湖北省十一校2024届高三第一次联考数学试卷+答案
展开湖北省十一校2024届高三第一次联考数学试卷(原卷版+含解析): 这是一份湖北省十一校2024届高三第一次联考数学试卷(原卷版+含解析),共10页。
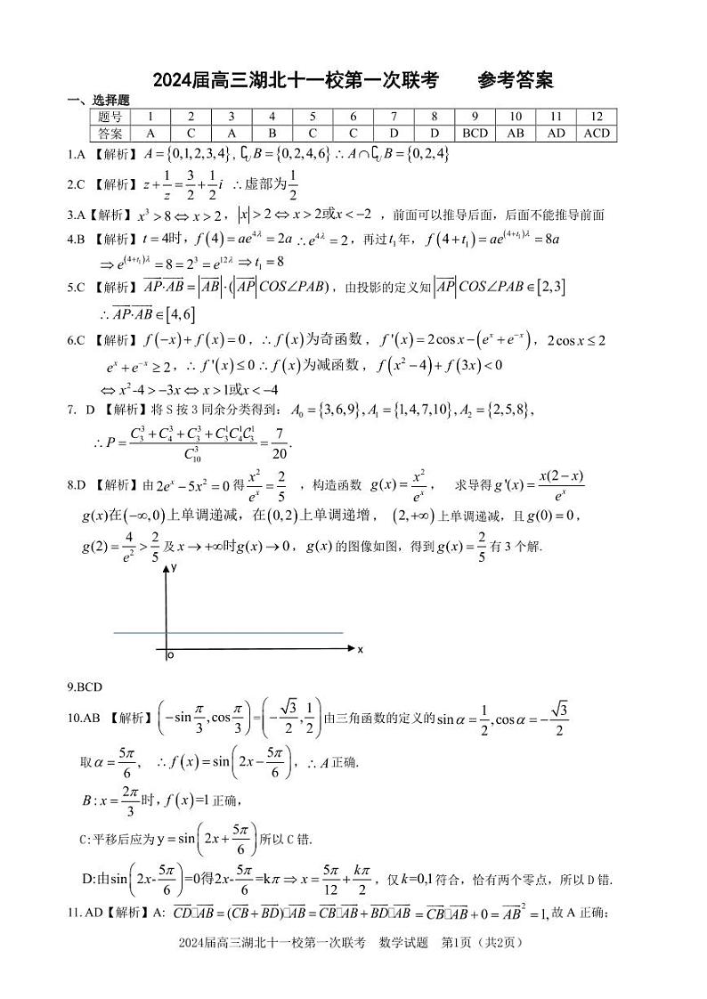
2024届湖北十一校第一次联考高三数学试卷及参考答案: 这是一份2024届湖北十一校第一次联考高三数学试卷及参考答案,共5页。
湖北省十一校2024届高三第一次联考数学试卷: 这是一份湖北省十一校2024届高三第一次联考数学试卷,共12页。试卷主要包含了选择题,填空题,解答题等内容,欢迎下载使用。

