专题04:分数(百分数)混合运算和简便计算“奥数思维训练版”-2023-2024学年六年级数学上册期末专项复习(人教版)
展开“奥数思维训练版”[]
1.脱式计算,能简便计算的要简便计算。
532×+62÷5.5 ×23+30×0.375-5×37.5%
2.脱式计算,能简便计算的要简便计算。
3.脱式计算,能简便计算的要简便计算。
4.脱式计算,能简便计算的要简便计算。
(1) (2)
(3) (4)
5.脱式计算,能简便计算的要简便计算。
6.8×0.35+408÷24 1.8×+2.2×25%-0.25
(0.2+)×÷8 …
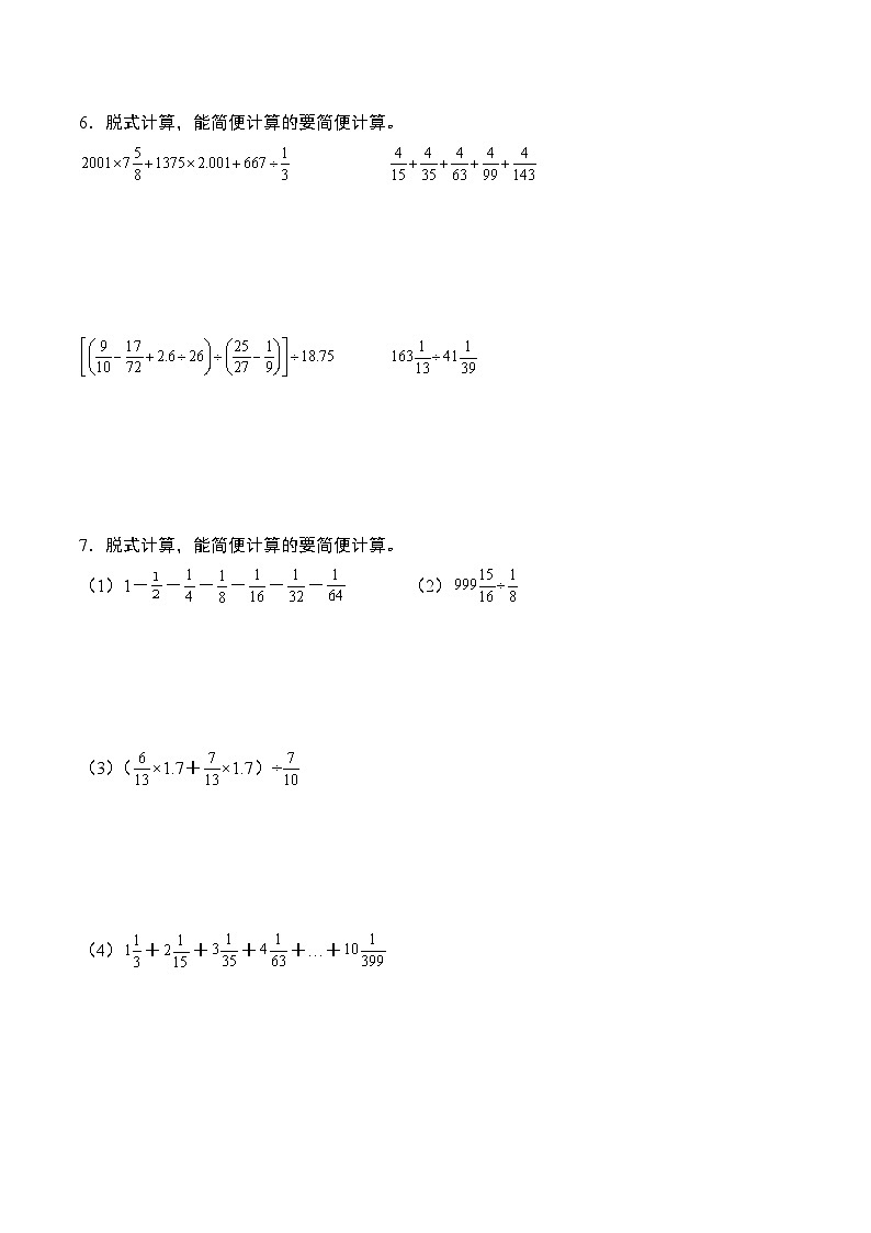
6.脱式计算,能简便计算的要简便计算。
7.脱式计算,能简便计算的要简便计算。
(1)1------ (2)
(3)(×1.7+×1.7)÷
(4)++++…+
8.脱式计算,能简便计算的要简便计算。
9.脱式计算,能简便计算的要简便计算。
20.20×59+202×4.1 88×125×10
10.脱式计算,能简便计算的要简便计算。
2015×20162016-2016×20152015
+++…+ 10÷8+3.96×12.5%+2.04×
11.脱式计算,能简便计算的要简便计算。
12.脱式计算,能简便计算的要简便计算。
×+÷5
13.脱式计算,能简便计算的要简便计算。
14.脱式计算,能简便计算的要简便计算。
15.脱式计算,能简便计算的要简便计算。
①(××)÷(××) ②×+6.125÷
③×〔÷(-)〕 ④4×(+2.5)×8
⑤2021×(1-)×(1-)×(1-)×…×(1-)
16.脱式计算,能简便计算的要简便计算。
专题18:比的应用综合“奥数思维训练版”-2023-2024学年六年级数学上册期末专项复习(人教版): 这是一份专题18:比的应用综合“奥数思维训练版”-2023-2024学年六年级数学上册期末专项复习(人教版),文件包含期末典例专练18比的应用综合“奥数思维训练版”-2023-2024学年六年级数学上册典型例题系列原卷版人教版docx、期末典例专练18比的应用综合“奥数思维训练版”-2023-2024学年六年级数学上册典型例题系列解析版人教版docx等2份试卷配套教学资源,其中试卷共18页, 欢迎下载使用。
专题14:分数和百分数应用综合“奥数思维训练版”-2023-2024学年六年级数学上册期末专项复习(人教版): 这是一份专题14:分数和百分数应用综合“奥数思维训练版”-2023-2024学年六年级数学上册期末专项复习(人教版),文件包含期末典例专练14分数和百分数应用综合“奥数思维训练版”-2023-2024学年六年级数学上册典型例题系列原卷版人教版docx、期末典例专练14分数和百分数应用综合“奥数思维训练版”-2023-2024学年六年级数学上册典型例题系列解析版人教版docx等2份试卷配套教学资源,其中试卷共20页, 欢迎下载使用。
专题13:分数和百分数应用综合“拓展版”-2023-2024学年六年级数学上册期末专项复习(人教版): 这是一份专题13:分数和百分数应用综合“拓展版”-2023-2024学年六年级数学上册期末专项复习(人教版),文件包含期末典例专练13分数和百分数应用综合“拓展版”-2023-2024学年六年级数学上册典型例题系列原卷版人教版docx、期末典例专练13分数和百分数应用综合“拓展版”-2023-2024学年六年级数学上册典型例题系列解析版人教版docx等2份试卷配套教学资源,其中试卷共21页, 欢迎下载使用。

