2023-2024学年湖南省澧县张公庙中学数学九上期末教学质量检测试题含答案
展开这是一份2023-2024学年湖南省澧县张公庙中学数学九上期末教学质量检测试题含答案,共8页。试卷主要包含了二次函数的图象如图,有下列结论等内容,欢迎下载使用。
学校_______ 年级_______ 姓名_______
请考生注意:
1.请用2B铅笔将选择题答案涂填在答题纸相应位置上,请用0.5毫米及以上黑色字迹的钢笔或签字笔将主观题的答案写在答题纸相应的答题区内。写在试题卷、草稿纸上均无效。
2.答题前,认真阅读答题纸上的《注意事项》,按规定答题。
一、选择题(每题4分,共48分)
1.一元二次方程x2﹣4x+5=0的根的情况是( )
A.没有实数根B.只有一个实数根
C.有两个相等的实数根D.有两个不相等的实数根
2.如图,矩形草坪ABCD中,AD=10 m,AB=m.现需要修一条由两个扇环构成的便道HEFG,扇环的圆心分别是B,D.若便道的宽为1 m,则这条便道的面积大约是( )(精确到0.1 m2)
A.9.5 m2B.10.0 m2C.10.5 m2D.11.0 m2
3.二位同学在研究函数(为实数,且)时,甲发现当 0<<1时,函数图像的顶点在第四象限;乙发现方程必有两个不相等的实数根,则( )
A.甲、乙的结论都错误B.甲的结论正确,乙的结论错误
C.甲、乙的结论都正确D.甲的结论错误,乙的结论正确
4.如图,是的外接圆,是的直径,若的半径是,,则( )
A.B.C.D.
5.如图,是⊙上的点,则图中与相等的角是( )
A.B.C.D.
6.如图,AB切⊙O于点B,C为⊙O上一点,且OC⊥OA,CB与OA交于点D,若∠OCB=15°,AB=2,则⊙O的半径为( )
A.B.2C.3D.4
7.如图,将一把两边都带有刻度的直尺放在半圆形纸片上,使其一边经过圆心O,另一边所在直线与半圆相交于点D、E,量出半径OC=5cm,弦DE=8cm,则直尺的宽度是( )
A.4cmB.3cmC.2cmD.1cm
8.池塘中放养了鲤鱼2000条,鲢鱼若干条,在几次随机捕捞中,共捕到鲤鱼200条,鲢鱼300条,估计池塘中原来放养了鲢鱼( )
A.10000条B.2000条C.3000条D.4000条
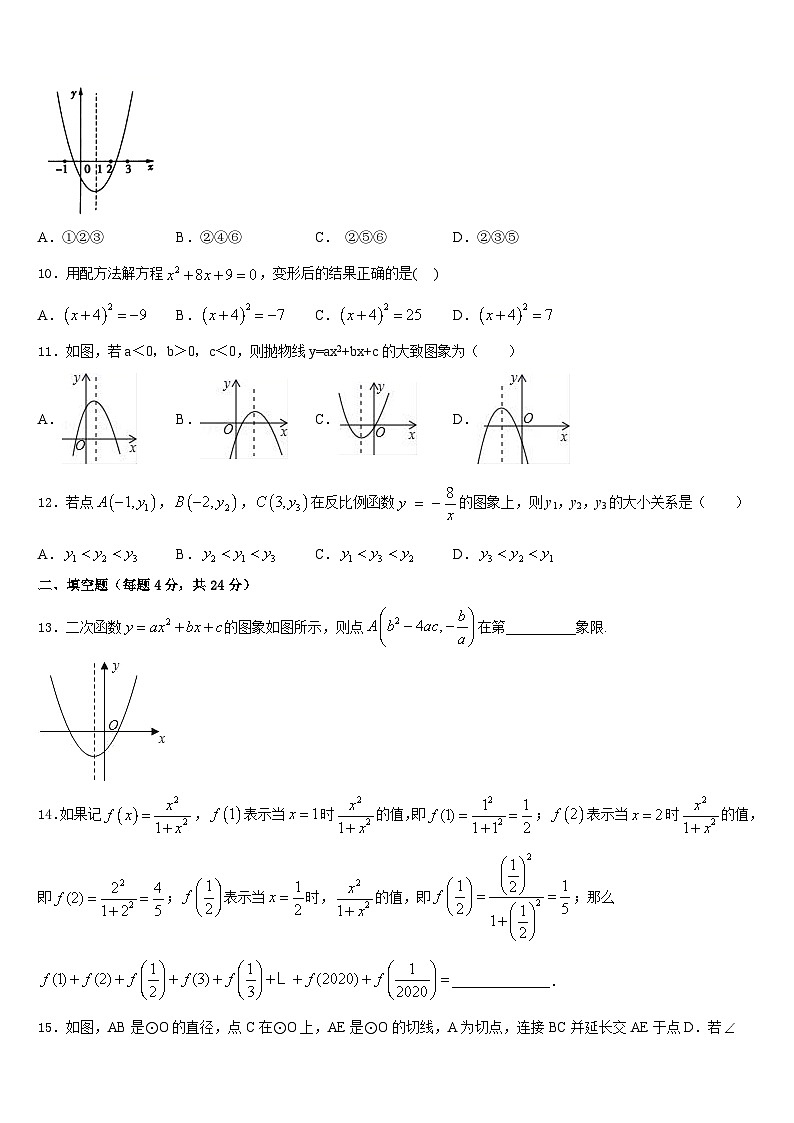
9.二次函数的图象如图,有下列结论:①,②,③时,,④,⑤当且时,,⑥当时,.其中正确的有( )
A.①②③B.②④⑥C. ②⑤⑥D.②③⑤
10.用配方法解方程,变形后的结果正确的是( )
A.B.C.D.
11.如图,若a<0,b>0,c<0,则抛物线y=ax2+bx+c的大致图象为( )
A.B.C.D.
12.若点,,在反比例函数的图象上,则y1,y2,y3的大小关系是( )
A.B.C.D.
二、填空题(每题4分,共24分)
13.二次函数的图象如图所示,则点在第__________象限.
14.如果记,表示当时的值,即;表示当时的值,即;表示当时,的值,即;那么______________.
15.如图,AB是⊙O的直径,点C在⊙O上,AE是⊙O的切线,A为切点,连接BC并延长交AE于点D.若AOC=80°,则ADB的度数为( )
A.40° B.50° C.60° D.20°
16.如图,在矩形 ABCD 中,如果 AB=3,AD=4,EF 是对角线 BD 的垂直平分线,分别交 AD,BC 于 点 EF,则 ED 的长为____________________________.
17.如图,一段抛物线:y=-x(x-2)(0≤x≤2)记为C1 ,它与x轴交于两点O,A;将C1绕点A旋转180°得到C2 , 交x轴于A1;将C2绕点A1旋转180°得到C3 , 交x轴于点A2 . .....如此进行下去,直至得到C2018 , 若点P(4035,m)在第2018段抛物线上,则m的值为________.
18.一元二次方程x2﹣2x=0的解是 .
三、解答题(共78分)
19.(8分)如图,在平行四边形ABCD中,过点A作AE⊥BC,垂足为E,连接DE,F为线段DE上一点,且∠AFE=∠B
(1)求证:△ADF∽△DEC;
(2)若AB=8,AD=6,AF=4,求AE的长.
20.(8分)小明和小亮两人一起玩投掷一个普通正方体骰子的游戏.
(1)说出游戏中必然事件,不可能事件和随机事件各一个;
(2)如果两个骰子上的点数之积为奇数,小明胜,否则小亮胜,你认为这个游戏公平吗?如果不公平,谁获胜的可能性较大?请说明理由.请你为他们设计一个公平的游戏规则.
21.(8分)一个斜抛物体的水平运动距离为x(m),对应的高度记为h(m),且满足h=ax1+bx﹣1a(其中a≠0).已知当x=0时,h=1;当x=10时,h=1.
(1)求h关于x的函数表达式;
(1)求斜抛物体的最大高度和达到最大高度时的水平距离.
22.(10分)如图,于点,为等腰直角三角形,,当绕点旋转时,记.
(1)过点作交射线于点,作射线交射线于点.
①依题意补全图形,求的度数;
②当时,求的长.
(2)若上存在一点,且,作射线交射线于点,直接写出长度的最大值.
23.(10分)如图,中,,,平分,交轴于点,点是轴上一点,经过点、,与轴交于点,过点作,垂足为,的延长线交轴于点,
(1)求证:为的切线;
(2)求的半径.
24.(10分)已知:中,.
(1)求作:的外接圆;(要求:尺规作图,保留作图痕迹,不写作法)
(2)若的外接圆的圆心到边的距离为4,,求的面积.
25.(12分)一个不透明的口袋里装着分别标有数字,,0,2的四个小球,除数字不同外,小球没有任何区别,每次实验时把小球搅匀.
(1)从中任取一球,求所抽取的数字恰好为负数的概率;
(2)从中任取一球,将球上的数字记为,然后把小球放回;再任取一球,将球上的数字记为,试用画树状图(或列表法)表示出点所有可能的结果,并求点在直线上的概率.
26.(12分)如图,在平面直角坐标系xOy中,二次函数的图象与轴,轴的交点分别为和.
(1)求此二次函数的表达式;
(2)结合函数图象,直接写出当时,的取值范围.
参考答案
一、选择题(每题4分,共48分)
1、A
2、C
3、D
4、A
5、D
6、B
7、B
8、C
9、D
10、D
11、B
12、D
二、填空题(每题4分,共24分)
13、四
14、
15、B.
16、
17、-1
18、
三、解答题(共78分)
19、(1)见解析(2)6
20、(1)详见解析;(2)不公平,规则详见解析.
21、(1)h=﹣x1+10x+1;(1)斜抛物体的最大高度为17,达到最大高度时的水平距离为2.
22、(1)①见解析, 45°②7;(2)见解析,
23、(1)证明见解析;(2)1.
24、 (1)详见解析;(2)
25、(1)所抽取的数字恰好为负数的概率是;(2)点(x,y)在直线y=﹣x﹣1上的概率是.
26、(1);(2)或.
相关试卷
这是一份2023-2024学年湖南省澧县张公庙中学九年级数学第一学期期末学业质量监测模拟试题含答案,共7页。
这是一份2023-2024学年湖南省澧县张公庙中学八上数学期末教学质量检测模拟试题含答案,共6页。试卷主要包含了下列算式中,计算结果等于的是等内容,欢迎下载使用。
这是一份2023-2024学年湖南省澧县张公庙中学八上数学期末预测试题含答案,共7页。试卷主要包含了下列命题是假命题的是,在直角坐标系中,点A等内容,欢迎下载使用。

