专题4-4 三角函数与解三角形大题归类-高考数学二轮热点题型归纳与变式演练(全国通用)(解析版)
展开
这是一份专题4-4 三角函数与解三角形大题归类-高考数学二轮热点题型归纳与变式演练(全国通用)(解析版),共63页。试卷主要包含了热点题型归纳1,最新模考题组练54等内容,欢迎下载使用。
专题4-4三角函数与解三角形大题归类
目录
一、热点题型归纳 1
【题型一】图像与性质1:给图求解析式和值域(最值) 1
【题型二】图像与性质2:二倍角降幂公式恒等变形 5
【题型三】图像与性质3:恒等变形(“打散”、重组、辅助角) 7
【题型四】图像与性质4:零点求参 10
【题型五】解三角形基础1:正弦定理、角与对边 13
【题型六】解三角形基础2:余弦定理变形 14
【题型七】解三角形1:面积最值 17
【题型八】解三角形2:周长最值 19
【题型九】解三角形3:边长最值 22
【题型十】解三角形4:不对称最值 23
【题型十一】解三角形5:中线型 26
【题型十二】解三角形6:角平分线 28
【题型十三】三角形存在个数 33
【题型十四】四边形转化为三角形 35
【题型十五】解三角形:四边形求最值 38
【题型十六】三角形中证明题 43
【题型十七】解三角形综合 47
【题型十八】建模应用 50
二、最新模考题组练 54
【题型一】 图像与性质1:给图求解析式和值域(最值)
【典例分析】
1.已知函数的部分图象如图所示.
(1)求;
(2)将函数图象向左平移个单位,得到函数的图象,求在上的最小值.
【答案】(1)。(2)
【分析】(1)由图象可得、,则可得,再将点代入解析式中可求出的值,从而可求得函数的解析式;(2)先利用三角函数图象变换规律求出,再由的范围得的范围,可得答案.
(1)由最大值可确定,因为,所以,
此时,代入最高点,可得:,
从而,结合,于是当时,,所以.
(2)由题意,,
当时,,则有,
所以在区间上的值域为.
【提分秘籍】
基本规律
1.注意正余弦“第一零点”和“第二零点”的区别和联系。
2.对称轴在最大值最小值处的区别和联系
【变式演练】
1.已知函数的部分图象如图.
(1)求函数的解析式;
(2)将函数的图象上所有点的横坐标变为原来的倍,纵坐标不变,再将所得图象向左平移个单位,得到函数的图象,当时,求值域.
【答案】(1);(2).
【分析】(1)根据图象由函数最值求得,由函数周期求得,由特殊点求得,即可求得解析式;
(2)根据三角函数图象的变换求得的解析式,再利用整体法求函数值域即可.
(1)由图象可知,的最大值为,最小值为,又,故,周期,,,则,从而,代入点,得,则,,即,,又,则..
(2)将函数的图象上所有点的横坐标变为原来的倍,纵坐标不变,故可得;
再将所得图象向左平移个单位,得到函数的图象。故可得;
,,,.
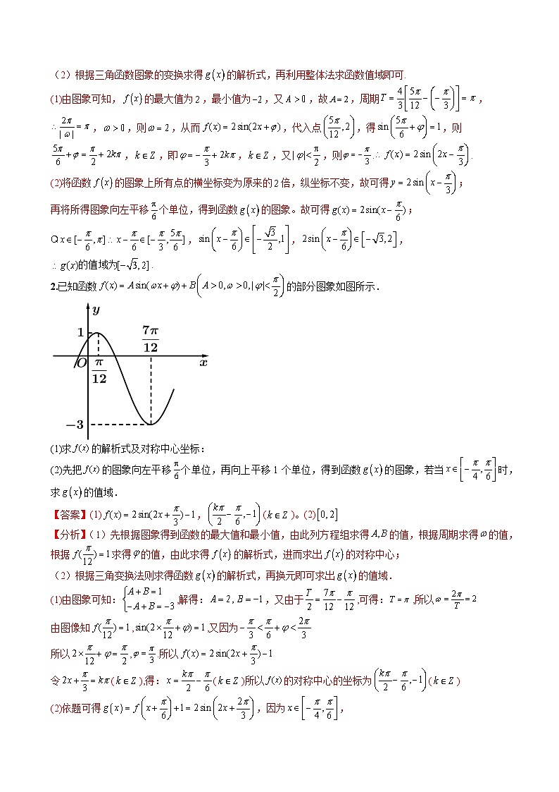
2.已知函数的部分图象如图所示.
(1)求的解析式及对称中心坐标:
(2)先把的图象向左平移个单位,再向上平移1个单位,得到函数的图象,若当时,求的值域.
【答案】(1),()。(2)
【分析】(1)先根据图象得到函数的最大值和最小值,由此列方程组求得的值,根据周期求得的值,根据求得的值,由此求得的解析式,进而求出的对称中心;
(2)根据三角变换法则求得函数的解析式,再换元即可求出的值域.
(1)由图象可知:,解得:,又由于,可得:,所以
由图像知,,又因为
所以,.所以
令(),得:()所以的对称中心的坐标为()
(2)依题可得,因为,
令,所以,即的值域为.
3.已知函数的图象如图所示.
(1)求函数的解析式;
(2)首先将函数的图象上每一点横坐标缩短为原来的,然后将所得函数图象向右平移个单位,最后再向上平移个单位得到函数的图象,求函数在内的值域.
【答案】(1)。(2)
【分析】(1)依题意可得,,即可求出,再根据函数过点,即可求出,从而求出函数解析式;
(2)首先根据三角函数的变换规则得到的解析式,再由的取值范围求出的取值范围,最后根据正弦函数的性质计算可得;
(1)解:由图象得,,所以,由,所以,
,,
(2) 解:将函数的图象上每一点横坐标缩短为原来的,得到,再将向右平移个单位得到,最后再向上平移个单位得到,即
(3) 当时,所以,所以,
【题型二】 图像与性质2:二倍角降幂公式恒等变形
【典例分析】
已知函数的最小正周期是π.
(1)求ω值;
(2)求f(x)的对称中心和单调递增区间;
(3)将f(x)的图象向右平移个单位后,再将所得图象所有点的横坐标伸长到原来的2倍,纵坐标不变,得到函数y=g(x)的图象,求若,|g(x)﹣m|
相关试卷
这是一份专题4-4 三角函数与解三角形大题综合归类-高考数学一轮复习热点题型归纳与变式演练(全国通用)(原卷 版),共18页。试卷主要包含了热点题型归纳等内容,欢迎下载使用。
这是一份专题4-4 三角函数与解三角形大题归类-2022年高考数学毕业班二轮热点题型归纳与变式演练(全国通用)(解析版),共63页。
这是一份专题5 向量小题归类-2022年高考数学毕业班二轮热点题型归纳与变式演练(全国通用)(解析版),共38页。试卷主要包含了热点题型归纳1,最新模考题组练33等内容,欢迎下载使用。

