2024汕头金山中学、广州六中、佛山一中、中山一中高三上学期四校期中联考试题数学含答案
展开广东省汕头市金山中学、广州六中、佛山一中、中山一中2024届高三上学期四校期中联考试题 数学 Word版含答案: 这是一份广东省汕头市金山中学、广州六中、佛山一中、中山一中2024届高三上学期四校期中联考试题 数学 Word版含答案,文件包含2024届高三级11月四校联考数学答案docx、2024届高三级11月四校联考数学试题docx、数学勘误doc、2024届高三级11月四校联考数学答题卡pdf等4份试卷配套教学资源,其中试卷共13页, 欢迎下载使用。
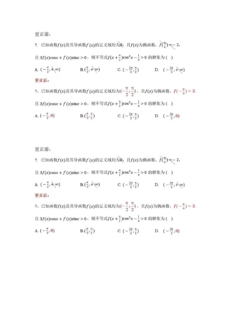
广东省汕头市金山中学、广州六中、佛山一中、中山一中2024届高三数学上学期四校期中联考试题(Word版附答案): 这是一份广东省汕头市金山中学、广州六中、佛山一中、中山一中2024届高三数学上学期四校期中联考试题(Word版附答案),共12页。试卷主要包含了已知,若,且,则,故选D.等内容,欢迎下载使用。
广东省四校(佛山一中、广州六中、金山中学、中山一中)2024届高三上学期11月联考数学试题(原卷及解析版): 这是一份广东省四校(佛山一中、广州六中、金山中学、中山一中)2024届高三上学期11月联考数学试题(原卷及解析版),文件包含广东省四校佛山一中广州六中金山中学中山一中2024届高三上学期11月联考数学试题原卷版pdf、广东省四校佛山一中广州六中金山中学中山一中2024届高三上学期11月联考数学试题解析版pdf等2份试卷配套教学资源,其中试卷共28页, 欢迎下载使用。

