- 2024东莞中学、广州二中、惠州一中、深圳实验、珠海一中、中山纪念中学高三上学期第三次六校联考试题语文含解析 试卷 1 次下载
- 2024东莞中学、广州二中、惠州一中、深圳实验、珠海一中、中山纪念中学高三上学期第三次六校联考试题英语含解析 试卷 3 次下载
- 2024东莞中学、广州二中、惠州一中、深圳实验、珠海一中、中山纪念中学高三上学期第三次六校联考试题地理含答案 试卷 1 次下载
- 2024东莞中学、广州二中、惠州一中、深圳实验、珠海一中、中山纪念中学高三上学期第三次六校联考试题生物含解析 试卷 1 次下载
- 2024东莞中学、广州二中、惠州一中、深圳实验、珠海一中、中山纪念中学高三上学期第三次六校联考试题物理含解析 试卷 1 次下载
2024东莞中学、广州二中、惠州一中、深圳实验、珠海一中、中山纪念中学高三上学期第三次六校联考试题数学含解析
展开数学
一、选择题:本题共8小题,每小题5分,共40分,在每小题给出的四个选项中,只有一项是符合题目要求的.
1. 集合,集合,则( )
A. B. C. D.
【答案】A
【解析】
【分析】根据交集的定义计算可得.
【详解】因为,,
所以.
故选:A
2. 若复数z满足,则( )
A. 1B. C. D.
【答案】B
【解析】
【分析】利用复数的除法运算及模长公式计算即可.
【详解】由,
所以.
故选:B.
3. 已知非零向量、满足,且,则与的夹角为( )
A. B. C. D.
【答案】A
【解析】
【分析】分析可得,利用平面向量数量积的运算性质可得出的值,结合平面向量夹角的取值范围可得出与的夹角.
【详解】因为非零向量、满足,且,
则,
所以,,又因为,故.
因此,与的夹角为.
故选:A.
4. 已知,则( )
A. B. C. D.
【答案】C
【解析】
【分析】利用两角和的正切公式可得出关于的方程,解出的值,再利用二倍角的余弦公式以及弦化切可求得的值.
【详解】因为,
整理可得,解得,
所以,.
故选:C.
5. 已知函数和直线l:,那么“直线l与曲线相切”是“”的( )
A. 充分不必要条件B. 必要不充分条件C. 充分必要条件D. 既不充分也不必要条件
【答案】B
【解析】
【分析】根据直线与曲线相切,求出,利用充分条件与必要条件的定义即可判断出结论.
【详解】设函数和直线的切点坐标为,
则,可得,
所以时,直线与曲线相切;
直线与曲线相切不能推出.
因此“”是“直线与曲线相切”的必要不充分条件.
故选:B.
6. 已知a,b为正实数,且,则的最小值为( )
A. B. C. D.
【答案】D
【解析】
【分析】根据给定条件,利用基本不等式“1”的妙用求解即得.
【详解】正实数满足,则
,当且仅当,即时取等号,
所以当时,取得最小值.
故选:D
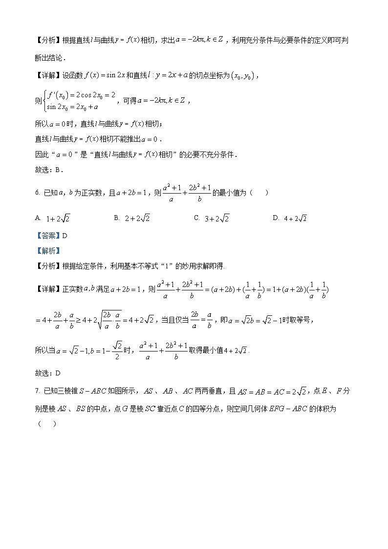
7. 已知三棱锥如图所示,、、两两垂直,且,点、分别是棱、的中点,点是棱靠近点的四等分点,则空间几何体的体积为( )
A. B. C. D.
【答案】C
【解析】
【分析】过点作,交于点,证明出平面,计算出三棱锥、的体积,可得出,即可得解.
【详解】过点作,交于点,
因为,,,、平面,
所以,平面,
因为,则平面,且,则,
因为、分别为、的中点,则,
所以,,
,
因此,.
故选:C.
8. 已知数列为有穷整数数列,具有性质p:若对任意的,中存在,,,…,(,,i,),使得,则称为4-连续可表数列.下面数列为4-连续可表数列的是( )
A. B. C. D.
【答案】B
【解析】
【分析】根据新定义进行验证即可得.
【详解】选项A中,,和不可能为4,A不是4-连续可表数列;
选项B中,,B是4-连续可表数列;
选项C中,没有连续项的和为2,C不是4-连续可表数列;
选项D中,没有连续项的和为1,D不是4-连续可表数列.
故选:B.
二、选择题:本题共4小题,每小题5分,共20分.在每小题给出的选项中,有多项符合题目要求.全部选对的得5分,部分选对的得2分,有选错的得0分.
9. 关于平面向量,有下列四个命题,其中说法正确的是( )
A. ,,若,则
B. 若且,则
C. 若点G是的重心,则
D. 若向量,,则向量在向量上的投影向量为
【答案】CD
【解析】
【分析】利用共线向量的坐标表示可判断A选项;利用向量垂直的表示可判断B选项;利用三角形重心的向量性质可判断C选项;利用投影向量的定义可判断D选项.
【详解】对于A选项,已知,,若,则,解得,A错;
对于B选项,若且,则,
所以,或,B错;
对于C选项,若点G是的重心,则,C对;
对于D选项,若向量,,
则向量在向量上的投影向量为,D对.
故选:CD.
10. 已知函数的图象为,以下说法中正确的是( )
A. 函数的最大值为
B. 图象相邻两条对称轴的距离为
C. 图象关于中心对称
D. 要得到函数的图象,只需将函数的图象横坐标伸长为原来的2倍,再向右平移个单位
【答案】BCD
【解析】
【分析】利用二倍角公式及两角和的正弦公式将函数化简,再根据正弦函数的性质一一判断即可.
【详解】因为
,
所以函数的最大值为,故A错误;
函数的最小正周期,所以图象相邻两条对称轴的距离为,故B正确;
因为,所以图象关于中心对称,故C正确;
将的横坐标伸长为原来的倍,纵坐标不变得到,
再将向右平移个单位得到,故D正确;
故选:BCD
11. 若函数的定义域为D,若对于任意,都存在唯一的,使得,则称为“Ⅰ型函数”,则下列说法正确的是( )
A. 函数是“Ⅰ型函数”
B. 函数是“Ⅰ型函数”
C. 若函数是“Ⅰ型函数”,则函数也是“Ⅰ型函数”
D. 已知,若,是“Ⅰ型函数”,则
【答案】ACD
【解析】
【分析】根据所给函数的定义求解C,根据对数运算求解A,根据三角函数的周期性以及单调性求解BD.
【详解】对于A,由可得,所以,故A正确,
对于B,取,则由以及可得,故这与存在唯一矛盾,故B错误,
对于C,由于函数是“Ⅰ型函数”,则对于任意,都存在唯一的,使得,故,因此对于对于任意,都存在唯一的,使得,故是“Ⅰ型函数”,C正确,
对于D,对于任意,都存在唯一的,使得,所以,由于,所以,由于在单调递增,
所以且,故,D正确,
故选:ACD
12. 已知棱长为1的正方体中,P为线段上一动点,则下列判断正确的是( )
A. 存在点P,使得
B. 三棱锥的外接球半径最小值为
C. 当P为的中点时,过P与平面平行的平面截正方体所得的截面面积为
D. 存在点P,使得点P到直线的距离为
【答案】BCD
【解析】
【分析】建立空间坐标系,根据向量共线求解A,根据正三棱锥的性质,结合外接球半径的求解即可判定B,根据面面平行的性质,结合六边形的面积求解即可判定C,建立空间坐标系,利用点线距离的向量求法,由二次函数的性质即可求解D.
【详解】由于为等边三角形,且其外接圆的半径为,
由于平面,平面,所以,
又平面,所以平面,
平面,故,同理可证,
因此平面,故平面,
因此三棱锥为正三棱锥,设外接球半径为,球心到平面的距离为,
则,故当时,为最小值,故B正确,
取的中点为,,连接,当是的中点,也是的中点,
则该截面为与平面平行的平面截正方体所得的截面,进而可得该截面为正六边形,边长为,所以截面面积为,C正确,
对于D,建立如图所示的空间直角坐标系,则
,设,(),,
所以点P到直线的距离为,
由于,所以,由于,故D正确,
由于,,则,
,
若与共线,则,,此时,此时与不共线,故不平行
故A错误,
故选:BCD
三、填空题:本题共4小题,每小题5分,共20分.
13. 关于不等式的解集为,则______.
【答案】##
【解析】
【分析】分析可知,、是关于的方程的两根,利用韦达定理可得出的值.
【详解】因为关于的不等式的解集为,则,
且、是关于的方程的两根,
由韦达定理可得,,解得,所以,.
故答案为:.
14. 已知数列的前项和,,则_________.
【答案】
【解析】
【分析】根据求出,再根据对数的运算性质计算可得.
【详解】因为数列的前项和,
所以,
所以.
故答案为:
15. 已知函数,关于x的方程有六个不等的实根,则实数a的取值范围是______.
【答案】
【解析】
【分析】方程变形为或,其中可解得两个根,因此应有4个根,作出函数的图象与直线,由图象得它们有4个交点时的参数范围.
【详解】,则或,
,,即有两个根,
因此应有4个根,
作出函数的图象与直线,
由图象可知,当时满足题意,
故答案为:.
16. 如图,已知函数(其中,,)的图象与x轴交于点A,B,与y轴交于点C,,,,.则函数在上的值域为______.
【答案】
【解析】
【分析】由题意可得:,,可得,,,的坐标,根据,可得方程,进而解出,,,即可求出,再由三角函数的性质求解.
【详解】由题意可得:,,,
,,,,
,,
把代入上式可得:,.
解得,,
,,解得.
,,解得,
所以函数,
时,,,
故答案为:
四、解答题:本题共6小题,共70分.解答应写出文字说明、证明过程或演算步骤.
17. 已知为数列的前项和,且,,.
(1)证明:数列为等差数列,并求的通项公式;
(2)若,设数列的前项和为,求.
【答案】(1)证明见解析,
(2)
【解析】
【分析】(1)利用等差数列的定义可证得数列为等差数列,确定该数列的首项和公差,可求得数列的通项公式,进而可得出数列的通项公式;
(2)利用与的关系可求出数列的通项公式,再利用裂项相消法可求得.
【小问1详解】
解:对任意的,,
则,
所以,数列为等差数列,且其首项为,公差为,
所以,,故.
【小问2详解】
解:当时,,
也满足,故对任意的,.
所以,,
故.
18. 在中,角、、所对的边分别为、、,且.
(1)求角的值;
(2)已知点为的中点,且,求的最大值.
【答案】(1)
(2)
【解析】
【分析】(1)利用正弦定理结合两角和的正弦公式可求出的值,结合角的取值范围可求得角的值;
(2)利用平面向量的线性运算可得出,利用平面向量数量积的运算性质结合余弦定理、基本不等式可得出关于的不等式,由此可解得的最大值.
【小问1详解】
解:因为、,则,
由正弦定理可得,
所以,,故.
【小问2详解】
解:因为为中点,则,
所以,,
所以,,
由余弦定理可得,
所以,,,
由基本不等式可得,即,解得,
当且仅当时,即当时,等号成立,
故的最大值为.
19. 若二次函数满足
(1)求的解析式;
(2)若函数,解关于的不等式:.
【答案】(1)
(2)
【解析】
【分析】(1),根据可得出关于、、的方程组,解出这三个未知数的值,即可得出函数的解析式;
(2)求出函数的定义域,利用导数分析函数的单调性,由可得出关于实数的不等式组,由此可解得实数的取值范围.
【小问1详解】
解:设,
则
,
所以,,解得,故.
【小问2详解】
解:函数的定义域为,
且,
令,其中,则,
由可得,由可得,
所以,函数的单调递增区间为,单调递减区间为,
故对任意的,,
所以,函数在上为减函数,
由可得,解得或,
因此,不等式的解集为.
20. 如图(1)所示,在中,,过点作,垂足在线段上,且,,沿将折起(如图(2)),点、分别为棱、的中点.
(1)证明:;
(2)若二面角所成角的正切值为,求二面角所成角的余弦值.
【答案】(1)证明见解析
(2)
【解析】
【分析】(1)证明出平面,可得出,利用中位线的性质可得出,即证得结论成立;
(2)分析可知,二面角的平面角为,以点为坐标原点,、所在直线分别为、轴,平面内过点且垂直于的直线为轴建立空间直角坐标系,利用空间向量法可求得二面角所成角的余弦值.
【小问1详解】
证明:翻折前,,则,,
翻折后,则有,,
因为,、平面,所以,平面,
因为平面,所以,,
在四棱锥中,因为点、分别为棱、的中点,则,
因此,.
【小问2详解】
解:因为,,则二面角的平面角为,即,
因平面,以点为坐标原点,、所在直线分别为、轴,
平面内过点且垂直于的直线为轴建立如下图所示的空间直角坐标系,
因为,,,则,
又因为,则、、、、
、,
设平面的法向量为,,,
则,取,可得,
设平面的法向量为,,
则,取,可得,
所以,,
由图可知,二面角的平面角为锐角,故二面角的余弦值为.
21. 已知数列是公比大于0的等比数列,,.数列满足:().
(1)求数列的通项公式;
(2)证明:是等比数列;
(3)证明:.
【答案】(1)
(2)见解析 (3)见解析
【解析】
【分析】(1)由等比数列的通项公式运算可得的通项公式,进而求出数列的通项公式;
(2)运算可得,结合等比数列的定义即可得证;
(3)放缩得,进而可得,结合错位相减法即可得证.
【小问1详解】
设等比数列的公比为,则,
则,所以,
又.
【小问2详解】
所以,
所以,且,
所以数列是首项为8,公比为的等比数列;
【小问3详解】
由题意知,,
所以,
所以,
设,
则,
两式相减得,
所以,
所以.
【点睛】关键点点睛:
最后一问考查数列不等式的证明,因为无法直接求解,应先放缩去除根号,再由错位相减法即可得证.
22. 已知函数,
(1)讨论函数的单调区间;
(2)当时,设,为两个不相等的正数,且,证明:.
【答案】22. 上单调递增,上单调递减.
23. 证明见解析
【解析】
【分析】(1)利用导数研究函数的单调性;
(3)利用切割线放缩证明.
【小问1详解】
,,
,,
上单调递增,上单调递减.
【小问2详解】
,,
在上单调递增,上单调递减.
,
,
因,所以函数在区间上为上凸函数,
函数在区间的图象如图所示.
不妨设,则.
连接和点的直线l2的方程为:,
当时,,
由图可知,所以要证明,只需证明,即只需证明,
连接的直线的方程为,设函数的图象的与平行的切线是直线,
,,
直线的方程为,即,
令,得直线与直线的交点横坐标为,
由图可知,,
2024届广东省东莞中学、广州二中、惠州一中、深圳实验、珠海一中、中山纪念中学高三上学期第三次六校联考试题数学含答案: 这是一份2024届广东省东莞中学、广州二中、惠州一中、深圳实验、珠海一中、中山纪念中学高三上学期第三次六校联考试题数学含答案,文件包含广东省东莞中学广州二中惠州一中深圳实验珠海一中中山纪念中学2024届高三第三次六校联考数学答案docx、广东省东莞中学广州二中惠州一中深圳实验珠海一中中山纪念中学2024届高三第三次六校联考数学docx等2份试卷配套教学资源,其中试卷共26页, 欢迎下载使用。
2024届东莞中学、广州二中、惠州一中、深圳实验、珠海一中、中山纪念中学广东六校高三六校联考数学试卷及参考答案: 这是一份2024届东莞中学、广州二中、惠州一中、深圳实验、珠海一中、中山纪念中学广东六校高三六校联考数学试卷及参考答案,文件包含2024届广东六校高三六校联考数学标准答案及评分细则pdf、2024届广东六校高三六校联考数学pdf等2份试卷配套教学资源,其中试卷共9页, 欢迎下载使用。
2024六校(东莞中学、广州二中、惠州一中、深圳实验、珠海一中、中山纪念)高三上学期第二次联考试题数学PD版含答案: 这是一份2024六校(东莞中学、广州二中、惠州一中、深圳实验、珠海一中、中山纪念)高三上学期第二次联考试题数学PD版含答案,文件包含广东省2024届高三第二次六校联考+数学答案pdf、广东省2024届高三第二次六校联考+数学pdf等2份试卷配套教学资源,其中试卷共9页, 欢迎下载使用。

