所属成套资源:2024榆林府谷中学高三上学期11月月考试题及答案(九科)
2024榆林府谷中学高三上学期11月月考试题数学(理)PDF版含答案
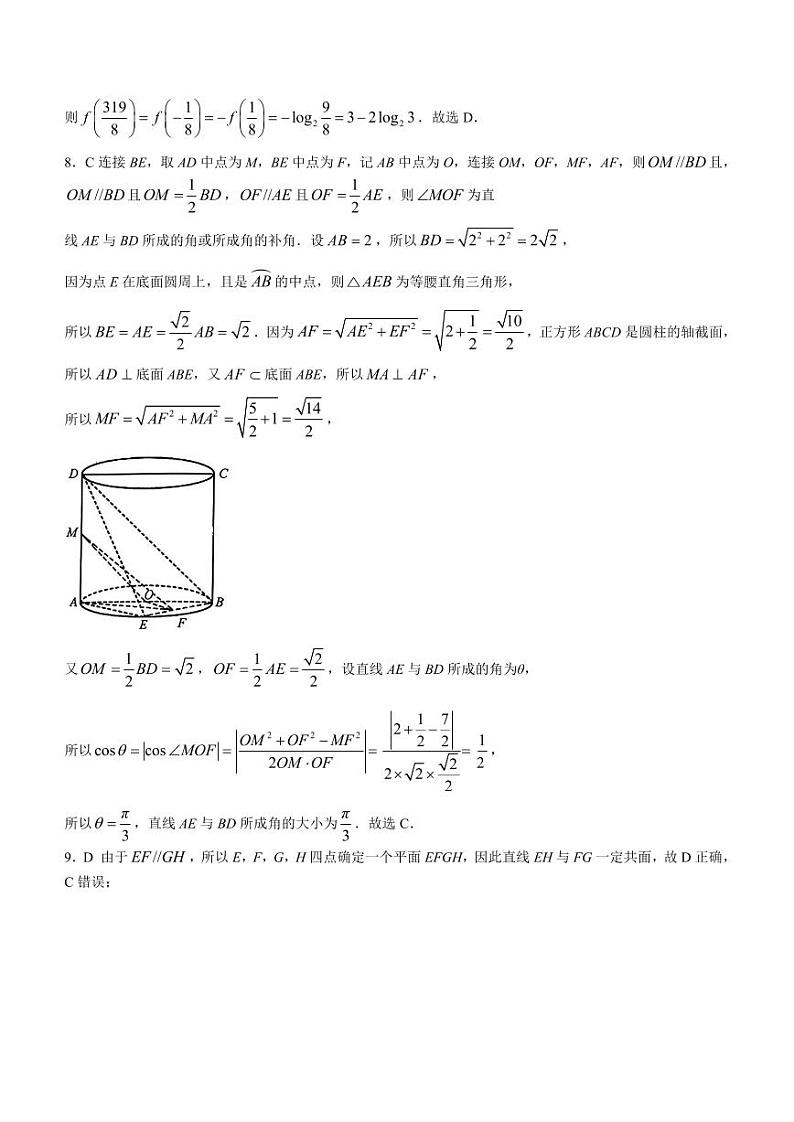
展开这是一份2024榆林府谷中学高三上学期11月月考试题数学(理)PDF版含答案,文件包含陕西省榆林市府谷中学2023-2024学年高三上学期11月月考理数答案pdf、陕西省榆林市府谷中学2023-2024学年高三上学期11月月考理数pdf等2份试卷配套教学资源,其中试卷共17页, 欢迎下载使用。
相关试卷
这是一份2024银川唐徕中学高三上学期12月月考试题数学(理)PDF版含答案,共6页。
这是一份2024榆林府谷县一中高三上学期12月月考试题数学(理)PDF版含答案,文件包含陕西省榆林市府谷县第一中学2023-2024学年高三上学期12月月考理数pdf、陕西省榆林市府谷县第一中学2023-2024学年高三上学期12月月考理数答案pdf等2份试卷配套教学资源,其中试卷共8页, 欢迎下载使用。
这是一份陕西省榆林市府谷中学2023-2024学年高三上学期11月月考数学试题(文)(Word版附答案),共14页。试卷主要包含了本试卷分选择题和非选择题两部分,答题前,考生务必用直径0,本卷命题范围等内容,欢迎下载使用。

