BCBCD 31-35 CDDBC 36-40 DGACF
第三部分 语言运用
41-45 ADBBC 46-50 BACAD 51-55 CDADB
56. as 57. which 58. significantly 59. is cvered
60. excitement 61. t prepare 62. ensuring 63. related
64. It 65. a
第四部分 写作
66. struck 67. emergency 68. swept 69. establishing
70. despite 71. descriptin 72. identify 73. reference
74. applicatin 75. cntributin/cntributins
76. there is n need
77. it is a wise chice
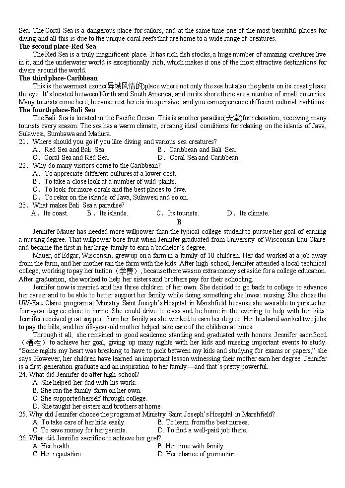
78. be f benefit t yu
79. asking me fr advice/suggestins
80. a psitive attitude t/tward/twards life
听力录音
1. 【原文】M: What wuld yu like? Pizza, sandwich, ht dg, fried rice? We d everything.
W: Takeaway fried rice sunds gd.
M: OK, fried ...
W: N, n secnd thught, I’ll have a tmat sandwich.
2. 【原文】W: D yu sell running shes, sir?
M: Yes, we d. They’re special this week at $19 a pair r tw pairs fr $36 instead f $38.
W: I’ll have tw pairs.
3. 【原文】M: Wuld yu like t g n a tur with us n Friday?
W: I wuld enjy that very much if I didn’t have t give a reprt at the meeting n Saturday. I have t prepare fr it n Friday.
4. 【原文】W: I never eat meat r cream cakes these days. But I am still putting n a lt f weight. The advertisement n TV says these pills can help t lse weight. I’ll try them.
M: But that may be bad fr yur health. The best way t lse weight safely is t lse it slwly. Yu shuld exercise regularly.
5. 【原文】M: Tina, why were yu late fr schl tday?
W: My phne wke me up at 7 as usual. But the bus didn’t stp because it was t crwded.
M: S what did yu d?
W: I asked my mum t give me a lift. The traffic wasn’t bad, but I was still 15 minutes late.
6. 第六段材料
【原文】M: Betty, what’s the matter?
W: Well, at the end f the day at wrk, my neck really hurts.
M: I see. D yu d a lt f cmputer wrk?
W: Well, yes, I spend all day at the cmputer, but I take regular breaks.
M: OK, that’s gd, but, d yu relax yur arms?
W: Srry?
M: Well, every half hur, yu shuld relax yur arms t reduce the pressure n yur neck.
W: I see. I will d that, thank yu.
7. 第七段材料
【原文】W: This is the Cafe Rssi.
M: Well, I heard yur Mexican fd is delicius.
W: I’m srry. This is an Italian restaurant. We dn’t serve Mexican fd.
M: Italian? Aren’t yu the restaurant n River Avenue, acrss frm Mabel’s cafe serving American fd?
W: We’re n River Avenue, but nt acrss frm Mabel’s.
M: And next t the River Huse Restaurant, right?
W: N. We’re next t Pyramids. Oh, yu’re thinking f Pyramids. That’s a Mexican restaurant.
M: Oh. Hmm. Well, d yu have any rules fr dressing?
W: Well, T-shirts are fine. But n jeans and n shrts.
第八段材料
【原文】M: Hi. This is the Friends f the Envirnment ffice, isn’t it?
W: Yes, it is.
M: Oh, gd. My name is Ben. I’m ding a prject at schl abut the envirnment, and my teacher said this wuld be a gd place t get sme infrmatin.
W: Well, I’d be glad t help hwever I can. What’s yur prject abut exactly?
M: Well, I haven’t quite figured that ut yet. That’s kind f why I’m here, actually.
W: I see. Um, d yu knw much abut the greenhuse effect?
M: Yeah, but I think a lt f peple are already ding that tpic.
W: Well, hw abut water pllutin?
M: Yes, I’ve heard that it is a serius prblem. D yu have any infrmatin abut it?
W: I think we have several bks ver there.
M: Thanks a lt. I’ll read them first.
第九段材料
【原文】M: I can’t make up my mind which bike t buy, Tracy. Can yu give me sme advice?
W: Persnally I like that green ne, but I think yu prefer the black ne, like the ne I’m nw using.
M: Yu’re right. I like it very much. It’s fashinable. But the brwn ne is beautiful, t.
W: Yes, but it’s mre expensive. Yu have t make up yur wn mind.
M: Every bike here is nice. I dn’t really knw what t d. Buying a new bike here in Hlland is almst as difficult as buying a car back in the United States.
W: But there are even mre chices. Wuld yu like t try anther shpping center? There are a number f stres selling bikes there.
M: Why nt? But let’s have sme cffee befre we g. I hpe it will help me t make the decisin.
第十段材料
【原文】M: Gd mrning, bys and girls. I’d like t welcme yu all t Langley Cllege and attend this speech. Our first classes are next Wednesday, but tday yu have a chance t visit the cllege. We’re very lucky t have a mdern sprts center fr yu t use. It’s nt expensive. Yu nly pay 69 dllars t becme a member f the sprts center fr 12 mnths, r yu can pay 7 dllars each time yu g. We als have a cafe which is pen n weekdays frm 10:00 a.m. t 3:00 p.m. Yu’ll meet yur teachers at 4 p.m. tday t get mre infrmatin abut yur curse, but if yu have any questins abut the cllege, yu can speak t Mrs. Brwn. She is here frm Mnday t Friday but if yu can’t cme in, yu can call her n 99365412. When yu cme back n Wednesday, yu’ll need t give us a pht. We need that fr yur student card. The card will be ready fr yu t cllect next Friday. That’s all frm me. Thank yu fr yur listening.
读后续写
一 小组讨论,列出5W要素,思考问题,并画出故事开端结局情节图
二 研讨范文,总结故事设计思路,对比自己的思路,并找出异同,最后列出表达较好的词汇句子。
本文以人物为线索展开,讲述了珍妮与母亲吵架而离家出走,在感到饥饿而没钱吃饭的时候,一个商贩给了她一碗面条,珍妮非常感动,觉得自己母亲非常的无情不关心她,而商贩的话让珍妮觉得自己对母亲太粗鲁了,于是下定决心回家向母亲道歉的故事。
【详解】1.段落续写
①由第一段首句内容“快到门口时,珍妮深吸了一口气。”可知,第一段可描写Jenny回家后的心理活动。
②由第二段首句内容“她的头发被轻轻地碰了一下,她的思绪又回来了。”可知,第二段可描写Jenny给妈妈道歉,母女俩和好的过程。
2.续写线索:感到疲惫和伤心——想起争吵的场景——意识到妈妈在乎自己——感到惭愧——看见妈妈——扑进妈妈怀里——道歉和感谢——妈妈原谅Jenny
3.词汇激活
行为类
出现在脑海:appear in ne’s mind/cme t ne’s mind
流下:rll dwn/stream dwn
意识到:realize/be aware f
表达:express/cnvey
情绪类
难过的:sad/upset
感谢:thank/appreciate
疲惫的:tired/exhausted
参考范文:
Versin 1
Paragraph 1:
Nearing the drway, Jenny tk a deep breath. Nt knwing what wuld happen next, Jenny, gathering her curage, pushed the dr pen, nly t find there was nbdy hme. Anxiety began t creep upn her. “Where is my mm? Is she still angry with me?", Jenny culdn't help thinking abut all these. Having wandered utside fr a whle day, Jenny felt a bit tired. Sitting n the sfa, she began t shed tears f regret, lst in deep thught.
Paragraph 2:
A gentle tuch n her hair called her mind back. Raising her head, Jenny fund her mther standing behind her. “Mm, I am srry. I shuldn't have been s rude t yu. I knw fully well all that yu did was fr me." Jenny said, with tears already falling dwn her cheeks. “It’s fine that yu are back! I have been lking fr yu everywhere. “Mther said. Deeply mved, Jenny threw herself at her mther and they hugged tightly. It was nt until that mment that Jenny realized that whatever happened, her mther wuld always be there fr her!
Versin2
Paragraph 1:
Appraching the drway, Jenny tk a deep breath. Her palms sweating and thrat tightening, she missed the days when she was the apple f Mther’s eye. She was s accustmed t accepting everything frm Mm that she almst frgt t express timely gratitude. It was her ignrance t Mm’s uncnditinal lve that led t the quarrel. That afternn, she culdn’t bear the sclding frm her mther, and even wandered aimlessly in the street fr hurs. With an empty stmach, she came acrss a seller f wisdm, whse wrds drve her t reflect n their relatinship. Luckily, she was determined t admit her fault. “It’s never t late t make a sincere aplgy.” She whispered t herself, head dwn.
Paragraph 2:
A gentle tuch n her hair called her mind back. Raising her head up, Jenny caught sight f a familiar face. It was her belved lady that lked directly int her eyes with a tender smile. Urged by the frce t right the wrng, she spke up with a firm tne, “Mm, I’m deeply srry fr my rudeness. It wn’t happen again! I prmise! Wuld yu frgive me?” She culd feel tears well up in her eyes. “Yu’re always my little girl!” Mm eyed Jenny tenderly. As the setting sun cast a glden glw n bth f their faces, they embraced each ther tightly. And then, hand in hand, they stepped int the huse.WHEN
WHERE
WHO
WHAT
HOW feeling)
分析已给的句子,并回答以下问题。
1.What did Jenny mst likely want t d NOW?
2.Why did she take a deep breath?
3.Did she find her mther in? Hw d we knw that?
4.What did she prbably think t herself?
5.What was Mther pssibly ding while Jenny was running away?
6.Wh might have tuched Jenny n her hair?
7.What wuld Jenny say and d t her mther when seeing her?
8.What wuld Mther say and d t Jenny?
开始
发展
高潮(问题)
结果(问题解决)
思路异同
词汇句子(在范文中找到并写出对应表达)
鼓起勇气
紧张不安
推开门,发现没有人在家
流泪 哭泣
思考 沉思
拥抱 紧紧抱在一起
感悟、悔恨
其它
2024荆州八县高一上学期期末联考英语试题含听力含解析: 这是一份2024荆州八县高一上学期期末联考英语试题含听力含解析,文件包含湖北省荆州市八县市2023-2024学年高一上学期期末联考英语试题含解析docx、湖北省荆州市八县市2023-2024学年高一上学期期末联考英语试题听力mp3等2份试卷配套教学资源,其中试卷共15页, 欢迎下载使用。
2024荆州荆州中学高一上学期期中英语试题含听力含答案: 这是一份2024荆州荆州中学高一上学期期中英语试题含听力含答案,文件包含湖北省荆州市荆州中学2023-2024学年高一上学期期中英语试题docx、湖北省荆州市荆州中学2023-2024学年高一上学期期中英语试题答案docx、湖北省荆州市荆州中学2023-2024学年高一上学期期中英语试题听力mp3等3份试卷配套教学资源,其中试卷共12页, 欢迎下载使用。
2023荆州中学高一上学期期末考试英语试题含答案、听力: 这是一份2023荆州中学高一上学期期末考试英语试题含答案、听力,文件包含湖北省荆州中学2022-2023学年高一上学期期末考试英语试题docx、湖北省荆州中学2022-2023学年高一上学期期末考试英语试题答案docx、湖北省荆州中学2022-2023学年高一上学期期末考试英语试题听力mp3等3份试卷配套教学资源,其中试卷共13页, 欢迎下载使用。

