新高考数学一轮复习课时跟踪检测(二十四)解三角形及应用举例(含解析)
展开课时跟踪检测(二十四) 解三角形及应用举例
一、综合练——练思维敏锐度
1.若△ABC的内角A,B,C所对的边分别为a,b,c,已知bsin 2A=asin B,且c=2b,则等于( )
A. B.
C. D.
解析:选D 由bsin 2A=asin B及正弦定理得2sin Bsin A·cos A=sin Asin B,解得 cos A=.又c=2b,所以由余弦定理得a2=b2+c2-2bccos A=b2+4b2-4b2×=3b2,得=.故选D.
2.在△ABC中,角A,B,C的对边分别为a,b,c.已知a=b,A-B=,则角C=( )
A. B.
C. D.
解析:选B 因为在△ABC中,A-B=,所以A=B+,所以sin A=sin= cos B,因为a=b,所以由正弦定理得sin A=sin B,所以cos B=sin B,所以tan B=,因为B∈(0,π),所以B=,所以C=π--=.故选B.
3.在△ABC中,如果cos(2B+C)+cos C>0,那么△ABC的形状为( )
A.钝角三角形 B.直角三角形
C.锐角三角形 D.等腰三角形
解析:选A ∵cos(2B+C)+cos C
=cos(2B+π-A-B)+cos(π-A-B)
=cos[π-(A-B)]+cos[π-(A+B)]
=-cos(A-B)-cos(A+B)
=-cos Acos B-sin Asin B-cos Acos B+sin Asin B
=-2cos Acos B>0,
∴cos Acos B<0,
又∵A,B∈(0,π),
∴A,B中有一个锐角,一个钝角.故选A.
4.已知a,b,c分别为锐角△ABC三个内角A,B,C的对边,若sin A=,sin B> sin C,a=3,S△ABC=2,则b的值为( )
A.2或3 B.2
C.3 D.6
解析:选C 因为△ABC为锐角三角形,所以cos A==,由余弦定理得cos A===,①
因为S△ABC=bcsin A=bc×=2,所以bc=6,②
将②代入①得=,则b2+c2=13,③
由sin B>sin C可得b>c,
联立②③可得b=3,c=2.故选C.
5.在△ABC中,cos B=,b=2,sin C=2sin A,则△ABC的面积等于( )
A. B.
C. D.
解析:选D 在△ABC中,cos B=,b=2,sin C=2sin A,由正弦定理得c=2a;由余弦定理得b2=a2+c2-2ac·cos B=a2+4a2-2a·2a·=4a2=4,解得a=1,可得c=2,所以△ABC的面积为S=acsin B=×1×2×=.故选D.
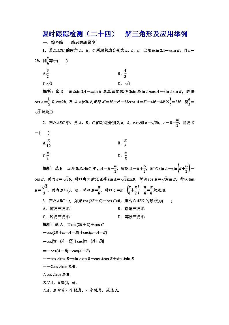
6.(2021·重庆调研)《易经》包含着很多哲理,在信息学、天文学中有广泛的应用,《易经》的博大精深对今天的几何学和其他学科仍有深刻的影响.如图就是《易经》中记载的几何图形——八卦图.图中正八边形代表八卦,中间的圆代表阴阳太极图,图中八块面积相等的曲边梯形代表八卦田.已知正八边形的边长为8 m,代表阴阳太极图的圆的半径为2 m,则每块八卦田的面积约为( )
A.42 m2 B.37 m2
C.32 m2 D.84 m2
解析:选B 由图,正八边形分割成8个等腰三角形,顶角为=45°,设三角形的腰为a,由正弦定理可得=,解得a=8sin,所以三角形的面积S= 2sin 45°=32·=16(+1),
所以每块八卦田的面积约为:16(+1)-×π×22≈37 m2.
7.已知在△ABC中,D是AC边上的点,且AB=AD,BD=AD,BC=2AD,则sin C的值为( )
A. B.
C. D.
解析:选A 设AB=AD=2a,则BD=a,则BC=4a,所以cos∠ADB===,所以cos∠BDC==-,整理得CD2+3aCD-10a2=0,解得CD=2a或者CD=-5a(舍去).故cos C===,而C∈,故sin C=.故选A.
8.在△ABC中,角A,B,C所对的边分别为a,b,c,且sin C+2sin Ccos B=sin A,C∈,a=,cos B=,则b=________.
解析:由正弦定理及题意可得c+2c×=a,即a=c,又a=,所以c=,由余弦定理得b2=6+-=,所以b=.
答案:
9.(2021·恩施质检)在锐角△ABC中,角A,B,C所对的边分别为a,b,c,若cos B=,b=4,S△ABC=4,则△ABC的周长为________.
解析:由cos B=,得sin B=,由三角形面积公式可得acsin B=ac·=4,则ac=12①,由b2=a2+c2-2accos B,可得16=a2+c2-2×12×,则a2+c2=24②,联立①②可得a=c=2,所以△ABC的周长为4+4.
答案:4+4
10.(2019·浙江高考)在△ABC中,∠ABC=90°,AB=4,BC=3,点D在线段AC上.若∠BDC=45°,则BD=________,cos∠ABD=________.
解析:如图,易知sin C=,sin A=,cos A=.
在△BDC中,由正弦定理可得
=,
∴BD===.
∴cos∠ABD=cos(45°-A)=cos 45°cos A+sin 45°sin A=×+×=.
答案:
11.在△ABC中,角A,B,C的对边分别为a,b,c,=.
(1)若△ABC还同时满足下列四个条件中的三个:①a=7,②b=10,③c=8,④△ABC的面积S=10,请指出这三个条件,并说明理由;
(2)若a=3,求△ABC周长l的取值范围.
解:∵=,
∴sin Acos B+sin Acos C=sin Bcos A+sin Ccos A,
即sin Acos B-sin Bcos A=sin Ccos A-cos Csin A,
∴sin(A-B)=sin(C-A),
∵A,B,C∈(0,π),∴A-B=C-A,
即2A=B+C,∴A=.
(1)△ABC还同时满足①③④.
理由如下:若△ABC同时满足条件①②,
则由正弦定理得sin B==>1,这不可能.
∴△ABC不能同时满足条件①②,
∴△ABC同时满足③④,
∴△ABC的面积S=bcsin A=b×8×=10,解得b=5,与②矛盾.
∴△ABC还同时满足条件①③④.
(2)在△ABC中,由正弦定理得===2,
∵C=-B,∴b=2sin B,c=2sin,
∴l=a+b+c=2+3
=6+3=6sin+3.
∵B∈,∴B+∈,
∴sin∈,
∴△ABC周长l的取值范围为(6,9].
12.(2021·济宁模拟)已知△ABC的内角A,B,C的对边分别为a,b,c,满足sin A+cos A=0.有三个条件:①a=1;②b=;③S△ABC=.其中三个条件中仅有两个正确,请选出正确的条件并解答下面两个问题:
(1)求c;
(2)设D为BC边上一点,且AD⊥AC,求△ABD的面积.
解:(1)因为sin A+cos A=0,
所以tan A+1=0,得tan A=-,
因为0<A<π,所以A=,A为钝角,与a=1<b=矛盾,
故①②中仅有一个正确,③正确.
显然S△ABC=bcsin A=,得bc=.
当①③正确时,由a2=b2+c2-2bccos A,得b2+c2=-2(无解);
当②③正确时,由于bc=,b=,得c=1.
(2)如图,因为A=,∠CAD=,则∠BAD=,
则==,
所以S△ABD=S△ABC=×=.
二、自选练——练高考区分度
1.在锐角△ABC中,内角A,B,C的对边分别为a,b,c,且满足(a-b)(sin A+sin B)=(c-b)sin C.若a=,则b2+c2的取值范围是( )
A.(3,6] B.(3,5)
C.(5,6] D.[5,6]
解析:选C 由正弦定理可得,(a-b)·(a+b)=(c-b)·c,即b2+c2-a2=bc,cos A==,又A∈,∴A=.∵===2,∴b2+c2=4(sin2B+sin2C)=4[sin2B+sin2(A+B)]=4=sin 2B-cos 2B+4=2sin+4.∵△ABC是锐角三角形,∴B∈,即2B-∈,∴<sin≤1,∴5<b2+c2≤6.故选C.
2.(多选)(2021·山东全真模拟)四边形ABCD内接于圆O,AB=CD=5,AD=3,∠BCD=60°,下列结论正确的有( )
A.四边形ABCD为梯形
B.圆O的直径为7
C.四边形ABCD的面积为
D.△ABD的三边长度可以构成一个等差数列
解析:选ACD 如图所示.
∵AB=CD=5,AD=3,∠BCD=60°,
∴∠BAD=120°,连接BD,AC.
则∠BCA=∠CAD,∴BC∥DA,
显然AB不平行于CD,即四边形ABCD为梯形,故A正确.
在△BAD中,由余弦定理得BD2=AB2+AD2-2AB·ADcos∠BAD,
∴BD2=52+32-2×5×3cos 120°=49,∴BD=7,
∴圆的直径不可能是7,故B错误.
在△BCD中,由余弦定理得BD2=CB2+CD2-2CB·CDcos∠BCD,
∴72=CB2+52-2×5×CBcos 60°,
解得CB=8或CB=-3(舍去),
∵S△BAD=AB·ADsin 120°=×5×3×=,
S△BCD=CB·CDsin 60°=×8×5×=10,
∴S四边形ABCD=S△BAD+S△BCD=+10=,
故C正确.
在△ABD中,AD=3,AB=5,BD=7,满足AD+BD=2AB,∴△ABD的三边长度可以构成一个等差数列,故D正确,故选A、C、D.
3.在△ABC中,BC=2,AC=3,∠BAC=2∠B,D是BC上一点且AD⊥AC,则sin∠BAC=________,△ABD的面积为________.
解析:∵BC=2,AC=3,∠BAC=2∠B,
∴在△ABC中,由正弦定理得=,
即==,
解得cos∠B=,可得sin∠B=,
∴cos∠BAC=cos 2∠B=2cos2∠B-1=-,
sin∠BAC= =.
∵AD⊥AC,∴sin∠BAD=sin=-cos∠BAC=,可得cos∠BAD=,
∴sin∠ADB=sin(∠BAD+∠B)=×+×=.
在△ABC中,由余弦定理可得AC2=AB2+BC2-2AB·BC·cos∠B,
∴32=AB2+(2)2-2AB×2×,
解得AB=1或3.
当AB=AC=3时,
由∠BAC=2∠B,可得∠B=∠C=∠BAC=,
∴BC==3,与BC=2矛盾,∴AB=1.
在△ABD中,由正弦定理得=,
∴AD==,
∴S△ABD=AB·AD·sin∠BAD=×1××=.
答案:
4.在△ABC中,角A,B,C的对边分别为a,b,c,sin A=sin B,且b=c.
(1)求角A的大小;
(2)若a=2,角B的平分线交AC于点D,求△ABD的面积.
解:(1)由sin A=sin B及正弦定理得a=b,
结合b=c,由余弦定理得cos A===-,
∵A∈(0,π),∴A=π.
(2)由(1)及题意知B=C=.
又a=2,a=b,∴b=c=2,即AB=2.
如图,在△ABD中,由正弦定理得=,
∵BD平分∠ABC,∴∠ABD=,
又∠A=π,∴∠ADB=,
∴AD==-1,
∴S△ABD=×AB×AD×sin π
=×2×(-1)×=.
2024年高考数学一轮复习(新高考方案)课时跟踪检测(三十三) 解三角形的应用举例: 这是一份2024年高考数学一轮复习(新高考方案)课时跟踪检测(三十三) 解三角形的应用举例,共5页。
2024年高考数学一轮复习(新高考方案)课时跟踪检测(二十四) 技法先导——双变量问题(含极值点偏移): 这是一份2024年高考数学一轮复习(新高考方案)课时跟踪检测(二十四) 技法先导——双变量问题(含极值点偏移),共5页。
(新高考)高考数学一轮考点复习4.7《解三角形及应用举例》课时跟踪检测(含详解): 这是一份(新高考)高考数学一轮考点复习4.7《解三角形及应用举例》课时跟踪检测(含详解),共8页。试卷主要包含了综合练——练思维敏锐度,自选练——练高考区分度等内容,欢迎下载使用。

